文 章 信 息
“无序胜有序”金属玻璃燃料电池阳极催化剂
第一作者:高飞跃、刘思楠、葛嘉城、张晓隆、朱力
通讯作者:高敏锐*,兰司*
单位:中国科学技术大学,南京理工大学
研 究 背 景
氢氧燃料电池由于比能量高和绿色无污染等优点,将在未来能源结构中扮演重要角色。质子交换膜燃料电池对铂族催化剂的依赖导致系统成本过高。相比之下,碱性膜燃料电池的碱性环境使得使用非贵金属电催化剂成为可能,并可以降低电池隔膜、双极板和其他组件的成本,有望获得市场优势。
然而,在碱性膜燃料电池阳极氢气氧化反应(HOR)端,催化剂的反应动力学速率比酸性条件下降低约两个数量级;同时,目前的镍基催化剂稳定性窗口都小于0.3 V,面临氧化失活的难题。因此,设计并创制高活性、高耐氧化性的新型阳极催化剂是碱性膜燃料电池实用化需要解决的挑战。
文 章 简 介
基于此,中国科学技术大学高敏锐教授团队与南京理工大学兰司教授团队合作设计开发了一种用于碱性膜燃料电池阳极氢氧化反应的三元镍-钼-铌金属玻璃结构催化剂,将镍基催化剂的耐氧化电位大幅提升,推进至与铂类似的0.8 V水平,并且达到了比肩铂金的催化活性。相关成果以“Nickel–molybdenum–niobium metallic glass for efficient hydrogen oxidation in hydroxide exchange membrane fuel cells”为题于2022年10月27日在国际著名学术期刊《自然·催化》(Nature Catalysis)上在线发表。
本 文 要 点
要点一:非晶金属玻璃结构实现HOR高耐氧化窗口
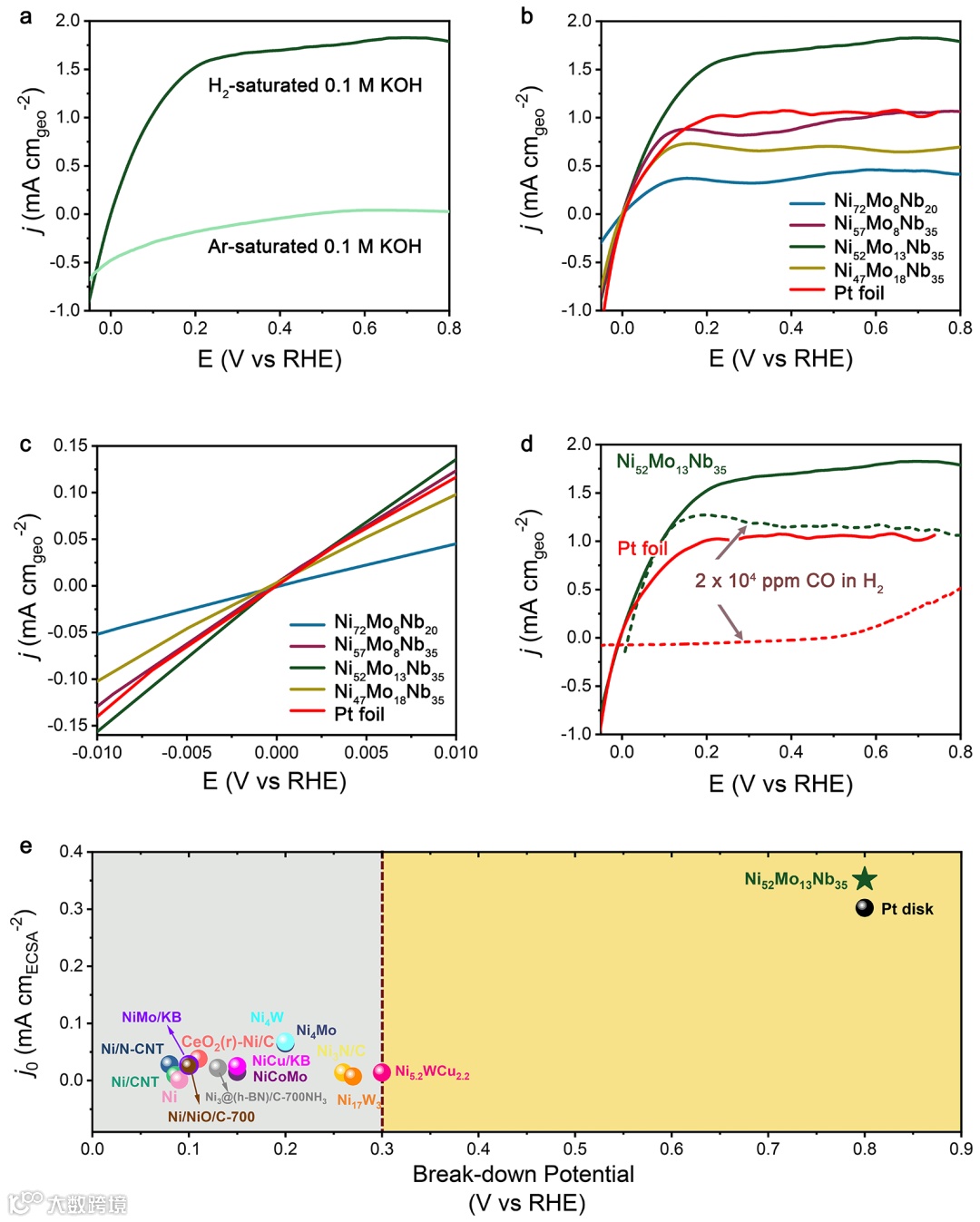
中国科学技术大学高敏锐教授团队与南京理工大学兰司教授团队合作,设计并创制了一种用于碱性膜燃料电池阳极氢氧化反应的三元镍-钼-铌金属玻璃结构催化剂,将镍基催化剂的耐氧化电位大幅提升至与铂类似的0.8 VRHE水平,并实现了比肩铂的催化活性。研究人员利用熔融纺丝法的快速冷却过程,有效抑制了金属结晶化过程,成功制备了一系列非晶金属玻璃结构催化剂(图1)。
对不同样品进行电化学分析发现,Ni52Mo13Nb35金属玻璃催化剂能够达到0.8 VRHE的超高耐氧化电位,是目前非贵金属催化剂的最高值;同时,该催化剂表现出与Pt比肩的催化活性。另一方面,这种新型金属玻璃结构具有很好的抗CO毒化特性。实验结果表明,即使在氢气燃料中添加2%的CO气体,Ni52Mo13Nb35催化剂仍能表现出很高的HOR催化活性,而 Pt催化剂则完全失活(图2)。
图1. NiMoNb金属玻璃条带的制备及表征。
图2. 不同组分的NiMoNb金属玻璃条带的电化学活性分析与对比。
要点二:非晶金属玻璃催化剂独特的原子结构与中间体吸附能
高能同步辐射测试结果表明,原子尺度的团簇连通模式为非晶态结构的稳定性和高活性提供了重要保障。短程序团簇间占比更大的点连接及线连接模式使得Ni52Mo13Nb35金属玻璃在原子尺度上具有更丰富的反应位点,分子动力学模拟与第一性原理计算结果也表明Ni52Mo13Nb35金属玻璃具有更优化的中间体吸附能(图3)。以上分析结果从理论上给出了Ni52Mo13Nb35金属玻璃优异HOR催化活性的来源。
图3. 不同组分的NiMoNb金属玻璃条带的团簇连通性对比及其对电化学活性的影响。
要点三:原位谱学技术探究金属玻璃催化剂的耐氧化性能
电化学稳定性测试结果表明,在室温条件下,Ni52Mo13Nb35金属玻璃催化剂在0.8 VRHE的电位下连续运行18小时,其电流衰减几乎忽略不计。同时,在较高的工作温度(45 ℃)下,催化剂也表现出优异的稳定性。元素分析结果表明,Ni52Mo13Nb35催化剂在超过17小时的反应后,没有明显的活性元素(Ni与Nb)析出迹象,而Mo元素仅有少量析出(< 5%)。
相比之下,结晶型的Ni52Mo13Nb35合金在稳定性测试5小时后就表现出Mo元素的严重损失(约11%)。原位拉曼光谱分析结果也表明,相比于结晶型催化剂,金属玻璃结构表面不容易生成氧化物种(图4)。研究人员推测,在金属玻璃的合成过程中,快速冷却使得金属玻璃具有很好的化学均一性,并且内部缺少容易引起局部腐蚀的晶体缺陷,这两个原因协同作用,实现了Ni52Mo13Nb35金属玻璃催化剂在高氧化电位下的优异稳定性。
图4. Ni52Mo13Nb35金属玻璃的稳定性评估与谱学机理研究。
要点四:实际燃料电池中的性能测试
更进一步,研究人员通过机械球磨法将Ni52Mo13Nb35金属玻璃条带研磨成粉末,从而测试该新型催化剂在膜电极组装中的性能。研究发现,优化后的氢氧燃料电池在0.65 V电压下可获得338 mA cm-2的电流密度和390 mW cm-2的峰值功率密度。在氢-空燃料电池中,该催化剂也表现突出:在0.65 V时能够提供201 mA cm-2的电流密度和253 mW cm-2的最大功率密度,为当前非贵金属碱性膜燃料电池最高性能的代表。
该论文的通讯作者是高敏锐和兰司教授;第一作者是高飞跃、刘思楠、葛嘉城、张晓隆、朱力。该工作的合作者还包括中科大俞书宏院士和美国特拉华大学严玉山院士。同时,武汉大学陈胜利教授对本工作给予了很多有益的讨论。相关研究受到国家自然科学基金委、国家重点研发计划、安徽省重点研究与开发计划等项目的资助。
文 章 链 接
https://www.nature.com/articles/s41929-022-00862-8
作 者 简 介
高敏锐,中国科学技术大学教授,国家杰出青年基金获得者。2012年在中国科学技术大学获博士学位,师从俞书宏院士。2012年至2016年先后在美国特拉华大学、阿贡国家实验室和德国马普协会胶体与界面研究所从事博士后研究。入选国家高层次人才计划青年项目(终期考核优秀)和爱思唯尔(Elsevier)中国高被引学者榜单(化学)。
研究方向是基于无机纳米材料结构的可控合成及优化,实现可持续电能在洁净氢以及高附加值燃料分子中的高效、廉价存储及转换。近五年已发表30余篇通讯作者论文,包含Nat. Catal.(1)、Nat. Commun.(7)、Angew. Chem.(8)、JACS(5)、EES(3)和Adv. Mater.(2)等。曾获中国科大海外校友基金会青年教师事业奖(2021)、Energy & Fuels Rising Star(2021)、中国新锐科技人物(2020)、RSC JMCA emerging investigator(2020)、香港求是基金会“杰出青年学者奖”(2018)、中科院优秀博士论文(2014)、中科院院长特别奖(2012)等奖励。现担任中国青年科技工作者协会理事(2020)。
兰司,南京理工大学材料科学与工程学院/格莱特研究院教授、博士生导师、副院长、国家优青、国家重点研发计划青年科学家、江苏省杰青。担任中国金属学会非晶合金分会委员,江苏省材料学会、物理学会委员,MRS、TMS和香港物理协会会员,中国散裂中子源科技委和用户委员会委员,日本中子源J-PARC函评专家,国际科学组织VEBLEO会士,MRL、稀有金属(中、英文)、金属学报等国际期刊青年编委。获2021年中国十大新锐科技人物、2021年江苏省高等学校科学技术研究成果三等奖。
兰司教授长期致力于非晶态合金的结构与相变机制相关领域的研究工作,在Nature Materials、Nature Catalysis、Nature Communications、Acta Materialia、Physical Review Letters、Nano Letters等国际权威杂志发表论文。近期以实验手段观测并破译了可以桥接非晶态与晶态物质的中程有序结构基元,为解决非晶态结构本质这一难题做出贡献,相关工作多次获得国家基金委首页要闻报道。
添加官方微信 进群交流
SCI二氧化碳互助群
SCI催化材料交流群
SCI钠离子电池交流群
SCI离子交换膜经验交流群
SCI燃料电池交流群
SCI超级电容器交流群
SCI水系锌电池交流群
SCI水电解互助群
SCI气体扩散层经验交流群
备注【姓名-机构-研究方向】
投稿请联系contact@scimaterials.cn
点分享
点赞支持
点在看

