文 章 信 息
一种集成无金属修饰策略用于构建稳定的本体异质结太阳能产氢光阴极
第一作者:师文文
通讯作者:于为*,施晶莹*,李灿*
单位:中国科学院大连化学物理研究所
研 究 背 景
有机本体异质结(Bulk Heterojunction,简写为BHJ)材料一般由供体(D)和受体(A)两种有机半导体材料组成,具有低成本、可溶液制备、高消光系数、高光生电压等优点,是当前一类非常有吸引力的光电极材料。通过选择合适的BHJ材料,并匹配优化的界面层及产氢助催化剂等,目前基于BHJ的光阴极最大能够取得超过4%的太阳能转化效率(Adv. Funct. Mater. 2020, 2003399),且其与BiVO4光阳极耦合构建的双光电极体系,获当前无偏压分解水的最高光氢转化效率4.3%(J. Am. Chem. Soc. 2021, 143, 32, 12499-12508.)。
然而,和绝大多数有机光伏材料一样,有机体相异质结材料在光电催化反应环境下其稳定性极差,尤其是是在高电流密度(>10 mA/cm2)下,其可持续反应时间通常不超过半小时,甚至仅能持续数分钟。因而如何提高光电催化产氢稳定性成为当前BHJ基光阴极亟需解决的问题。
本工作深入研究了制约BHJ基光阴极光电催化产氢稳定性的主要因素,针对性地提出了一种“内外兼修”的集成策略,获得BHJ基光阴极体系高效运行的最长时限(在13.5mA/cm2高电密下稳定运行长达15小时),为构建稳定的BHJ基光阴极提供了有效的应对策略。
文 章 简 介
基于此,来自中国科学院大连化学物理研究所的李灿院士团队,在Advanced Functional Materials上发表题为“An Integrated Metal-Free Modification Method to Construct Efficient and Durable Bulk Heterojunction Photocathode for Solar Hydrogen Production”的文章,该文章分析了制约基于有机本体异质结(BHJ)结构的光阴极光电催化产氢稳定性的主要因素,针对性地提出了一种“内外兼修”的集成策略,获得BHJ基光阴极体系高效运行的最长时限(在13.5mA/cm2高电密下稳定运行长达15小时,图1)。
图1. “内外兼修”的集成策略获得稳定BHJ基光阴极体系。
本 文 要 点
要点一:制约BHJ基光阴极光电催化产氢稳定性的主要因素
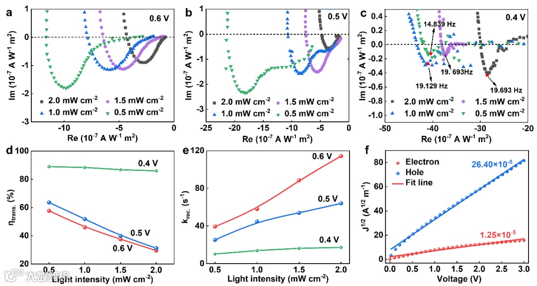
图2. (a-c)二元有机本体异质结光阴极不同光照强度及不同电位下的强度调制光电流谱,(d-e)计算得到的电荷转移效率、电荷复合速率,(f)光阴极空穴及电子迁移率比较。
采集了PBDB-T:ITIC基光阴极(D-A二元结构,简记为b-BHJ)在不同偏压、不同光照强度下的强度调制光电流谱(IMPS,图2a-c),进行了载流子动力学的分析。结果表明,在偏压正移(或光强增加)的条件下,b-BHJ基光阴极的光生电荷转移效率降低,而光生电荷复合速率则提高(图2d-e)。结合稳定性测试结果,说明有机本体异质结内部电荷积累引起的电荷复合,是影响其本征稳定性的重要因素。而造成内部电荷积累的直接原因是BHJ中的电子迁移率过低的缘故(电子迁移率比空穴迁移率低一个数量级,见图2f)。
要点二:增加电子迁移率提高光阴极BHJ的本征稳定性
图 3. 引入高电子迁移率的PC71BM提高光阴极内部稳定性。
图 4. 二元及三元有机本体异质结光阴极内部电荷转移及电荷积累分析。
在二元体系中引入高电子迁移率的受体材料PC71BM形成三元体系(D-A-A,记为t-BHJ)可显著提高光阴极的电子迁移率(图3),提高电子迁移率与空穴迁移率之间的平衡性,以减少BHJ内部电荷积累(图4),从而有效提高了光阴极BHJ的本征稳定性。
要点三:表面碳片修饰提高光阴极抵抗溶液腐蚀的性能
图 5. 碳片修饰光阴极提高外部稳定性。
水溶液电解质渗透腐蚀是影响BHJ基光阴极光电催化稳定性的另外一个重要原因。一般通常使用致密的半导体材料如氧化钛层隔绝水溶液侵蚀,但是氧化钛的高电阻往往导致光电流的下降。在本工作中,我们报道使用商品化的碳片(具有高导电、惰性、可加工的优点)作为表面修饰层,一方面隔绝电解液,另一方面其粗糙的表面可为析氢催化剂提供丰富的结合位点。碳保护后的BHJ基光阴极在13.5mA/cm2的电流密度下稳定运行15h,且产氢法拉第效率100%,是目前文献报道此类光阴极的最佳性能(图5)。
要点四:展望
通过在BHJ内部增加一个受体材料(提高本征稳定性)和外部碳层覆盖(物理隔绝电解质溶液),我们提出了一种“内外兼修”且无需金属参与的BHJ基光阴极的稳定策略,为稳定BHJ基光阴极的构建提供了一个有效且简单、廉价、易于操作的方法,且具有一定的普适意义。未来还应继续深入认识BHJ的光失活机制,进一步提高其抵抗光电催化反应过程腐蚀的本征性能,以期获得具有实用价值的高效光电极体系。
文 章 链 接
An Integrated Metal-Free Modification Method to Construct Efficient and Durable Bulk Heterojunction Photocathode for Solar Hydrogen Production
https://onlinelibrary.wiley.com/doi/full/10.1002/adfm.202209211
通 讯 作 者 简 介
李 灿 研究员/院士
2003年当选中国科学院院士,2005年当选第三世界科学院院士,2008年当选欧洲人文和自然科学院外籍院士。曾任催化基础国家重点实验室主任(1998-2014)、中国物理学会光散射委员会主任(2005-2009)、中国化学会催化委员会主任(2005-2012)、中国分子光谱学会主任(2008-2012)、国际催化学会理事会主席(2008-2012),亚太催化学会主席(2013-2017),及第16届国际催化大会(ICC16)主席。
主要从事催化材料、催化反应和催化光谱表征方面的研究,研制了具有自主知识产权的国内第一台用于催化材料研究的紫外共振拉曼光谱仪并开始商品化生产;在国际上最早利用紫外拉曼光谱解决分子筛骨架杂原子配位结构等催化领域的重大问题;最近发展短波长手性拉曼光谱和光电超快及成像光谱技术,发展了纳米笼中的手性催化合成、汽油和柴油超深度脱硫技术等并已工业化;近20年来主要致力于太阳能转化和利用科学研究,包括太阳能光(电)催化分解水制氢、二氧化碳还原等人工光合成研究和新型太阳电池探索研究等。
先后在国际上提出了异相结、双功能助催化剂和晶面间促进光生电荷分离的新概念,在光电催化领域,提出了助催化剂、空穴储存层、界面态能级调控等重要策略,为高效太阳能转化体系构筑提供了科学基础。最近,领导的团队完成全球首套直接太阳能液态阳光甲醇合成千吨级示范工程。
先后获得香港求是科技基金杰出青年学者奖(1997年),中国青年科学家奖(1998年),国家科技发明二等奖(1999年),国际催化奖(2004年),中国科学院杰出科技成就奖(2005年),何梁何利科学技术进步奖(2005年),国家自然科学二等奖(2011年),中国催化成就奖(2014),辽宁省自然科学一等奖(2015年),全国十大科技人才奖(2016年),日本光化学奖(2017年),中国光谱成就奖(2018年),亚太催化成就奖(2019年)以及国际清洁能源“创新使命领军者”奖(2020年)等。
施晶莹 研究员
2006年博士毕业于浙江大学,2006-2008年在中科院大连化物所从事博士后研究工作(合作导师为李灿院士),2016年至今为大连化物所研究员,太阳能部DNL1603组群组长。施晶莹研究员的主要研究方向为光电催化分解水、光电催化原位储能、光助燃料电池、光电催化合成过氧化氢及相关电催化反应研究,已在国际知名期刊Nat. Comm., Angew. Chem., Energy Environ. Sci., ACS Energy letters, Adv.Funct. Mater., Nano Energy等杂志上发表学术论文70余篇,出版英文学术专著1章,申请和授权中国专利十多项。主持和完成多项国家级、部级科研基金项目。
于为 副研究员
2015年博士毕业于中国科学院大连化学物理研究所,导师李灿院士,随后留所任职助理研究员,2018年至2020年以香江学者身份于香港理工大学进修(合作导师:李刚),2019年至今任大连化物所副研究员。于为副研究员的主要研究方向为有机太阳能电池和钙钛矿太阳能电池的界面工程研究、光伏-光电化学转化等,已在国际知名期刊Adv. Mater.,Adv. Funct. Mater.,Adv. Energy Mater., Chem. Mater., Nano Energy等杂志上发表40余篇文章。
第 一 作 者 简 介
师文文:博士生,本文第一作者。2015年本科毕业于太原理工大学,2021年博士毕业于中国科学院大连化学物理研究所,导师李灿院士/施晶莹研究员,从事光电化学分解水研究。现任中国科学院山西煤炭化学研究所助理研究员,主要研究方向为电催化、氢氧燃料电池。
课 题 组 介 绍
李灿院士课题组致力于从原子、分子以及纳米尺度去理解催化作用的本质,揭示催化剂结构与催化性能之间的本质联系,进而应用到能源、精细化工以及环境科学等领域,解决人类发展的重大问题。目前课题组主要开展太阳能转化与存储,人工光合成相关的光催化、光电催化、电催化、热催化,以及原位光谱与相关理论计算研究。
课题组主页:http://canli.dicp.ac.cn/
添加官方微信 进群交流
SCI二氧化碳互助群
SCI催化材料交流群
SCI钠离子电池交流群
SCI离子交换膜经验交流群
SCI燃料电池交流群
SCI超级电容器交流群
SCI水系锌电池交流群
SCI水电解互助群
SCI气体扩散层经验交流群
备注【姓名-机构-研究方向】
投稿请联系contact@scimaterials.cn
点分享
点赞支持
点在看

