文 章 信 息
在具有管状通道的富氮碳载体上设计FeN4活性位点以增强氧还原反应
第一作者:Fenghong Lu
通讯作者:王磊教授
单位:青岛科技大学
研 究 背 景
锚定在氮掺杂碳载体上的三维过渡金属单原子(TM-SAs)具有最大的原子利用效率、可调的电子结构和优异的催化性质,已成为一类新的令人鼓舞的替代材料。
近年来,氮原子配位的Fe-SA(Fe-Nx部分)被认为是最有希望的无铂族金属电催化剂,具有优异的ORR活性。然而,Fe-Nx催化剂与ORR火山图的顶点之间仍存在相当大的性能差异,这需要进一步调节活性中心的微环境,以达到含氧中间体的最佳吸附强度,并提高Fe-Nx催化剂的动力学活性。因此,合理促进中间体的吸附/解吸的催化剂构筑方案对提高单原子催化剂的ORR性能起到了决定性作用。
文 章 简 介
本 文 要 点
要点一:理论计算探讨富氮碳载体结构对电催化反应步骤的影响规律
图1. 理论计算
通过理论计算表明氮掺杂剂对Fe-(N-C2)4位点具有强吸电子效应,并且可以进一步调节其电子结构以改变含氧中间体的吸附强度。
富氮碳载体对活性位点的微观配位环境的影响,能够改变其吸附ORR中间产物的能力。其中,Fe-(N-C2)4-2N中的Fe原子比Fe-(N-C2)4带更多正电荷,具有低的中间产物吸附吉布斯自由能,说明富氮碳载体有利于降低ORR的动力学势垒。
要点二:富氮碳载体锚定过渡金属离子构筑单原子电催化剂的方案
图2. Fe-SAs@NCTCs的制备流程图与材料形貌表征
图3. Fe-SAs@NCTCs的精细结构表征
首先,以三聚氰胺与硝酸钠相互作用形成的纤维状配合物为前驱体,通过控温煅烧合成具有管状结构的富氮碳基体。之后,通过二步高温煅烧,将具有较高本征活性的Fe-SAs锚定在碳载体中。此外,纤维状配合物可以有效实现构建具有管状通道的分层多孔结构,并为ORR过程提供出色的物质传输效率。
通过球差矫正扫描透射显微镜及同步辐射X射线吸收谱证明了铁以单原子Fe-N4的形式存在Fe-SAs@NCTCs中。
要点三:电催化氧还原性能的评估
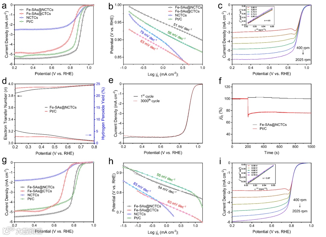
图4. Fe-SAs@NCTCs的电催化氧化原性能的评估
图5. 基于Fe-SAs@NCTCs组装的锌-空气电池性能的评估
Fe-SAs@NCTCs表现出优异的ORR性能,其中在0.1 M KOH中,其ORR半波电位(E1/2)高达0.91 V(vs.RHE);在0.1 M HClO4中,E1/2为0.80 V(vs.RHE),优于Pt/C电催化剂以及大部分报道的单原子电催化剂。此外,采用Fe-SAs@NCTCs电催化剂组装的锌-空气电池在5mA cm-2电流密度下循环650小时后,充放电电压差仍能保持在0.76 V。
Fe-SAs@NCTCs优异的电催化性能主要源于以下几个方面:
1. 单原子位点直接锚定在具有分层多孔结构的富氮碳载体上,能够充分暴露单原子Fe活性位点;
2. 纤维状富氮碳载体具有高比表面积以及丰富的孔结构,具有通畅的离子与电子传输通道;
3. 富氮碳载体能够改变单原子的微观配位环境,从而调节Fe-SA位点上ORR中间体的结合强度,导致能垒显着降低和ORR活性增强。
文 章 链 接
Engineering FeN4 Active Sites onto Nitrogen-rich Carbon with Tubular Channels for Enhanced Oxygen Reduction Reaction Performance
https://www.sciencedirect.com/science/article/pii/S0926337322004052
通 讯 作 者 简 介
王磊 教授
山东省杰青,泰山学者青年专家,青岛科技大学崂山学者,博士生导师。2006年博士毕业于吉林大学无机合成与制备化学国家重点实验室,导师冯守华院士。2008.10年-2010.10年在山东大学材料科学与工程博士后流动站从事博士后工作,导师长江学者陶绪堂教授;2012.11-2013.05于美国The University of Texas at San Antonio, Chemistry of Department做访问学者,合作导师陈邦林教授。长期从事绿色能源相关领域研究,在能源储存与转换材料、光电催化、超分子化学、金属-有机配位聚合物、有机-无机杂化材料等方面做出了出色的工作,先后合成出来首例微孔亚磷酸铍和首例具有三棱镜结构的高稳定金属有机钠盐。已在Nat. Commun., Angew. Chem. Int. Ed., Adv. Mater., Adv. Energy Mater., Energy Environ. Sci., Adv. Funct. Mater., Energy Stor. Mater., Nano Energy, ACS Cent. Sci.,Appl. Catal. B: Environ., J. Mater. Chem. A., Science. China. Chem.、中国科学、科学通报等国内外重要学术期刊上发表SCI论文二百余篇。主持国家级和省部级项目十余项,首位获得中国石油和化学工业联合会科技进步奖、山东省高等学校科学技术奖共四项。
添加官方微信 进群交流
SCI二氧化碳互助群
SCI催化材料交流群
SCI钠离子电池交流群
SCI离子交换膜经验交流群
SCI燃料电池交流群
SCI超级电容器交流群
SCI水系锌电池交流群
SCI水电解互助群
SCI气体扩散层经验交流群
备注【姓名-机构-研究方向】
投稿请联系contact@scimaterials.cn
了解更多催化剂材料,点击"阅读原文"
点分享
点赞支持
点在看

