文 章 信 息
摇摆式非恒温烧结实现富锂锰基氧化物中晶格氧的稳定
第一作者:张育涵
通讯作者:崔光磊*,马君*,胡志伟*,张鼎*
研 究 背 景
富锂锰基氧化物正极是一种新型的锂电池正极材料,因兼具阴(O2-)、阳离子(Ni2+、Co3+、Mn3+)的可逆氧化还原反应,具有远高于高电压钴酸锂、高镍三元正极材料的放电比容量(≥ 280 mAh g-1), 在开发高能量密度锂电池时极具应用潜力。
目前富锂锰基氧化物正极由于阴离子氧的氧化还原反应会导致非稳态O2p空穴和O2的产生,严重降低电池的稳定性、循环寿命和安全性能,成为制约高比能、高安全锂离子电池技术发展的瓶颈问题。因此,创新材料制备技术以解决其瓶颈问题,是促进富锂锰基正极材料发展的重要前提。
文 章 简 介
基于此,来自中国科学院青岛生物能源与过程研究所的崔光磊研究员、马君副研究员与德国马普固体化学物理研究所胡志伟研究员和武汉工程大学张鼎教授合作,在国际能源领域顶级期刊Advanced Energy Materials上发表题为“Stabilization of Lattice Oxygen in Li-Rich Mn-Based Oxides via Swing-like Non-Isothermal Sintering”的文章。
该文章提出一种摇摆式非恒温烧结的新型材料制备技术,实现了富锂锰基氧化物Li1.2Mn0.54Ni0.13Co0.13O2中体相晶格氧的稳定化并减少了非稳态O2p空穴的产生,此外该技术的可行性在无钴富锂锰基正极材料体系(Li1.2Mn0.6Ni0.2O2)也得到了验证。
图1. 通过传统恒温烧结技术(CTS)和非恒温烧结技术(SNS)调控氧空位的示意图。
本 文 要 点
要点一:晶体结构与电子结构分析
图2. 材料形貌、晶体结构与电子结构分析。
与传统恒温烧结技术相比,非恒温烧结技术并没有明显改变富锂锰基氧化物正极Li1.2Mn0.54Ni0.13Co0.13O2的物相结构,而是减少了材料中的氧空位浓度,尤其是体相氧空位浓度,这增强了结构的有序性。基于同步辐射软线XAS和EELS的测试结果,进一步分析发现,非恒温烧结技术显著提高了材料中过渡金属元素TM(主要是Mn)的价态以及TM-O的共价性,这主要归于晶格氧损失得到了抑制。
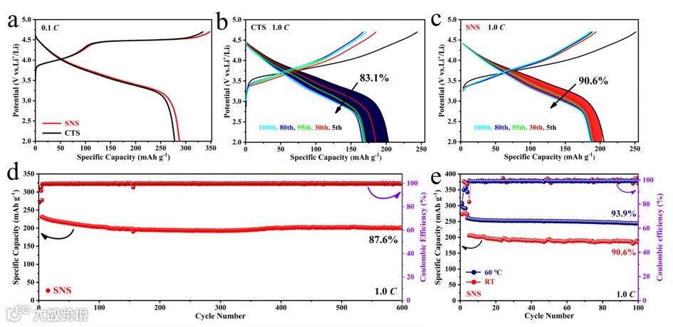
要点二:电化学性能研究
图3. 电化学性能研究。
采用非恒温烧结技术制备的富锂正极其放电比容量、循环稳定性等电化学性能与传统恒温烧结技术相比,得到显著提升:在200 mA g-1电流密度下经过600次充放电循环后,放电容量仍高达200.3 mAh g-1,容量保持率高达87.6%,远优于传统恒温烧结技术制备的电池性能(100次后169.0 mAh g-1, 容量保持83.1%)。此外,该材料也表现出优异的高温循环稳定性:在60 °C和200 mA g-1测试条件下100次循环后容量保持率高达93.9%,剩余放电容量仍达244.5 mAh g−1。
要点三:微观结构演变分析
图4. 微观结构演变分析。
原位XRD显示,与传统恒温烧结技术相比,非恒温烧结技术制备的富锂锰基正极由于晶格中氧空位浓度较低,因而在高电压和放电区域表现出更小的半峰宽。经过100次循环后电极的非原位XRD表明非恒温烧制的材料在长循环后仍表现出较小的晶格膨胀。
此外,非原位的同步辐射软线XAS结果也显示该材料中TM价态降低和非稳态O2p空穴的产生被显著抑制,提高了晶格氧的电荷补偿可逆性。循环后的HRTEM进一步揭示富锂正极中不可逆相转变得到明显改善,这主要归因于非恒温烧结技术降低了富锂正极中氧空位和非稳态O2p空穴的浓度,增加了TM迁移的能垒,实现了结构稳定性的提升。
要点四:前瞻
晶格氧的稳定对基于阴离子氧化还原的富锂锰基层状氧化物的结构与性能有重要影响。本工作基于一种非恒温烧结的新型材料制备技术实现了富锂锰基正极材料中晶格氧的稳定,尽管这种技术需要比较长的烧结时间,但是这对于其带来的长循环寿命是值得的。当然,将这种摆动式的非等温烧结与传统的恒温烧结结合起来,以探索一种更有效的材料合成工艺,也是一个值得的尝试。
总的来说,烧结技术在稳定晶格氧和晶体结构方面起着重要作用,这为调控非稳态O2p空穴的数量和提高涉及阴阳离子氧化还原化学的正极材料的电化学稳定性提供了一个新思路。因此,本工作为实现长寿命正极材料的制备开辟了一个新的方向。
文 章 链 接
Stabilization of Lattice Oxygen in Li-Rich Mn-Based Oxides via Swing-like Non-Isothermal Sintering.
https://onlinelibrary.wiley.com/doi/10.1002/aenm.202202341
通 讯 作 者 简 介
崔光磊研究员简介:中国科学院青岛生物能源与过程研究所研究员,博士生导师,国家新能源汽车专项高比能固态锂电池技术项目首席科学家,国家“万人计划”,科技部中青年科技创新领军人才,国家杰出青年科学基金获得者,国务院特殊津贴专家。曾获得中科院“百人计划”终期评估“优秀”、山东省自然科学一等奖、青岛市自然科学一等奖,青岛市科技进步一等奖等奖项。
2009年2月以中科院百人计划研究员到中科院青岛生物能源与过程所工作,现任中科院青岛能源所学位委员会主任、学术委员会副主任,先进储能技术研究室主任,青岛储能产业技术研究院执行院长、中科丰元高性能锂电池材料研究院执行院长,国际聚合物电解质委员会理事、中国造船工程学会第一届深海装备技术学术委员会委员、国际储能创新联盟理事、中国化学会电化学委员会委员、中国化学会有机固体专业委员会委员、Macromolecular Chemistry and Physics执行咨询委员会委员等。
近几年主要从事高比能固态电池关键材料和系统研发、深海特种电源开发应用及固态光电转换器件的研究工作。先后在能源材料、化学、器件等方面的国际权威杂志Nat. Commun.、Chem. Soc. Rev.、Angew. Chem. Int. Ed.、Adv. Mater.、Environ. Energy Sci.、Adv. Energy Mater.、Joule、Adv. Funct. Mater.、J. Am. Chem. Soc.、Adv. Sci.等发表文章300多篇,他引20000多次。
马君副研究员简介:中国科学院青岛生物能源与过程研究所副研究员,中国科学院青年促进会会员。2014年博士毕业于中国科学院物理研究所。主要从事高比能锂电池正极材料、锂电池失效机制的研究,作为负责人承担国家自然科学基金委面上项目、青年项目,山东省优秀中青年科学家科研奖励基金等项目。
已在能源材料、化学、器件等方面的国际权威杂志Chem. Soc. Rev.、Nat. Commun.、Angew. Chem. Int. Ed.、Adv. Mater.、Adv. Energy Mater.、Adv. Sci.、Chem. Mater.等国际知名期刊发表文章70多篇,申请国家发明专利12项。
胡志伟研究员简介:德国马普固体化学物理研究所X射线光谱学组长。主要采用同步辐射的波谱学方法,从理论与实验两方面研究凝聚态强关联体系中的电荷自旋、轨道态,开展有关磁性、超导性、多铁性, 新能源,环境,催化材料等方面的研究。
已在物理、材料等领域顶级期刊发表论文355篇,包括20篇Physical Review Letters (PRL),14篇Nature Communications,多篇Proceedings of the National Academy of Sciences of the United States of America (PNAS),Advanced Materials, J. Am. Chem. Soc., Angew. Chem. Int. Ed., Environ. Energy Science, joule论文等,为该领域的知名学者。
张鼎教授简介:武汉工程大学化工与制药学院特聘教授,研究兴趣为二次电池关键材料的合成化学和电化学。承担国家自然科学基金青年项目、面上项目、山西省自然科学基金等项目,作为骨干成员参与国家自然科学基金重大项目、山西省科技重大专项等项目。
发表论文60余篇,代表性工作发表在Adv. Energy Mater.,J. Energy Chem.,J. Power Sources等期刊上,申请和获得授权国家发明专利10余项。目前为学术期刊Small, Chemical Engineering Journal, ACS Applied materials & Interfaces等的审稿人。
第 一 作 者 简 介
张育涵博士简介:中国科学院大学未来技术学院/中国科学院青岛生物能源与过程研究所在读博士生,师从崔光磊研究员,主要从事高能锂电池正极材料设计及全固态锂电池界面优化的研究。2021年于太原理工大学获应用化学学士学位。
国际电化学会会员,中国化学会会员,中国化工学会会员,太原理工大学2020年“校长奖学金”获得者。目前已在国际期刊Adv. Energy Mater.、J. Colloid Interf. Sci.上发表SCI论文2篇,申请国家发明专利2项,参加第72届国际电化学年会并作口头报告1次。
课 题 组 介 绍
固态能源系统技术中心组建于2009年2月,隶属于中国科学院青岛生物能源与过程研究所先进储能技术研究室。中心现有国家杰青1人,WRJH1人,国家优青1人,泰山学者3人,山东省杰青2人,中科院促进会会员6人;现有研究员4人,正高级工程师3人,副研究员11人,高级工程师2人,研究背景涵盖材料、电化学、高分子化学、化学、计算化学、物理、机械电子等学科,构建了一支前瞻研究和工程技术研发并重的多学科交叉融合团队。
近年来,团队在高比能固态锂电池、锂离子电容器、下一代低成本储能器件(钠离子电池、镁离子电池等)以及钙钛矿太阳能电池核心器件和关键材料等方面取得具有自主知识产权的成果。
添加官方微信 进群交流
SCI二氧化碳互助群
SCI催化材料交流群
SCI钠离子电池交流群
SCI离子交换膜经验交流群
SCI燃料电池交流群
SCI超级电容器交流群
SCI水系锌电池交流群
SCI水电解互助群
SCI气体扩散层经验交流群
备注【姓名-机构-研究方向】
投稿请联系contact@scimaterials.cn
点分享
点赞支持
点在看

