文 章 信 息
核壳结构CuPd@NiPd纳米颗粒:耦合晶格应变与电子相互作用实现高效电催化
第一作者:刘丹叶
通讯作者:陈东*,徐林*,杨军*
单位:中国科学院过程工程研究所,南京师范大学
研 究 背 景
直接乙醇燃料电池(DEFCs)是非常有应用前景的能源转化技术,其相关电极反应乙醇氧化反应(EOR)和氧还原反应(MOR)电催化剂的设计与合成一直受到广泛关注。其中,在碱性介质中,钯(Pd)基纳米材料对两极反应均有较高性能,可作为较昂贵的铂(Pt)替代品。进一步提高其对EOR和ORR的电催化性能已成为催化领域的一个热点。
Pd与一些含氧中间物(如EOR中的CO*和ORR中的O*及*OH物种)结合较强。这些中间体占据Pd活性位点,影响催化反应的进行。利用压缩应变和电子相互作用可以调节Pd的d能带中心,使得反应中间体在Pd位点上的化学吸附减弱,可以显著提高其EOR和ORR的本征电催化反应活性。
文 章 简 介
基于此,中国科学院过程工程研究杨军研究员团队与南京师范大学的徐林课题组,在国际知名期刊ACS Catalysis上发表题为“Core−Shell CuPd@NiPd Nanoparticles: Coupling Lateral Strain with Electronic Interaction toward High-Efficiency Electrocatalysis”的研究论文。
该文章报道了一个巧妙的策略来克服在Pd基纳米颗粒的内核区域加入过渡金属的困难。他们首先合成CuNi合金种子,并通过Pd2+离子与活性更高的Ni金属之间的置换反应将其转化为核壳CuPd@NiPd纳米颗粒。通过这种核壳结构,实现了晶格应变与电子相互作用的耦合,将Pd的d带中心降低到一个相对合适的位置,这对提高Pd在电催化乙醇氧化和氧还原中的性能至关重要。
图1. CuPd@NiPd纳米颗粒对EOR和ORR催化性能提升的机制示意图。
本 文 要 点
要点一:制备CuPd@NiPd核壳结构纳米颗粒
该文章首先在油相中加入Cu2+和Ni2+的前驱体,合成CuNi合金。再向体系中引入Pd2+,利用Pd2+与较活泼的Ni金属之间的置换得到以CuPd为核,以NiPd为壳的核壳结构纳米颗粒,通过表征可以看到,CuPd@NiPd纳米颗粒尺寸均一,且具有明显的核壳结构。
图2. 核壳CuPd@NiPd纳米颗粒。(a) CuPd@NiPd-1纳米颗粒的合成示意图;(b) CuPd@NiPd-1纳米颗粒TEM图像,(c) x射线衍射(XRD),(d)高分辨率TEM (HRTEM)图像,(e)高分辨率像差校正高角度环形暗场扫描TEM (HAADF-STEM)图像;(f)任意选择三个核壳CuPd@NiPd-1纳米颗粒的(g-j)元素映射分析。
要点二:较低的d带中心和良好的抗CO能力
如图3所示,测定并计算CuPd@NiPd、CuPd合金、NiPd合金,和商业Pd/C催化剂的d带中心。与合金样品和商业Pd/C样品相比,核壳结构CuPd@NiPd核纳米粒子具有最低的d带中心,这表明核壳几何结构对降低Pd的d带中心有一定的贡献。CO吸脱附曲线证实,CuPd@NiPd纳米颗粒显示出最负的CO脱附峰电位,对CO的吸附较弱,表明其对抗CO毒害能力有所提高。
图3. 价带谱与CO吸脱附曲线。(a) CuPd@NiPd-1、CuPd合金、NiPd合金和Pd/C催化剂XPS价带谱和(b)在扫描速率为50 mV s−1的1 M KOH中CO吸脱附曲线。
要点三:高效的电催化EOR和ORR活性
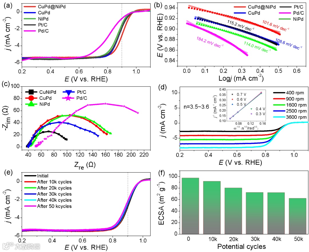
对于EOR反应过程,核壳CuPd@NiPd纳米颗粒的面积活性和质量活性分别为17.6 mA cm−2 和5.1 A mg−1,远高于CuPd合金、NiPd合金和商业Pd/C催化剂,另外核壳CuPd@NiPd纳米颗粒具有较快的反应动力学和良好的电催化稳定性;此外,在催化ORR反应过程中,核壳CuPd@NiPd纳米颗粒的半波电位为0.91 V,质量活性和面积活性均有所提升,特别的是CuPd@NiPd纳米颗粒经过5000圈的加速容忍性测试后仍然保持较大的活性表面积和较高的ORR活性。
图4. EOR性能测试。核壳CuPd@NiPd、CuPd合金、NiPd合金和商业Pd/C催化剂在(a) N2饱和1 M KOH溶液的CV曲线和(b, C) 和1 M KOH含1 M乙醇溶液中分别面积归一化和质量归一化的CV曲线;(d)上述催化剂在其峰电位的质量活性和面积活性对比;(e) Tafel曲线; (f)计时电流曲线及其局部放大图(插图)。
图5. ORR的性能测试。(a) 核壳CuPd@NiPd、CuPd合金、NiPd合金和商业Pd/C催化剂的极化曲线;(b) Tafel曲线和(c) EIS Nyquist图;(d)核壳CuPd@NiPd纳米颗粒在不同转速下的ORR极化曲线;(e)核壳CuPd@NiPd纳米颗粒在不同加速容忍性测试周期后的ORR极化曲线和(f)相应的ECSAs。
文 章 链 接
“Core−Shell CuPd@NiPd Nanoparticles: Coupling Lateral Strain with Electronic Interaction toward High-Efficiency Electrocatalysis”
https://doi.org/10.1021/acscatal.2c02274
通 讯 作 者 简 介
陈东副研究员简介:2016博士毕业于中国科学院大学,同年,进入中国科学院过程工程研究所能源转化与环境净化材料课题组工作,主要研究方向为金属基纳米催化剂的设计与优化,以提升其在能源转化如燃料电池,CO2电还原等应用中的催化性能。相关研究成果发表于Angew. Chem. Int. Ed., Matter, Carbon Energy, ACS Catal., Cell Rep. Phys. Sci., J. Mater. Chem. A和ACS Appl. Mater. Interfaces等期刊。
徐林副教授简介:徐林博士目前是南京师范大学的副教授,他2010年在南京大学取得化学博士学位,之后,在美国印第安纳大学和新加坡南洋理工大学进行了5年博士后研究。他主要研究兴趣集中在能源材料的设计与合成,包括电催化、锂电池和超级电容器材料。
杨军研究员简介:2006年在新加坡国立大学获得博士学位,之后在美国波士顿学院和加拿大多伦多大学完成博士后研究;2007年重新回到新加坡,任职于生物工程与纳米技术研究院;2010年加入中国科学院过程工程研究所,创建能源转化与环境净化材料课题组。他的研究兴趣主要是电催化及用于能源转化的纳米复合材料。
添加官方微信 进群交流
SCI二氧化碳互助群
SCI催化材料交流群
SCI钠离子电池交流群
SCI离子交换膜经验交流群
SCI燃料电池交流群
SCI超级电容器交流群
SCI水系锌电池交流群
SCI水电解互助群
SCI气体扩散层经验交流群
备注【姓名-机构-研究方向】
投稿请联系contact@scimaterials.cn
点分享
点赞支持
点在看

