研 究 背 景
光充电超级电容器是一种理想的能量存储装置,但是由于超级电容器的能量密度较低,所以电荷从太阳能电池到超级电容器转移过程中存在电荷损失。
文 章 简 介
增加电极的氧化还原活性位点可以有效的提高电极的比容量。利用赝电容高电导率的Ti3C2Tx和高理论比容量的C=O活性通过共价键连接,制备有机无机杂化电极材料。密度泛函理论(DFT)表明,有机分子的共价交联改变了Ti3C2Tx的电荷密度分布,增强了电极材料对离子的吸收和存储能力,提高了超级电容器的能量密度。
基于DFT计算结果,将对苯二异氰酸酯与蒽醌分子共价交联制备两种不同的电极材料,通过调控有机蒽醌分子的官能团,制备出具有不同比容量和倍率性能的电极材料。将这种杂化电极与活性炭及高性能凝胶电解质组装成为高能量密度和高功率密度的不对称超级电容器。这种高能量密度的超级电容器与钙钛矿太阳能电池耦合,制备具有快速储能的光充电超级电容器。
本 文 要 点
要点一:有机无机杂化结构提高电极的性能
基于DFT计算结可知,形成的无机-有机杂化材料协同增加了电极活性中心的电荷密度,增强电解液的可接临近性,并为高能量密度超级电容器的电极设计提供了合理的理论指导。将Ti3C2Tx分别与1-羟基蒽醌(HA)或1-氨基蒽醌-4-溴-2-磺酸钠(ABS)共价键交联,制备两种有机无机杂化电极材料(Ti3C2Tx-HA或Ti3C2Tx-ABS)。
Figure 1. DFT simulation predicts the relationship between the structure and electrochemical performance of Ti3C2Tx-HA (left) and Ti3C2Tx-ABS (right).
Figure 2. (a) Schematic diagram of the preparation of Ti3C2Tx, (b) Schematic diagram of the preparation of Ti3C2Tx-HA and Ti3C2Tx-ABS electrodes.
Figure 3. (a) FTIR spectra of Ti3C2Tx, PD, HA, and Ti3C2Tx-HA. High-resolution (b) C 1s and (c) O 1s XPS spectra of Ti3C2Tx, HA, and Ti3C2Tx-HA. (d) FTIR spectra of Ti3C2Tx, PD, ABS, andTi3C2Tx -ABS. High-resolution (e) C 1s and (f) O 1s XPS spectra of Ti3C2Tx, HA, and Ti3C2Tx-ABS.
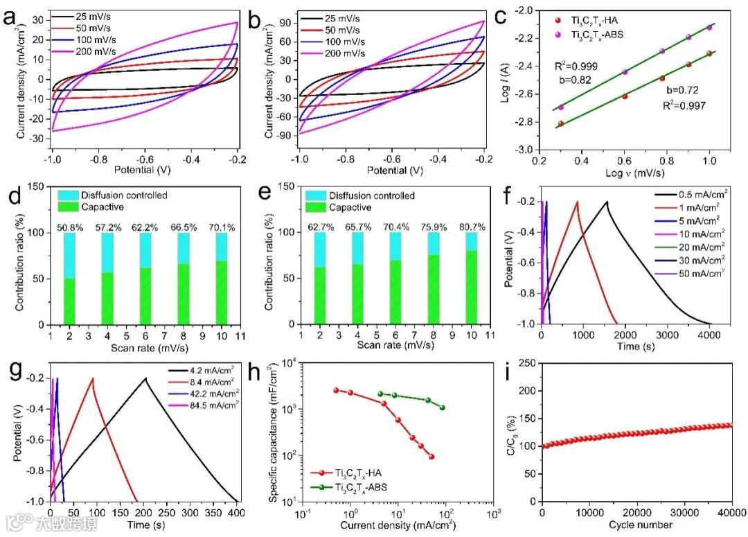
要点二:杂化电极的电化学性能
Ti3C2Tx HA在0.5 mA/cm2的电流密度下具有2532.50 mF/cm2的比容量,Ti3C2Tx-ABS呈现出很好的倍率性能,在4.2 mA/cm2的电流密度下具有2125.59 mF/cm2的比容量,并且在40,000次循环充放电后仍具有137% 的电容保持率。为揭示Ti3C2Tx HA在充放电过程中的电化学反应机理,利用非原位红外光谱(FTIR)和非原位拉曼光谱表征电极充放电过程的C=O变化。测试结果表明,Ti3C2Tx HA在充电和放电过程中C=O的可逆变化。
Figure 4. CV curves of (a) Ti3C2Tx-HA and (b) Ti3C2Tx-ABS. (c) The plot of the logarithm of current, i, versus scan rate, v. Capacitance contribution of (d) Ti3C2Tx-HA and (e) Ti3C2Tx-ABS. GCD curves of (f) Ti3C2Tx-HA and (g) Ti3C2Tx-ABS. (h) Area-specific capacity of Ti3C2Tx-HA and Ti3C2Tx-ABS. (g) Cyclic charge and discharge of Ti3C2Tx-ABS.
Figure 5. (a) Ex-situ FTIR spectra of Ti3C2Tx-HA at different potentials, (b) electronic changes of HA during charge and discharge.
要点三:杂化电极用于超级电容器
将Ti3C2Tx-HA 或Ti3C2Tx-ABS分别与MnO2或活性炭组装成为不对称超级电容器,通过测试发现活性炭电极与Ti3C2Tx-HA 或Ti3C2Tx-ABS具有较高的电荷匹配性能。所制备的不对称超级电容器呈现出较高的比容量,能量密度和功率密度。
Figure 6. Electrochemical performance of all-solid-state supercapacitors. (a) Schematic diagram of the fabrication of all-solid-state supercapacitors. (b) Ti3C2Tx-HA//AC and (c) Ti3C2Tx-ABS//AC curves, (d) GCD curves of Ti3C2Tx-ABS//AC. (e) Areal specific capacity of Ti3C2Tx-HA//AC, Ti3C2Tx-ABS//AC, Ti3C2Tx-HA//C-MnO2 and Ti3C2Tx-ABS//C-MnO2 as a function of current density. (f) Areal energy density vs power density of supercapacitors.
要点四:光充电超级电容器的制备
将超级电容器与FAxCs1-xPbI3太阳能电池耦合,制备的光充电超级电容器实现电荷的快速存储。
Figure 7. Performance of the photo-rechargeable supercapacitors. (a) Schematic diagram of the structure of the photo-rechargeable supercapacitors, (b) GCD curves of the photo-rechargeable supercapacitors under different light intensities, (c) applications of light-charging supercapacitors.
文 章 链 接
High-Energy-Density Supercapacitors Based on High-Areal-Specific-Capacity Ti3C2Tx and a Redox-Active Organic-Molecule Hybrid Electrode
https://doi.org/10.1002/adfm.202208403
添加官方微信 进群交流
SCI二氧化碳互助群
SCI催化材料交流群
SCI钠离子电池交流群
SCI离子交换膜经验交流群
SCI燃料电池交流群
SCI超级电容器交流群
SCI水系锌电池交流群
SCI水电解互助群
SCI气体扩散层经验交流群
备注【姓名-机构-研究方向】
投稿请联系contact@scimaterials.cn
点分享
点赞支持
点在看

