文 章 信 息
通过多尺度自由基湮灭剂构筑适用富镍锂电池的阻燃凝胶聚合物电解质
第一作者:朱涛,刘国庆
通讯作者:张胜*
单位:北京化工大学
研 究 背 景
电动汽车市场的快速增长对新一代高能量密度、高安全性的锂电池提出了严格的要求然而,实现这一目标仍面临重大挑战。例如,液体电解质易燃易挥发,带来严重的安全隐患。此外,由于电解质的氧化稳定性不足,循环过程中在正极/电解质界面发生的严重寄生反应会降低电池性能特别是匹配高压富镍三元LiNi1−x−yMnxCoyO2(1-x-y≥0.8,NCM)正极。
电解质的多尺度寄生自由基反应不仅会降低电池性能,还会引发火灾,从根本上阻断自由基反应是同时改善电池性能和安全性的明智策略。本文为未来的研究提供了新的视角,有助于加速耐高压高安全聚合物电解质的研究及实际应用。
文 章 简 介
本文中,北京化工大学张胜教授课题组在国际知名期刊Energy Storage Materials (影响因子:17.789) 上发表题为“Constructing flame-retardant gel polymer electrolytes via multiscale free radical annihilating agents for Ni-rich lithium batteries”的研究工作。
该工作开发了一种多尺度自由基湮灭剂—六氯环三磷腈交联的单宁酸微球(HT)并应用于原位构建的聚乙二醇二丙烯酸酯基的聚合物电解质(PEGGPE@HT),开发出耐高压阻燃的凝胶聚合物电解质。PEGGPE@HT 的电化学氧化稳定性提高到4.5 V (Li/Li+),NCM811//Li 电池的容量保持率在1C下200循环后提升至85.3%,LiFePO4//Li在1C下循环400次后容量保持率高达96.4%;此外在NCM811//石墨软包全电池和高负载NCM811//超薄锂电池中进一步验证了该策略对电化学性能改善的可行性。作者发现得益于高温下HT产生的磷相关自由基,PEGGPE@HT表现出良好的阻燃性,并赋予了软包电池出色的防火安全性。
最后值得强调的是采用聚合物电解质的软包电池还具有出色的抗机械滥用性能。
图1. 多尺度自由基湮灭过程和原位构建的聚合电解质的作用示意图
本 文 要 点
要点一:多尺度自由基湮灭剂HT及聚合物电解质的合成与表征
所制备的HT是具有光滑表面的典型球体,平均粒径为192 nm,其小尺寸便于浸入隔膜和电极中以构建完整而紧密的界面。在渗透过程之后,PEGDA单体通过AIBN作为引发剂在60°C的热激发下进行聚合;聚合后生成的PEGGPE@HT为均匀的乳黄色,说明聚合后HT在PEGGPE中分布良好。PEGDA的完全聚合可以通过FTIR和NMR进一步证实。
图2 (a) HT 的粒度分布(插图:HT 的 SEM 图像)。(b) HCCP、TA和 HT的FTIR谱图。(c)聚合物电解质前体溶液对纤维素隔膜和NCM811正极的接触角。(d) PEGGPE@HT的照片。(e) PEGDA 和 PEGGPE@HT 的1 H NMR谱图。(f) PEGGPE@HT浸入纤维素隔膜后的SEM照片(插图:原始纤维素隔膜)和 (g) PEGGPE@HT浸入NCM811 阴极的SEM和(h)相应的EDS映射图像。
要点二:HT在室温下自由基湮灭作用的确定
DPPH•是一种在环境温度下稳定的自由基,由于其在失活前后的特殊颜色变化,常被选为自由基湮灭反应的指示剂,与HT反应的DPPH• 溶液的颜色明显由紫色变为黄色,紫外吸收光谱中517nm处的特征吸收峰强度明显下降,证实了HT具有在室温下有效地消灭自由基的能力。这种有效的湮灭归因于HT产生的氢自由基湮灭DPPH•并形成稳定的H-DPPH。HT产生的氢自由基也将有效抑制电解质的分解,因为它可以有效地湮灭电解质电化学氧化形成的自由基,从而阻止它们的链式反应。
通过LSV和电化学浮动分析来确认HT在电化学环境中对电解质氧化稳定性的改善;引入HT后,PEGGPE@HT的氧化电压提升至为4.5 V;当电压升至 4.5 V 时,PEGGPE@HT 仍具有可忽略不计的漏电电流 (<20μA)。
图 3 (a) DPPH•溶液与TA和HT反应后的紫外吸收光谱(插图:DPPH• 溶液的颜色变化和 DPPH• 的化学结构)(b)HT与 DPPH•反应前后的FTIR谱图。(c) 采用不锈钢(d)和SP电极作为工作电极在1 mV s-1扫描速率下PEGGPE 和PEGGPE@HT 的LSV 曲线。(e) NCM811//Li 电池的电化学浮动曲线。
要点三:HT对锂离子输运的积极作用以及对锂金属的稳定性
均匀分布的HT与PEGGPE相互作用,这将显著影响电解质对Li+扩散特性。HT的存在降低了Li+传输的活化能及阻抗,提高了扩散系数,并且与阴离子相互作用提升了Li+迁移数,这有利于缓解锂枝晶的发展,展示出对锂金属的优良匹配性。
图 4(a) PEGGPE 和 PEGGPE@HT 的离子电导率的温度依赖性以及根据 Arrhenius 公式的相应拟合结果。(b) NCM811//Li 电池循环前的 EIS谱图和 (c) GITT 曲线和相应的Li+扩散系数。PEGGPE 和 PEGGPE@HT 的 (d) DSC 和 (e) FTIR 谱图。具有(f)PEGGPE和(g)PEGGPE@HT的Li//Li对称电池的稳态极化曲线。(h) Li//Li对称电池的充放电电压曲线。采用(i)PEGGPE和(j)PEGGPE@HT循环Li//Li对称电池后Li金属的SEM图像。
要点四:HT对电化学性能的改善
图 5 (a)(b)(c) NCM811//Li 电池在3.0-4.3 V电压范围内的循环性能(d)在3.0-4.5 V电压范围内的循环性能和(e) LFP//Li 电池的循环性能;(f)NCM811//Li电池的倍率性能;(g) NCM811//石墨软包电池的循环性能和(h)为智能手机供电的照片。
组装 NCM811//Li电池以评估在高工作电压下引入HT前后PEGGPE的循环稳定性。HT加入后,NCM811//Li电池具有更高的初始容量且在1C下200次循环之后依然保留143.6 mA h g -1 ,容量保留率提高到 85.3%。LFP//Li电池进一步说明了PEGGPE@HT的长期循环稳定性,在 1C下400 次循环后,容量保持率高达 96.4%。
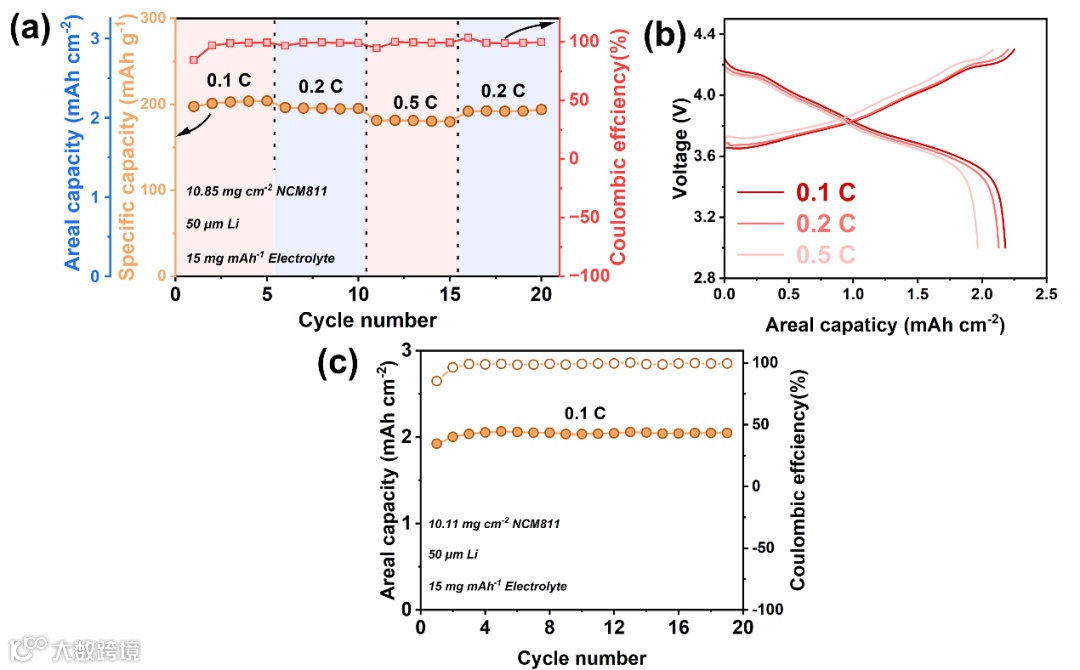
得益于简单的制备和兼容的原位聚合工艺,PEGGPE@HT有利于大规模制造,NCM811//石墨软包全电池也具有出色的循环稳定性。有趣的是,即使与高负载 NCM811 正极(>10 mg cm -2)和~50 μm 的超薄锂负极匹配时,PEGGPE@HT 仍然可以表现出非凡的电化学性能。
图 6 PEGGPE@HT匹配高面载量NCM811和有限Li情况下的电化学性能
要点五:HT在高温下自由基湮灭作用的确定
为确定高温下HT的自由基湮灭效应,通过原位热重分析-红外光谱联用(TG-FTIR)研究了HT的热解产物。HT在150℃后开始热解,出现气相PO信号,对应于HT中P-O-C片段的热解;另外PO的信号在 310°C 至 530°C 后显着增加并伴随着出现NH碎片的出现,这源于磷腈环的裂解。
这些结果表明,HT在150-530°C的较宽温度范围内产生丰富的PO•,这将湮灭电解质中的高反应性H•、OH•和烷基自由基,从而防止电解质燃烧。点火试验表明PEGGPE@HT在第一次点火时很难被点燃,第二次点火时的自熄灭时间仅为6.0 s g-1。优异的阻燃特性使得HT的引入显著降低了软包电池在火灾中的表面温度。此外,HT进一步提升了聚合物电解质的热稳定性,NCM811//石墨软包电池在弯曲、切割等极端机械滥用条件下具有出色的安全特性。
图 7 (a) HT的TG-FTIR 热图。(b)点燃测试和 (c) 相应的 NCM811//石墨软包电池。(d) TG 曲线。(e) NCM811//石墨软包电池的机械滥用测试。
第 一 作 者 简 介
该文章第一作者为北京化工大学博士研究生朱涛及硕士研究生刘国庆,张胜教授为本文通讯作者。
通 讯 作 者 简 介
张胜教授 简介:英国皇家化学学会会士,北京化工大学博士生导师,火安全材料研究中心主任,聚合物工程系主任,中国塑协阻燃材料及应用专委会副主任兼秘书长。
1988年于华中科技大学获学士学位,1993年于石油大学获硕士学位,1996年在北京理工大学获博士学位,1996-1998年任北京市工程塑料合金重点实验室副主任,1998-2006年在英国博尔顿大学工作,2006年回国后所负责的中心已经培养毕业生200多名,其中研究生120多名,博士20多位。研究方向包括聚合物结构-性能关系、纳米复合材料改性和功能化、新能源高分子材料、纺织品阻燃、聚合物阻燃/降解及机理、可循环利用高分子材料改性加工、阻燃剂设计合成、防弹防爆材料设计制备等。承担了多项英国EPSRC、DTI和英国国防部以及多项国家自然基金、科技部、中央军委、科工局军工项目等课题。发表学术论文300余篇,申请专利80多项。多项研究成果应用在航空航海、装甲、电子电器、通讯交通和建筑等多个重要军事和民用领域。
课 题 组 介 绍
北京化工大学火安全材料研究中心由张胜教授于2006年3月回国后创建,隶属于有机无机复合材料国家重点实验室、碳纤维及功能高分子教育部重点实验室和先进功能高分子复合材料北京市重点实验室,是中国塑协阻燃材料及应用专委会秘书长单位。目前团队有10位教师,其中专职教师8位,在读博士生9位,硕士生50余位。中心设备齐全、表征手段先进,是国内外阻燃科学领域最大的团队之一。
研究方向包括面向通讯、交通、航空航天和新能源等领域的聚合物结构-性能关系、高分子材料阻燃、纳米复合材料改性和功能化、纺织品阻燃、聚合物热行为/降解及燃烧机理、塑料加工改性、文物保护等;招生专业涵盖材料科学与工程(学硕)、化学(学硕)、材料与化工(专硕)等。由张胜教授、谷晓昱教授、李洪飞副教授、孙军副教授在2022年3月联合推出的【阻燃高分子材料】在线课程受到了业界广泛关注和好评,请关注阻燃材料及应用专委会公众号获取免费链接。
文 章 链 接
Constructing flame-retardant gel polymer electrolytes via multiscale free radical annihilating agents for Ni-rich lithium batteries
https://doi.org/10.1016/j.ensm.2022.05.051
添加官方微信 进群交流
SCI二氧化碳互助群
SCI催化材料交流群
SCI钠离子电池交流群
SCI离子交换膜经验交流群
SCI燃料电池交流群
SCI超级电容器交流群
SCI水系锌电池交流群
SCI水电解互助群
SCI气体扩散层经验交流群
备注【姓名-机构-研究方向】
投稿请联系contact@scimaterials.cn
点分享
点赞支持
点在看

