文 章 信 息
基于自发偶联抑制剂的高离子转移数共晶杂化电解质的固态金属锂电池
第一作者:毕林楠
通讯作者:廖家轩*,王思哲*
单位:电子科技大学,陕西科技大学
研 究 背 景
深入了解体相聚合物电解质的传质机制,认识离子运动原理,可以指导研究人员设计高性能聚合物电解质材料。与传统电解液一样,聚合物电解质可以理想地被视为由聚合物和锂盐组成的“二元电系统”,具有两种可移动的带电物质,即阳离子和阴离子。
通常,电解质组分在分子水平上的平移扩散可以描述为由布朗运动引起的随机游走。然而,由于电荷中性的条件约束,所有物种都是耦合的。即阳离子扩散引起的局部正电荷聚集,必然会引起相应的阴离子填充来补偿电荷。同理,阳离子扩散产生的空间空位当然也会引起相应的阴离子和/或带负电荷的物质填充进行空间补偿。因此,从聚合物的角度来看,聚合物固有的半结晶性质从根本上违背了离子传导的原理。
不难理解,具有局部规整畴结构的聚合物活性低,阳离子的随机运动受到限制。所以,制备具有高锂离子迁移数的聚合物固体电解质仍然非常困难。从自由游走的带电物种的角度来看,由于阳离子的运动必须伴随着阴离子的运动,因此阳离子运动引起的电荷损失和空间空位必须由阴离子物种和/或聚合物段的某种组合来填补。电荷和空间空位的自发耦合不利于锂离子的迁移。抑制聚合物宿主内部电荷和空间空位的自发耦合可能是提高锂离子传输速率的关键。
文 章 简 介
基于此,来自电子科技大学的廖家轩团队与陕科大王思哲等在国际知名期刊Nano Research上发表题为“A Highly Ionic Transference Number Eutectogel Hybrid Electrolytes Based on Spontaneous Coupling Inhibitor for Solid-State Lithium Metal Batteries”的文章。
该工作深入分析了聚合物电解质中的离子相互作用,基于P(VDF-CTFE)主体和 LiTFSI的“二元电解质系统”,开发了一种具有快速离子传导共晶单元的柔性共晶凝胶电解质。通过使用LLZTO作为离子耦合调节剂,使其自行调节聚合物主体内阴阳离子的相互作用。本文深入研究了可能由锂阳离子迁移引起的固体电解质局部化学环境变化及其有关性质的关联,并为制备具有高离子迁移数的固体电解质提供了一种潜在的方法,用于更广泛和更有效的实践。
图1.聚合物固体电解质内部聚合物链、锂盐、LLZTO和DMF溶剂之间的相互作用机制。
本 文 要 点
要点一:高活性LLZTO的加入对锂离子传输方式的影响
图2. (a)基于SS//EHEs//SS阻塞对称单元的Nyquist曲线。(b) EHEs-0%和EHEs-10%基于Li//EHEs//SS细胞的LSV曲线。(c, d)分别对EHEs-0%和EHEs-10%膜进行直流极化和交流阻抗测试。
要点二:高活性LLZTO的加入对聚合物结构的影响分析
图3. EHEs-0%和EHEs-10%的C1s电子结构分析。(c, d) EHEs-0%和EHEs-10%的F1s电子结构分析。
要点三:金属锂/聚合物固态电解质界面稳定性测试
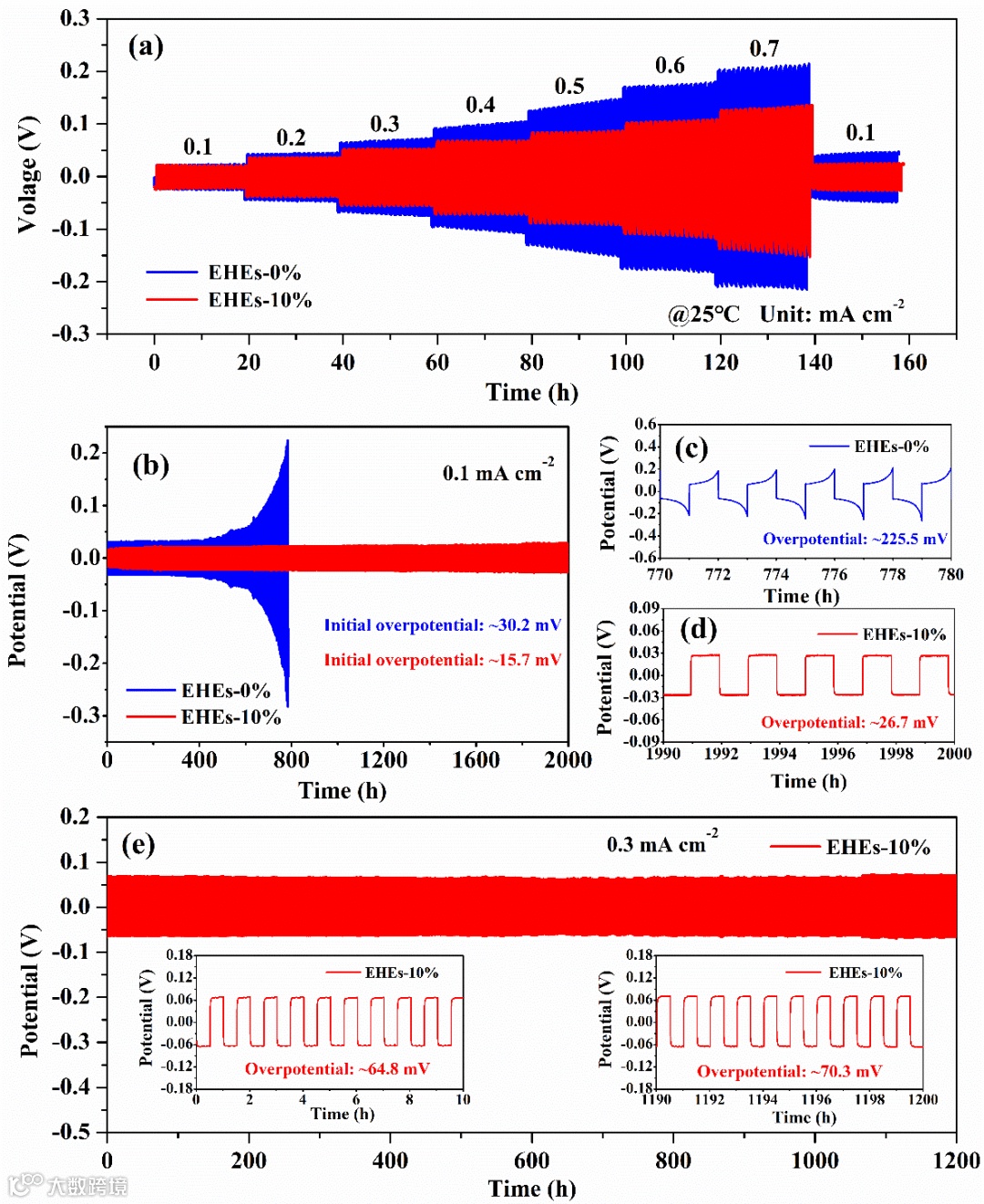
图4. (a) Li//EHEs-0%//Li和Li//EHEs-10%//Li电池在0.1 ~ 0.7 mA cm-2不同电流密度下的倍率性能测试。(b) 0.1 mA cm-2下EHEs-0%和EHEs-10%的周期性锂剥离/电镀实验。(c, d) Li//EHEs-0%//Li和Li//EHEs-10%//Li电池在780和2000 h时的极化电压分布。(e) EHEs-10%在0.3 mA cm-2下对金属锂阳极的循环稳定性。
要点四:室温条件下Li/EHEs/LFP电池和Li/EHEs/LCO倍率/循环性能测试
图5. 室温下固态LiFePO4//EHEs//Li和LiCoO2//EHEs//Li电池的电化学性能。(a, c)不同倍率下电池的倍率性能。(b, d) LiFePO4//EHEs//Li和LiCoO2//EHEs//Li电池在0.2C和0.5C下的循环性能。
文 章 链 接
“A Highly Ionic Transference Number Eutectogel Hybrid Electrolytes Based on Spontaneous Coupling Inhibitor for Solid-State Lithium Metal Batteries”
https://doi.org/10.1007/s12274-022-4759-7.
通 讯 作 者 简 介
廖家轩,博士,研究员,博士生导师。2001年10月于哈尔滨工业大学获材料科学与工程学科的博士学位,2003年12月于中国科学院兰州化学物理研究所博士后流动站出站到电子科技大学从事教学和科研工作,研究方向为新能源材料与元器件、电子信息材料与器件、电子薄膜与集成器件以及电子功能材料及器件。
目前致力于气凝胶的原创性研究和“卡脖子”技术突破,努力实现气凝胶的量产及规模化应用。指导研究生近60名;发表高水平论文110余篇;主持及参与国家自然科学基金、国家863、973计划等科研项目30余项,其中主持和主研20余项;申请40余项发明专利,授权30余项,以第一发明人授权16项。
担任Adv. Energy Mater., ACS energy lett., Adv. Funct. Mater., Nano energy等国际知名期刊审稿人。受聘教育部学位中心评审专家、成都市节能环保领域专家及成都市经信局新型显示/光电显示领域专家等。
王思哲,博士,副教授,硕士生导师,陕西高层次引进人才(青年项目),省级重点联系专家。主持参与国家自然科学基金,中国博士后站中特别资助,陕西省科技厅项目、四川省科技厅项目等10余项项目。
2013年于电子科技大学微电子与固体电子学院获得学士学位,2019年于电子科技大学材料与能源学院获得博士学位及“校优秀毕业生”称号。于2017-2019年在加拿大University of Western Ontario的孙学良院士课题组学习。于2020年入选陕西科技大学“青年拔尖人才”项目。目前主要研究包括:碳材料构筑、气凝胶复合材料构筑、无机纳米复合材料构筑以及其在动力电池领域的相关应用,特别是碱金属离子电池、锂硫电池、锂金属电池等方面进行了深入的应用研究。
在Adv. Energy Mater., ACS energy lett., Adv. Funct. Mater., Nano energy, Energy Storage Mater., ACS catal., Chem. Mater., J. Mater. Chem. A, Carbon等期刊发表SCI论文70余篇,ESI高被引论文5篇。申请中国发明专利20余项。担任Adv. Energy Mater., ACS Nano, Adv. Funct. Mater.等国际期刊审稿人,Springer旗下《Tungsten》期刊、《稀有金属》期刊青年编委。
添加官方微信 进群交流
SCI二氧化碳互助群
SCI催化材料交流群
SCI钠离子电池交流群
SCI离子交换膜经验交流群
SCI燃料电池交流群
SCI超级电容器交流群
SCI水系锌电池交流群
SCI水电解互助群
SCI气体扩散层经验交流群
备注【姓名-机构-研究方向】
投稿请联系contact@scimaterials.cn
点分享
点赞支持
点在看

