文 章 信 息
单原子位点的配体场调制改变Fe-N-C的自旋态促进氧还原反应
第一作者:薛冬萍
通讯作者:张佳楠
单位:郑州大学
研 究 背 景
具有原子级M-Nx/C活性部分的单原子过渡金属氮碳(SA M-N-C,M=Fe,Co,Mn等)催化剂,特别是SA Fe-N-C催化剂,表现出与商业Pt/C催化剂相当的优异的氧还原活性,已成为用于氧还原反应(ORR)的昂贵铂(Pt)基催化剂的最有前途的替代品。通常,Fe与周围杂原子的配位构型被认为是决定催化反应中间体吸附能和催化活性的关键因素。
因此,基于充分理解的机制,可控地优化所识别的活性位点的催化活性是可取的,但具有挑战性。这需要具有明确定义的活性位点结构的SA Fe-N-C催化剂,以揭示配位构型和ORR活性之间的关系,为进一步精确设计高效单原子催化剂奠定坚实基础。
文 章 简 介
鉴于此,来自郑州大学的张佳楠教授团队在国际顶级期刊《Nano Energy》发表题为 “Altering the spin state of Fe-N-C through ligand field modulation of single-atom sites boosts the oxygen reduction reaction” 的观点文章。
该观点文章基于配体场理论,通过转换富含缺陷的吡咯N配位FeNx位点,实现了SA Fe-N-C中Fe活性中心的电子自旋态调制。利用Fe(III)高自旋态(S5/2)活性的优势,设计的Fe-N4-HS催化剂显示出优异的ORR活性,与商业Pt/C催化剂相当。此外,Fe-N4-HS表现出比大多数非贵金属电催化剂更高的质子交换膜燃料电池(PEMFC)和锌-空电池性能。我们的发现为ORR过程中电子自旋态/几何结构与高效SA Fe-N-C催化剂之间的相关性提供了基础和技术见解。
示意图1. 自旋态转变与ORR活性关系
本 文 要 点
要点一:
基于配体场理论,通过转换富含缺陷的吡咯N配位FeNx位点,实现了SA Fe-N-C中Fe活性中心的电子自旋态调制,从低自旋态(LS)的FeN5(Fe-N5-LS)的到高自旋态(HS)的FeN4(Fe-N4-HS)和FeN3(Fe-N3-HS)。
图1. SA Fe-N-C的结构表征
要点二:
具有高自旋Fe(III)(t2g3eg2)的Fe-N4配位构型催化剂比FeN5和FeN3构型催化剂中的3d轨道电子更有可能穿透氧的反键π-轨道,表现出最佳d带中心能级(Ed)和对氧物种(O2、*OOH、*O和*OH)的吸附能力,这有利于获得高ORR活性。
图2. SA Fe-N-C的电子结构表征
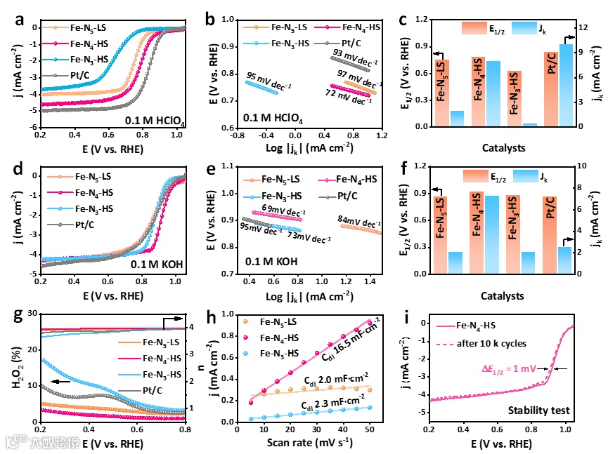
要点三:
利用Fe(III)的高自旋态(S5/2)提高活性的优势,设计的Fe-N4-HS催化剂显示出优异的ORR活性,与商业Pt/C催化剂相当。
图3. SA Fe-N-C的ORR性能
要点四:
Fe-N4-HS表现出比大多数非贵金属电催化剂更高的质子交换膜燃料电池(峰值功率密度为500 mW cm-2)和锌空气电池(峰值能量密度为322 mW mg-1)性能。
图4. Fe-N4-HS的电池性能评估
要点五:
这些相互印证的结果为SA Fe-N-C催化剂中FeNx活性中心的精确结构以及在电子水平上研究自旋交叉参与的ORR机制提供了实验和理论证据。
文 章 链 接
Altering the spin state of Fe-N-C through ligand field modulation of single-atom sites boosts the oxygen reduction reaction
DOI:10.1016/j.nanoen.2022.108020.
通 讯 作 者 简 介
张佳楠教授简介:郑州大学材料科学与工程学院教授,博导,教育部青年长江学者,英国皇家化学会会士,中国化学会女委会委员,中国化学会青委会委员。目前主要从事燃料电池和金属空气电池等能源转换与存储装置中的电催化剂的设计、构筑、应用以及相关电催化过程研究。
迄今为止,以第一作者/通讯作者在Nat. Commun.、Adv. Mater.、Energy Envrion. Sci.、Adv. Energy Mater.、ACS Nano、Adv. Funct. Mater.、Adv. Sci.、ACS Catal.、Energy Storage Mater.、Nano Energy、Adv. Sci. 等期刊上发表论文70余篇;2021年获河南省自然科学奖二等奖(排名第1);2020年获河南省教育厅科技成果奖一等奖(排名第1);并担任高等学校化学学报(Chem. J. Chinese. U.)青年编委/客座编辑、中国化学快报(Chin. Chem. Lett.)青年编委、InfoMat青年编委/客座编辑。
添加官方微信 进群交流
SCI二氧化碳互助群
SCI催化材料交流群
SCI钠离子电池交流群
SCI离子交换膜经验交流群
SCI燃料电池交流群
SCI超级电容器交流群
SCI水系锌电池交流群
SCI水电解互助群
SCI气体扩散层经验交流群
备注【姓名-机构-研究方向】
投稿请联系contact@scimaterials.cn
点分享
点赞支持
点在看

