文 章 信 息
调控共轭聚合物中偶氮活性中心的位置以提升其锂离子电池性能
第一作者:张森
通讯作者:王秀娟*,何晓明*
单位:陕西师范大学
研 究 背 景
氧化还原共轭聚合物因其种类多样且结构可调,具有丰富的氧化还原活性中心、良好的导电性以及较小的溶解性等优点使其在能量存储方面有巨大的应用前景。对于该类聚合物来说,通常一个活性位点得失电子后,由于受到电荷的影响,下一个活性位点则需要更高的能量进行得失电子反应;整个体系的氧化还原电位较宽,很难形成稳定的电压平台。同时,导电聚合物在高掺杂程度情况下往往会引发副反应的发生。
在很多情况下,高导电性和活性中心的高效利用往往是一对矛盾体。因此,如何设计新型聚合物材料,同时保证有机材料的高导电率和电活性单元的相对独立至关重要,是目前亟待解决的科学问题。目前聚合物电极材料的设计主要集中于新型电活性单元的开发,然而对聚合物的结构调控却知之甚少。本研究探讨了如何调控共轭聚合物中电活性单元的位置,以优化材料的电化学和电池性能,为共轭聚合物电极材料的结构设计方面提出了新的观点,有助于未来高性能电极材料的创制。
文 章 简 介
基于此,陕西师范大学的何晓明教授课题组在国际知名期刊Chemistry of Materials上发表题为“Tuning the Azo Location in Conjugated Polymers Toward High-Performance Lithium-Ion Batteries”的研究论文。该研究首次系统研究了电活性中心在共轭聚合物中的连接位置对电池性能的影响,提出了“侧链型共轭聚合物”的优化设计策略,有助于下一代高性能的电极材料的开发。
本 文 要 点
要点一:聚合物结构设计与电池性能
图1. 聚合物的结构设计。
本文设计并合成了三种噻吩连接偶氮苯的共轭聚合物异构体 (P1-P3,图1)。选择偶氮苯单元为氧化还原中心,系统比较了“侧链型”VS“主链型”,“间位连接”VS“对位连接”两种调控机制对材料电池性能的影响;研究发现“侧链+间位”型共轭聚合物P1设计有利于活性位点的高效利用和维持材料的导电性,进而获得优良的倍率和循环稳定性能。
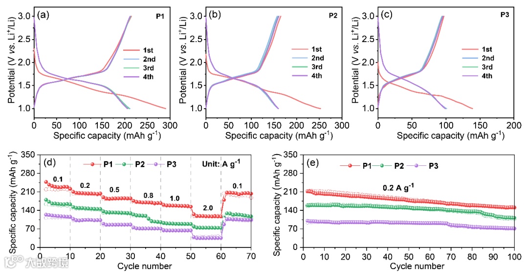
如图2,在0.1 A g−1电流密度下,P1展现了215 mAh g-1的比容量(和理论容量相当),其活性中心利用率可达100%,并维持较好的电压平台1.7 V。在同等条件下,电池性能趋势与共轭体系的化学结构密切相关:P1(间位+侧链)>P2(间位+主链)>P3(对位+主链)。理论计算进一步验证了我们的设计理念(如下)。总的来说,在设计储能氧化还原共轭聚合物时“间位连结”和“侧链”是两种提升电池性能的有效策略。
图2. P1-P3的锂离子电池性能。(a-c) P1-P3 在 0.2 A g-1 下的恒电流充放电曲线,(d) P1-P3 的倍率性能,(e) P1-P3 在 0.2 A g-1 下的循环性能。
要点二:原因分析和机理研究
理论计算表明(图3):“间位”型P1-T 和P2-T 的 HOMO 轨道主要分布在苯基-噻吩-苯基部分,且具有相近的HOMO能级 (P1-T: EHOMO = -5.51 eV, P2-T : -5.57 eV)。值得注意的是,“间位+侧链”型P1-T 的 HOMO 轨道主要离域在共轭聚合物的主链上,偶氮苯对HOMO 轨道基本无贡献,说明了电子可以沿聚合物的主链进行相对稳定的传输。
此外,P1-T 和 P2-T 的 LUMO,LUMO+1 和 LUMO+2 能级非常接近 -2.33/-2.27 eV 且主要集中在偶氮单元上,进一步证明了“间位”型聚合物的偶氮苯单元在接受电子过程中相对独立互不干扰。相反,由于较强的 D-A相互作用,“对位”型P3-T聚合物的HOMO 轨道很大一部分来自于偶氮苯单元的贡献;而且P3-T 的 LUMO, LUMO+1 和 LUMO+2之间的能级差更大,这表明 P3-T 在得失电子时偶氮单元之间的干扰更大。
因此,计算表明:
(1)“间位”连结可以有效减少氧化还原单元之间的干扰;
(2)“侧链”型聚合物可以提供相对稳定的导电性。
图3. 三聚体模型分子P1-T, P2-T和P3-T 的前线分子轨道和能级。
电化学实验证明(图4):虽然所设计的三种聚合物有着相同的活性单元和氧化还原机理,但通过调节活性单元的连结方式,它们的电化学行为有明显的差异。在扫描速率为0.2 mV s-1下,P1 和 P2 表现出较小的氧化还原峰电位差,分别为0.11 和 0.18 V,而 P3 的氧化还原峰电位差为 0.42 V。
此外,随着扫描速率增加,虽然 P1 和P2 的电位差都随之而增加,但 P3 增加最为明显。其原因在于:P3有较大的电子离域,导致大的极化效应,致使活性单元在得失电子过程中相互影响程度较大,这与理论计算一致。这一现象存在于很多的共轭聚合物中,在一定程度上抑制了共轭聚合物在能量存储中活性中心的充分发挥。
图4. 聚合物 P1-P3 在Li电池中的电化学性能。
电化学阻抗谱研究(图5a)发现:在新鲜电池中三种聚合物的阻抗(Rct ):P1 (105 Ω) > P2 (100 Ω) > P3 (60 Ω),与三种聚合物本征电导率一致。循环三圈之后,P1的阻抗变化最小(从105 Ω增加至113 Ω),然而P2 和 P3 的阻抗均有较大幅度增加(P2: 从100增加至155Ω;P3:从60增加至 90 Ω)。上述结果表明P1 的导电性在电池循环过程中可以较好地保持。
原位电化学阻抗谱(图5b)研究进一步证明:在放电“嵌锂”过程中,三种聚合物阻抗快速增大,其原因主要是锂嵌入反应导致共轭结构的变化(图5c)。在随后充电“脱锂”过程中,其阻抗再次减小,但仍高于初始值,其原因主要归结于可能存在的少量不可逆的脱锂化反应。其中,“侧链+间位”型聚合物P1,由于主要的电子传输路径依赖于共轭聚合物的主链,不可逆的锂嵌入反应对材料的导电性能影响最小。
因此,在循环前后P1 的阻抗变化值 ΔRct (10 Ω) 明显低于P2 (35 Ω) 和 P3 (19 Ω)。这与上述理论计算结果一致。此外,作者通过非原位的红外、拉曼光谱和XPS对聚合物复合电极的氧化还原反应过程中的机理进行了表征。
图5. (a) P1-P3 电极在新鲜电池和循环3圈后的EIS阻抗图,(b) P1-P3 电池在第二圈循环过程中的阻抗变化,(c) 锂离子嵌入/脱附示意图及其导电路径。
要点三:展望
理论和实验结果表明:“间位连结”和“侧链”型共轭聚合物可以有效提升电极材料的储能性能。该研究为有机聚合物电极材料的结构设计提供了新的研究思路,有望拓展到其它电活性聚合物电极材料的设计中。
文 章 链 接
Tuning the Azo Location in Conjugated Polymers Toward High-Performance Lithium-Ion Batteries
http://pubs.acs.org/doi/10.1021/acs.chemmater.2c01497
通 讯 作 者 简 介
何晓明教授,博士生导师,国家级人才项目入选者。于2010年11月在香港大学获得博士学位,2011-2014年先后在密西根大学、卡尔加里大学、阿尔伯塔大学从事博士后研究,2014-2016年作为玛丽居里学者在布里斯托大学进行科研工作。2019年3月加入陕西师范大学,主要研究方向为功能光电材料和可控超分子组装,在Nat. Mater., J. Am. Chem. Soc., Angew. Chem. Int. Ed., Adv. Funct. Mater., Energy Stor. Mater. , Chem. Mater. 等国际知名期刊上发表论文50余篇。
王秀娟,2018年毕业于西北大学,获理学博士学位,2018年7月任职于西安理工大学,2020年6月起进入陕西师范大学化学博士后流动站,主要从事无机功能微/纳米复合材料的结构调控及储能机理探究等基础研究工作。
近年来以第一作者在Energy Storage Materials、ACS Nano (ESI高被引用论文前1%)、Chemistry of Materials、Journal of Materials Chemistry A、Chemical Engineering Journal、Journal of Power Sources等国际著名刊物发表SCI论文16篇。现主持国家自然科学基金青年项目、中国博士后科学基金面上项目、陕西省自然科学基金青年项目、陕西省高校科研青年人才托举计划项目各1项。
第 一 作 者 简 介
张森,陕西师范大学2020级博士研究生。
课 题 组 介 绍
何晓明课题组主要研究方向为开发多尺度 (小分子、聚合物、自组装纳米到微米材料)的新型功能有机/无机材料,用于传感、储能、光催化和有机发光器件等领域。
课题组主页:http://xmhe.snnu.edu.cn
课 题 组 招 聘
欢迎有机\高分子合成、纳米材料制备、有机光电子学等相关领域的学生和学者加入我们课题组。
添加官方微信 进群交流
SCI二氧化碳互助群
SCI催化材料交流群
SCI钠离子电池交流群
SCI离子交换膜经验交流群
SCI燃料电池交流群
SCI超级电容器交流群
SCI水系锌电池交流群
SCI水电解互助群
SCI气体扩散层经验交流群
备注【姓名-机构-研究方向】
投稿请联系contact@scimaterials.cn
点分享
点赞支持
点在看

