文 章 信 息
阳离子掺杂V2O5微球作为双向催化剂激活锂硫电池的硫氧化还原反应。
第一作者:刘凡君
通讯作者:张泽*,杨震宇*
单位:南昌大学
研 究 背 景
锂硫电池因其高能量密度(2600Wh·kg−1)、低成本、环境友好性而引起了人们的极大关注。阴极S8分子在完全放电后转化为不溶性的Li2S2/Li2S,理论放电容量可达1675mAh·g−1。然而,硫的绝缘和放电最终产物Li2S2或Li2S的弱氧化还原动力学不利于稳定和高容量的电化学性能。
本篇观点展示了近期研究锂硫电池中正极材料的相关工作,特别是如何提高活性物质硫的利用率,加速其氧化还原动力学,以实现出色电化学性能的正极电催化材料。同时回顾了近期在提升硫氧化还原动力学方面取得的进展,并对此做了进一步的理解和讨论。本文为今后的研究提供了方向,有助于加速高性能锂硫电池领域的研究及实际应用。
文 章 简 介
基于此,来自南昌大学化学化工学院的杨震宇&张泽课题组,在《Chemical Engineering Journal》期刊上发表题为“Cation-Doped V2O5 Microsphere as a Bidirectional Catalyst to Activate Sulfur Redox Reactions for Lithium-Sulfur Batteries”的观点。该文章分析了近期各类材料在锂硫电池中的应用,详细报道了课题组设计的宿主材料:M-V2O5-YS,在加速LiPSs的还原以及沉积Li2S的再氧化动力学方面的显著双向催化作用,并取得出色的电化学性能。
图1:基于化学吸附和催化转化的S/M-V2O5-YS复合阴极在锂-S电池中的协同作用机制。
本 文 要 点
1) 掺杂后的样品中,我们未检测到杂相峰的同时,检测到了部分峰位置的偏移。
图2:(a) M-V2O5-YS和S/M-V2O5-YS复合材料的合成示意图。(b) M-V2O5-YS样品的XRD图谱。
2)掺杂过渡金属的M-V2O5-YS与原始的V2O5均表现出相似的卵黄微球结构,粒径均匀一致,并且在M-V2O5-YS中检测到了晶格缺失。
图2. SEM和TEM图:(a, e) V2O5-YS, (b, f) Fe-V2O5-YS, (c, g) Co-V2O5-YS and (d, h) Ni-V2O5-YS;(i, j) V2O5-YS 和(k, l) Co-V2O5-YS的晶格条纹;(m) Co-V2O5-YS样品的元素EDS分布。
3)掺杂后的V2O5应用于锂硫电池硫的载体,表现出出色的电化学性能,尤其是在较大电流密度下。
图3:电化学性能图谱:(a) 倍率性能,(b)极化值比较,(c) 长循环性能,(d,e) 高载硫循环性能。
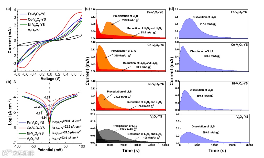
4)动力学测试结果表明,掺杂阳离子后的V2O5,尤其是Co离子的引入,会极大提升LiPSs的转化动力学。
图4:(a) 对称电池的CV,(b) Tafel 曲线,(c) Li2S的成核曲线,(d) Li2S的溶解曲线。
这项工作介绍过渡金属(M = Fe,Co,Ni)掺杂的五氧化二钒卵黄壳微球(M-V2O5-YS)作为硫的双向催化宿主,表现出丰富的晶格缺陷和提高的电导率。同时,动力学试验结果表明,M-V2O5-YS宿主在加速LiPSs的还原学以及沉积Li2S的再氧化动力方面的显著双向催化作用。即使在较高的硫负载和低电解液用量的条件下,也有良好的容量和稳定的循环性能。因此,本研究为探索激活高性能锂硫电池SRRs双向催化材料提供了一种有效、可行的方法。
文 章 链 接
Cation-Doped V2O5 Microsphere as a Bidirectional Catalyst to Activate Sulfur Redox Reactions for Lithium-Sulfur Batteries
https://doi.org/10.1016/j.cej.2022.140948
通 讯 作 者 简 介
杨震宇教授简介:南昌大学化学化工学院教授,博士生导师,赣江特聘教授,江西省主要学科带头人。2005年博士毕业于中科院理化技术研究所,先后在美国伦斯勒理工学院、北京大学、南洋理工大学等国内外著名院校访问、交流学习。长期从事电化学储能材料和胶体化学相关研究。迄今已在国内外期刊发表SCI论文100余篇,申请发明专利10余项,主持国家和省级研究项目20余项。
张泽副教授简介:南昌大学化学化工学院副教授,博士,硕士生导师,赣江青年学者。2017年毕业于南开大学,师从高学平研究员,获理学博士学位。研究工作主要涉及纳米功能材料的设计制备,及其在锂硫电池、锂/钠离子电池、电催化等方面的应用研究。以第一作者或者通讯作者身份发表SCI论文40余篇,现主持国家自然科学基金地区、青年项目,江西省自然科学基金杰出青年、面上项目。
第 一 作 者 简 介
刘凡君,本科毕业于陕西师范大学,现为南昌大学化学化工学院2020级硕士研究生,研究方向为锂硫电池正极材料。
添加官方微信 进群交流
SCI二氧化碳互助群
SCI催化材料交流群
SCI钠离子电池交流群
SCI离子交换膜经验交流群
SCI燃料电池交流群
SCI超级电容器交流群
SCI水系锌电池交流群
SCI水电解互助群
SCI气体扩散层经验交流群
备注【姓名-机构-研究方向】
投稿请联系contact@scimaterials.cn
点分享
点赞支持
点在看

