文 章 信 息
富边缘/缺陷位点的铋纳米片助力实现大电流密度电还原CO2制备甲酸盐
第一作者:徐嘉麒
通讯作者:李瑞祥*
单位:四川大学
研 究 背 景
可再生能源,如太阳能和风能等,由于其绿色和可持续的特点,正在推动一场绿色能源革命。其中,电催化还原CO2制备液体燃料的技术,被认为是一种极具吸引力的可再生能源储存方式。在CO2的还原产物中,甲酸盐易于储存和运输,同时也易于通过直接甲酸盐燃料电池(direct formate fuel cell)重新释放电能,因而能作为理想的目标产物。
在过去的报道中,一些金属催化剂(如Hg、Pb、Cd、Tl 和In等)可以将CO2电还原为甲酸盐,但这些金属的剧毒性和高成本,降低了它们工业应用的前景。在众多电催化剂中,铋基(Bi)电催化剂由于优异的甲酸选择性、高析氢过电位、低毒性和低成本等优点而备受关注。然而,许多已报道的铋催化剂的电流密度仍较低(< 100 mA·cm-2),无法满足工业应用的需求。
文 章 简 介
基于上述背景,四川大学的李瑞祥教授、徐嘉麒副研究员等人在国际知名期刊Nano Research上发表题为“High current CO2 reduction realized by edge/defect-rich bismuth nanosheets”的文章。
该工作利用电化学拓扑转换的策略合成了一种富含边缘位点和缺陷位点的铋纳米片,在流动池的测试中,其CO2还原电流密度高达870 mA·cm-2,甲酸法拉第效率超过90%。同时,该工作还利用多种原位表征手段监测催化剂拓扑转变的过程和CO2还原的过程,并结合理论计算分析了铋纳米片的边缘位点与缺陷位点对其电催化CO2还原活性和选择性的影响。该工作朝着工业级电催化CO2还原制备甲酸盐的目标迈出了新的一步。
图1. 催化剂设计与大电流还原二氧化碳制备甲酸盐的示意图。
本 文 要 点
要点一:拓扑变换制备富含边缘位点与缺陷位点的铋纳米片
该工作首先利用不同反应活性的溴源(CTAB和KBr)来调控前体的结晶过程,分别合成了富含边缘位点和富含平台位点的BiOBr纳米片(BiOBr NS),再通过电化学拓扑变换的策略进一步得到了对应的铋纳米片(Bi NS)。
图2. 拓扑变换策略合成铋纳米片的示意图。
为了更加精准地表征拓扑变换过程,该工作首先利用循环伏安法研究工作电极在不同电位下的反应行为,然后借助原位拉曼和离线XRD衍射花样监测拓扑变换过程中的催化剂的动态变化,并根据所得结果选择最佳的反应电位与时间。
图3. 利用BiOBr纳米片拓扑变换制备Bi纳米片的表征。(A-B) BiOBr NS-1和BiOBr NS-2的循环伏安曲线。(C) BiOBr NS-1随电位变化的原位拉曼光谱。(D) BiOBr NS-1 在-0.78 V (vs. RHE) 下随时间变化的原位拉曼光谱。(E) BiOBr NS-1和(F) BiOBr-NS-2在-0.78 V (vs. RHE) 随时间变化的XRD衍射花样。(E)和(F)中的CP代表碳纸。
SEM和HRTEM图像结果显示,该工作成功通过拓扑变化策略将BiOBr NS转化为Bi NS。拓扑还原得到的铋纳米片具有更大的比表面积,同时拓扑还原过程还向Bi纳米片中引入了丰富的缺陷位点。
图4. BiOBr NS-1、Bi NS-1、BiOBr NS-2和Bi NS-2的表征。BiOBr NS-1的 (A) SEM图像、(E) HRTEM图像和 (I) FFT衍射图。Bi NS-1 的 (B) SEM图像、(F) HRTEM图像和 (J) FFT衍射图,(F)中的白点圆圈表示Bi NS-1中的缺陷。BiOBr NS-2 的 (C) SEM 图像、 (G) HRTEM图像和 (K) FFT 衍射图。Bi NS-2 的 (D) SEM 图像、(H) HRTEM 图像和 (L) FFT 衍射图。
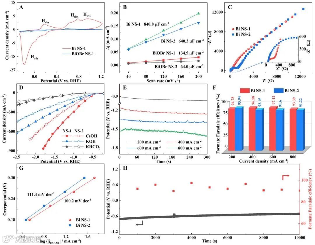
要点二:Bi NS的CO2RR催化活性
测试结果表明富含边缘/缺陷位点的铋纳米片(Bi NS-1)的电化学活性面积比富含平台位点的铋纳米片(Bi NS-2)的更大,且Bi NS-1的电荷转移电阻明显小于Bi NS-2。在流动池中测试催化剂的CO2RR性能,Bi NS-1在1 M CsOH溶液中的电流密度高达870 mA·cm-2(-1.8 V vs. RHE)。
同时,在不同的电流密度下(200,400,600,800 mA·cm-2),Bi NS-1均表现出了优异的选择性,其甲酸法拉第效率均超过90%。此外,Bi NS-1在100 mA·cm-2的电流密度下可稳定运行至少10 h。
图5. (A) Bi NS-1和BiOBr NS-1的循环伏安曲线。(B) 电化学活性面积 (ECSA) 的测量。(C) Bi NS-1和Bi NS-2在开路电位下的Nyquist图。(D) Bi NS-1和Bi NS-2在1 M CsOH、KOH和KHCO3中的线性扫描伏安曲线(85% iR补偿)。(E) Bi NS-1在1 M CsOH中不同电流密度下的测试。(F) Bi NS-1和Bi NS-2在不同电流密度下甲酸盐的法拉第效率 (FE)。(G) Bi NS-1和 Bi NS-2电还原CO2制备甲酸盐的Tafel 斜率。(H) 在100 mA·cm-2的总电流密度下的稳定性测试。
要点三:边缘/缺陷位点形成对电还原CO2过程的影响
该工作首先利用原位傅里叶变换红外光谱(FT-IR)捕获到了形成甲酸的中间体*OCHO。理论计算表明*OCHO中间体在边缘位点的形成能低于平台位点,同时引入缺陷位点还能进一步降低*OCHO中间体的吉布斯自由能变(ΔG)。此外,差分电荷密度空间分布图表明,在Bi纳米片上形成*OCHO中间体时,电荷会从Bi原子向O原子转移。通过在富边缘位点的Bi纳米片中引入缺陷位点,促进了电荷在C-H键周围的富集,这有利于稳定*OCHO中间体,从而降低了ΔG。
图6. 催化机理研究:边缘位点、平台位点和缺陷位点对电还原CO2过程的影响。
图7. (a, e) Bi-edge,(b, f) Bi-edge-def,(c, g) Bi-terrace和 (d, h) Bi-terrace-def的*OCHO中间体的差分电荷密度空间分布图 (a-d)及其对应的2D差分电荷密度分布图(e-h)。(a-d) 中的黄色和蓝色轮廓分别显示电子积累和耗尽,等值面为 0.005 eÅ-3。
文 章 链 接
High current CO2 reduction realized by edge/defect-rich bismuth nanosheets
https://doi.org/10.1007/s12274-022-4770-z
通 讯 作 者 简 介
李瑞祥教授,博导。1984年和1987年在兰州大学获学士和硕士学位,1999年在香港城市大学获得博士学位,于1987年加入四川大学化学系任教至今。主编《无机化学》(化学工业出版社2013第一版,2019第二版),荣获2014年度“四川大学唐立新教学名师奖”、“本科教学优秀奖二等奖”。
研究方向包括:
1. 新型多齿氮、多齿膦、多齿卡宾氮膦配体及其过渡金属配合物的设计、合成与催化;
2. 纳米金属催化剂的设计与制备;
3. 均相、非均相催化二氧化碳转化等催化领域。
课题组合成的水溶性膦配体及其铑配合物,已用于烯烃氢甲酰化工业生产,产生了显著的经济和社会效益。在国内外重要学术期刊发表论文120余篇,获省部级科技进步奖2项,主持和参加各级科研项目20余项。
徐嘉麒,副研究员(专职科研)。2014年在天津大学获学士学位,2019年在中国科学技术大学获博士学位,于2019年加入四川大学从事博士后研究工作,同年任职助理研究员,2022年起任职副研究员(专职科研)。
研究方向包括:
1. 二氧化碳的催化转化;
2. 低维固体材料的设计、精准制备以及表征。
目前总共在Nat. Energy、Natl. Sci. Rev.、J. Am. Chem. Soc.、Angew. Chem. Int. Ed.、Nano Res.等SCI期刊上发表学术论文19篇,被引2000余次(H-index 12),申请发明专利7项(授权5项),主持国家自然科学基金青年项目、中国博士后科学基金面上项目等5项科研项目,担任J. Renew. Mater. (IF 2.1)专刊的客座编辑(2021~至今),担任RSC Adv.等期刊的独立审稿人。入选2019年博士后创新人才支持计划,曾获中国科学院院长优秀奖和苏州育才奖等奖励。
添加官方微信 进群交流
SCI二氧化碳互助群
SCI催化材料交流群
SCI钠离子电池交流群
SCI离子交换膜经验交流群
SCI燃料电池交流群
SCI超级电容器交流群
SCI水系锌电池交流群
SCI水电解互助群
SCI气体扩散层经验交流群
备注【姓名-机构-研究方向】
投稿请联系contact@scimaterials.cn
点分享
点赞支持
点在看

