
瑞典皇家科学院 5 日宣布,将 2022 年诺贝尔化学奖授予美国科学家卡罗琳·贝尔托齐 (Carolyn Bertozzi)、卡尔·巴里·沙普利斯 (Barry Sharpless) 和丹麦科学家莫滕·梅尔达尔 (Morten Meldal),以表彰他们在发展点击化学和生物正交化学方面的贡献。瑞典皇家科学院在当日发表的新闻公报中说,Barry Sharpless 和 Morten Meldal 的研究成果为点击化学奠定了基础;Carolyn Bertozzi 则将点击化学带到一个全新维度,将其应用在生物体中,她开发的生物正交反应实现了多种应用,包括帮助开发更有靶向性的癌症疗法等。

为了更好地介绍生物正交反应,我们编译了一篇于 2022 年 5 月刊载在 Chemistry World(Chemistry World 是由英国皇家化学会出版的杂志,主要发布化学相关最新的新闻、观点、评论和科研进展)上的专栏文章,深入浅出地介绍了这三位获奖者(特别是 Carolyn Bertozzi 教授)和其他一些学者们(包括北京大学陈鹏教授)在生物正交化学方面的突破性工作。耐心读,只要有一定的有机化学基础,相信你一定能看明白哦。
科技资讯
原文作者:JAMES MITCHELL CROW | 30 MAY 2022
SOURCE: © MELVIN GALAPON @ DÉBUT ART
“我发过的其它论文从来没有像这一篇这样”,当时是 Bertozzi 在加州大学伯克利分校的课题组的研究生的 Jennifer Prescher 说到。“我们拿到的审稿意见就是‘立即发发表’”,她这样描述到,“这个概念随后推动了该领域的大量工作。”
University of California, Irvine
加州大学尔湾分校
什么是“生物正交化学”
以下图为例更进一步说明如下:
-
IMAGE SOURCE: Carolyn R. Bertozzi et al., Copper-free click chemistry in living animals, PNAS, 2010, 5, 1821-1826 甘露糖胺 (mannosamine) 是细胞表面的一种糖分子。在对其上的全部羟基进行乙酰化修饰并标记上叠氮 (N₃) 基团后得到的 N-azidoacetylmannosamine (Ac₄ManNAz) 会在生物体内被转化为叠氮乙酰基唾液酸 (azide-tagged sialic acid, SiaNAz)。然后再注射入带有 FLAG(一种标记肽)的环辛炔分子;由于这个分子中的炔基(C≡C 键)能和叠氮 (N₃) 基团发生“点击”(click) 反应,因此,当这个 FLAG 标记的分子游走到 SiaNAz 分子附近时,Duang,它们会就会结合在一起了。于是这个 FLAG 标记也就被添加到了 SiaNAz 分子上,这样就能知道 SiaNAz 分子在各个组织和器官中的分布情况等信息了。 所谓“正交”其实是有互不干涉的意思。之所以叫生物正交化学,就是指这两个分子上进行的化学修饰都不影响其各自在生物体内的代谢,也不和其它分子结合,所以分别注射了这两种分子后,它们也只会和对方反应结合。当然还有一些别的要求,比如反应的速度要足够快,这样才能让标记物(如此例中带 FLAG 标记的环辛炔分子)在想要发生“生物正交”的分子被代谢前就能找到它并与之“紧密结合”。 以上文字(蓝色)改编自:https://www.zhihu.com/question/35989109/answer/65381310

-
环辛炔分子中的 C≡C 三键存在着较大的张力,很容易与叠氮基发生反应,从而得以实现探针基团与目标分子的偶联
Can I click it / 能点击化学吗?
北京大学
Bertozzi 的课题组于 2015 年迁至斯坦福大学;他们长期以来一直研究着细胞表面糖分子以及与感染、炎症和癌症相关的糖基化反应的模式。生物正交化学反应涉及到两种不同的小分子;在细胞环境中,这两种小分子只会相互之间发生特异性的化学反应并形成新的共价键。生物正交反应是一种解决问题的方法。这两种分子中的一个可以与感兴趣的糖分子连接(即该糖分子被标记),而另一种则可与某种化学报道分子 (report molecular, 具有类似指示剂作用的分子,例如荧光标记) 相连。当这两种分子相互结合后,就可以在其原生的环境中对被标记的糖分子进行研究。
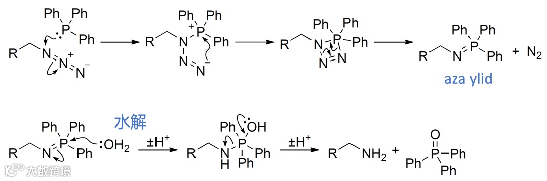
这种连接反应的早期尝试通常涉及羰基,但细胞中天然存在的带有羰基的代谢物会对这样的交叉反应构成了限制。Bertozzi 等在 2000 年发表的一篇工作可以说是开创了生物正交这一研究领域;她和同事们对古老的施陶丁格反应(Staudinger reaction,三芳基膦和有机叠氮化物之间发生的一种化学反应;哺乳动物细胞中的化合物都不存在这两个官能团)进行了改造。经典的施陶丁格会产生不稳定的氮杂叶立德 (aza-ylide),其很容易就会发生水解。在这一新版本的施陶丁格反应中,Bertozzi 将甲基酯引入到三芳基膦分子中,这样就可以通过分子内环化反应对 aza-ylide 进行捕获。由此生成的酰胺键使两种起始原料稳定地连接在一起,从而实现了对细胞表面糖分子的选择性标记。
IMAGE SOURCE: Wikipedia
经典的 Staudinger 反应生成 aza ylide,但其易被水解
IMAGE SOURCE: Eliana Saxon and Carolyn R. Bertozzi, Science, 2000, DOI: 10.1126/science.287.5460.2007
Bertozzi 等报道的有机膦分子和叠氮化物在细胞表面的 Staudinger 反应
Yes, you can / 能的!
“我几乎是在上面的 Staudinger 论文发表后就加入了 Bertozzi 的课题组”,Prescher 说,“我原以为自己在博士生阶段会研究天然产物的全合成——然后在一次研究生的招生活动中,我遇到了这位年轻的实力派教授,她有着我认为超酷的想法。”
Prescher 的博士研究课题旨在利用这种新的化学方法探索非天然糖类作为癌症疫苗的潜力。“事实证明,仅是关于这些非天然糖的代谢及其在细胞表面的行为,就有很多东西需要研究”,她说到,“我们开始思考是否能在活体动物中实现对各种糖基化类型的成像?”
通过 Staudinger 反应实现的化学连接,该团队在活体小鼠的体内开展了首次报道的生物正交反应。“我们能够在动物体内‘开反应’了”,Prescher 说,“但反应的速度太慢,无法由此实现成像。”在全动物体的研究中,Staudinger 反应的缓慢速度意味着必须注射大量的试剂来驱动反应进行,但这会导致的问题就是未与目标分子结合的探针基团也会发光。当时迫切需要一种用于全动物体研究的新方法。
大约在同一时间,其它具有生物正交应用潜力的化学研究成果开始出现。2002 年时,Meldal 和 Sharpless 课题组首次报道了经典的点击反应,即铜催化的叠氮化物–炔烃环加成反应 (copper-catalysed azide–alkyne cycloaddition, CuAAC)。点击化学反应在原则上应具有高选择性、高产率和广泛的底物适用范围。虽然这些点击化学反应的最初设计用途是有机合成,但是,如果点击反应所涉及到的官能团完全不会存在于所研究生物的细胞中(也就是所谓的“正交”),那么这些点击化学反应会非常可能适合于这样的生物学应用。对于哺乳动物而言,叠氮化物和炔烃就属于这一类官能团。
-
Source: © Johan Jamestad/The Royal Swedish Academy of Sciences 添加铜离子后,叠氮化物和炔烃之间的点击化学反应非常高效。该反应 (CuAAC) 现已被全球各地的科学家们广泛使用,能以十分简便的方式将不同分子连接到一起
与 Staudinger 反应一样,CuAAC 反应是对旧反应的新改造,建立在铜的催化作用使该反应的速度加快了 1 亿倍的发现之上。“这引起了很多人的注意”,Prescher 指出。这一反应特别有趣,它所涉及的两个官能团体积较小,因此两个分子的结合可能会更为容易;对于需要标记的生物分子而言,其自然的生化过程也不会收到干扰。但这种化学方法也无法被立即应用于活体动物的成像。最初的铜催化剂会在细胞中产生“活性氧”物种,而且这些物种的浓度已对细胞有害。Prescher 说到:“对于全动物体而言,要在一处地方同时做到这三件事是很困难的。”
线性炔烃中 C–C≡C 的键夹角为 180°,但在环辛炔的环状结构将 C–C≡C 的键夹角扭曲至了 160°(环辛炔是能被分离出的分子内张力最大的炔烃),因此其能级更接近于反应中的过渡态。这种高分子张力的底物被证明非常适合无铜参与的点击化学反应。“我们制备出了这种分子,先在蛋白质上进行了测试,然后在细胞上进行了测试,而这一切在几个月的时间里就完成了”,Prescher 补充到。
-
Source: Topics in Current Chemistry 374(1) DOI: 10.1007/s41061-016-0010-x 线性炔烃和高张力的环辛炔在 C–C≡C 的键夹角方面的差异,后者可实现无需铜催化的点击化学反应
Cornell University
康奈尔大学

-
Source: SCIENCE, 2 May 2008 Vol 320, Issue 5876 pp. 664-667 DOI: 10.1126/science.1155106
Take the strain / 让张力更猛一些
University of Delaware
特拉华大学
2008 年时,Fox 教授和团队成员们报道了四嗪和反式环辛烯 (transcyclooctene, TCO) 之间的生物正交反应。迄今为止,四嗪的连接反应仍然保持着最快速生物正交反应的地位;Fox 教授团队基于计算机辅助构象分析设计的双环型环辛烯-环丙烷体系更进一步强化了这一地位。“三元环不仅提升了张力,还使环的‘褶皱’变成了一种非自然的构象,使双键更具反应活性”,Fox 教授解释到, “活性最高的反式环辛烯的反应速率已超过 3,300,000 M⁻¹s⁻¹ —— 就是这么任性!”
-
四嗪与反式环辛烯 (TCO) 分子间的连接反应不怕水——而且速度极快
Breaking free / 冲破藩篱
生物正交的成键反应在活细胞和动物的生物偶联、标记以及成像方面取得了巨大进步。但从化学角度而言,除了成键的反应之外还有断键的反应。“我们开始思考,为什么我们不能利用断键的反应呢”,陈鹏教授解释到,“断键型的反应为蛋白质活化和药物释放等应用提供了可能性,因为这类应用离不开可按需实现并具有生物相容性的方法。”
类似于有机合成中使用的脱保护基策略,陈鹏教授的团队发展出了一种蛋白,其活性位点的关键残基被一种能抑制蛋白活性的保护基团所“笼罩”。可以通过生物正交的断键反应将这一笼子剪掉,从而使蛋白质脱保护以将其激活。“我们早在 2014 年就报道了第一个例子,即使用钯介导的脱笼化学手段 (chemical decaging)”,陈鹏教授解释到。在钯的催化下,蛋白活性位点上的笼状赖氨酸残基发生断键,分裂出炔丙基氨基甲酸酯。“这是通过金属对生物分子进行脱保护以实现功能化的首次报道,表明我们可以对活细胞中的蛋白质活性进行操控。”
-
Source: https://doi.org/10.1038/nchem.1887
陈鹏教授的课题组仍在研究基于金属的蛋白质“脱笼”。该策略的一项优点是金属可以用作光触发的光催化剂来引发“脱笼”的过程。“这一方法的美妙之处在于,你可以在细胞内的某一个位置使用它,从而实现空间上的控制”,陈鹏教授说到,“我们最近期发表的一篇论文就是使用光催化进行的亚细胞级蛋白质组分析。”
无金属的生物正交断键反应现在也已经被实现了,主要的实现手段就是对已被证明可实现生物正交成键的反应进行改造。2013 年,由荷兰 Tagworks 制药公司的 Marc Robillard 领导的一个团队证明,TCO-四嗪化学可以适用于断键反应。如果在 TCO 分子的烯丙位连接上氨基甲酸酯基团,那么该侧基就能通过环加成引发的重排反应,以游离胺的形式被释放。该研究团队的工作表明该反应可被用于在活细胞中按需释放抗癌药物阿霉素 (doxorubicin)。

Source: https://doi.org/10.1002/anie.201305969
-
Source: Wang, J., Liu, Y., Liu, Y. et al. Nature 569, 509–513 (2019). https://doi.org/10.1038/s41586-019-1188-1 胱天蛋白酶 3 被激活后,HeLa 细胞发生的程序性死亡(每一帧间隔为 2 分钟,时间起点为紫外光开始照射时)

