背 景 介 绍
锌-空电池作为新一代先进储能系统之一,因其具有较高的理论能量密度、安全可靠、成本低等优点因而被认为是装备电动汽车等理想选择。然而,所涉及的主要反应为放电过程中的氧还原反应(ORR)和充电过程中的氧析出反应(OER)。
相比OER来说,ORR的反应动力学较为缓慢,因此需要依靠高效的电催化剂来加快其反应速率。迄今为止,由于商用的贵金属Pt基催化剂具有出色的电催化活性,从而被认为是最有效的ORR电催化剂。但是因其成本昂贵、资源稀缺、电化学稳定性不佳等问题严重阻碍了锌空电池的商业化进程。因此设计并开发价格低廉、高效且稳定的非贵金属催化剂是锌空电池大规模应用的关键。
成 果 简 介
在前期MOF精准设计的基础(Adv. Funct. Mater. 2022, 32, 2203745-2203755; Angew. Chem. Int. Ed. 2020, 59, 22756-22762; EnergyChem 2021, 100067; J. Am. Chem. Soc. 2017, 139, 11576-11583)上,近期,南京工业大学段金贵教授课题组以超薄二维MOF纳米片(NTU-83)为起点,利用气化还原策略制备了一系列富含单原子Cu以及Cu2+1O活性中心的泡沫状结构的Cu/NC-T催化剂。
电化学性能测试表明,Cu/NC-1000催化剂在碱性介质中表现出优异的ORR催化活性,其中起始电位为0.98 V,半波电位E1/2为0.85 V(超过了商用Pt/C催化剂)。将其作为空气阴极材料应用于锌空电池,表现出138 mW cm-2的功率密度、763 mAh g-1 Zn 的比容量和1.21 V的稳定放电电压平台,优异的循环稳定性,以及潜在的应用价值。通过DFT模拟计算得知Cu2+1O加速O2还原为HOO*,Cu原子位点促进HO*的还原,Cu位点和Cu2+1O的协同作用是Cu/NC-1000高活性的主要原因。
图 文 导 读
示意图:碳载体负载的单原子Cu以及Cu2+1O/Cu的制备流程图
图1. (a-b) 分别为 c轴和b轴方向NTU-83的结构图;(c-d) 分别为NTU-83的SEM和AFM图像;(e) XRD图;(f-i) 分别为热解的NTU-83和Cu/NC-T(T:900-1100)的SEM图像;(j-m) 热解的NTU-83的TEM图像;(n-q) Cu/NC-1000的TEM图像。
从图1(a-b) NTU-83的结构图可以看出,其孔腔尺寸为6.51×11.1 Å2,层间距为5.12 Å。通过SEM和AFM图像我们可以清晰的看出纳米片是方形形貌,厚度为11 nm。通过对热解后的样品进行XRD表征,与Cu,CuO,Cu2+1O匹配良好。从图1 (f-i)中可以看出,热解的NTU-83以粒子结构存在,而其他以蜂窝状结构存在。此外,我们对热解的NTU-83和Cu/NC-1000进行了TEM表征,皆呈现出Cu的多价态区域,与XRD结果一致。
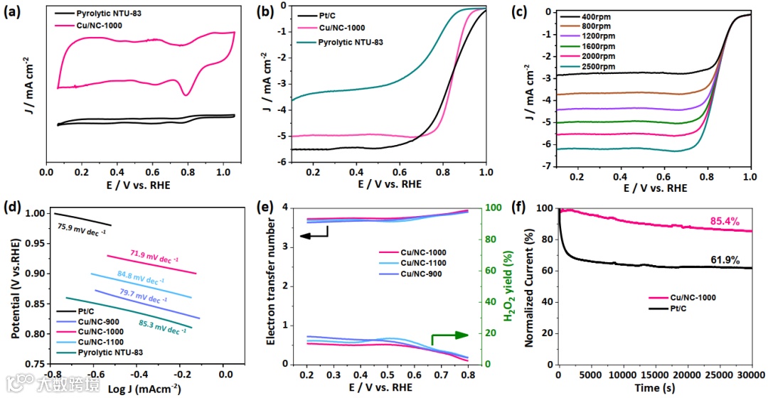
图2. (a) 热解的NTU-83和Cu/NC-1000的CV曲线;(b) Cu/NC-1000,热解的NTU-83和Pt/C的LSV曲线;(c) 不同转速下Cu/NC-1000的LSV曲线;(d) Tafel斜率;(e) H2O2产率和转移电子数n;(f) 稳定性测试曲线。
为了评估所制备的催化剂对ORR的催化活性,在氧气饱和的0.1 M KOH电解液中通过循环伏安法(CV)和线性扫描伏安法(LSV)对其进行了测试,Cu/NC-1000具有更正的氧还原峰,0.98 V的起始电位,0.85 V的半波电位,此外,还具有较低的Tafel斜率,近四电子转移途径以及优异的循环稳定性,其性能优异于商业20% Pt/C催化剂。
图3. (a) CuN4;(b) Cu2+1O的计算模型;(c) ORR机制;(d-e) 分别是CuN4和Cu2+1O上ORR过程的自由能图。(颜色代码:绿色,铜原子;蓝色,N原子;灰色,C原子;红色,O原子;和白色H原子)
通过DFT模拟计算,推断Cu/NC-1000优异的ORR性能可能源于单原子Cu位点和Cu2+1O的协同作用,其中Cu2+1O加速了O2还原为HOO*,而原子Cu位点促进了HO*的还原。
图4. (a) 锌-空电池(ZAB)示意图;(b)开路电压;(c) 极化曲线和功率密度曲线;(d-e) 在10 mA cm-2下的放电曲线和稳定性曲线;(f) Cu/NC-1000基ZAB电池点亮的LED图片;(g-h) 以Cu/NC-1000+RuO2和Pt/C+ RuO2组装的可逆ZAB电池的充放电曲线。
为了评估其在实际应用中的可行性,以Cu/NC-1000为空气阴极组装的可充电液态锌-空电池,通过测试其结果显示出138 mW cm-2 的功率密度、763 mAh g-1 Zn 的比容量以及1.21 V的稳定放电电压平台,在电流密度5 mA cm-2 下,可工作170小时,循坏500次,比商用Pt/C的性能优异。
作 者 简 介
段金贵,南京工业大学教授,博士生导师。研究主要集中于MOF设计和制备、MOF膜组装和应用,面向并致力于挑战性能源气体的分离开发和应用。
教授课题组诚聘博士后1-2名。本组依托南京工业大学材料化学工程国家重点实验室,目前主要研究博士后聘用期为两年,课题组提供充足的科研支持,提供办公及实验室空间及设备,博士后福利费参照学校内教职工标准发放(最高30万每年)。
有意者请将相关申请材料(详细简历、主要科研成果、及其他可以证明工作能力的材料;
提供2-3推荐人的姓名及有效联系方式)发送至: (段老师),
邮件标题以“应聘博士后+姓名”命名。
添加官方微信 进群交流
SCI二氧化碳互助群
SCI催化材料交流群
SCI钠离子电池交流群
SCI离子交换膜经验交流群
SCI燃料电池交流群
SCI超级电容器交流群
SCI水系锌电池交流群
SCI水电解互助群
SCI气体扩散层经验交流群
备注【姓名-机构-研究方向】
投稿请联系contact@scimaterials.cn
点分享
点赞支持
点在看

