文 章 信 息
Cu2O微胶囊相变材料的形貌控制合成:可见光下的光热转化和存储性能
第一作者:陈正浩博士
通讯作者:姜泽毅教授*,赖念筑副教授*
单位:北京科技大学
研 究 背 景
微胶囊相变储能技术作为解决传统有机相变材料导热系数低、材料易泄露等问题的有效手段,已经在光热转换的相关领域得到了广泛的应用。考虑到高导热性、抗渗透性和功能多样性,通常采用刚性致密的无机壳体进行自组装来封装有机相变材料。然而传统的相变微胶囊均展现出各向同性形貌的球形,相关的光热性能只与材料的热导率有关,当人们试图提高MPCM的封装效率时,通常会牺牲材料的传热能力。
氧化亚铜(Cu2O)具有成本低、导热系数高、毒性低、直接禁带宽度为2.0-2.2 eV等优点,是一种重要的p型半导体材料,其由不同晶面主导的形貌特性由于其晶面特有的性质,是研究基于形态的催化、太阳能转换和传感器应用的理想材料。探索Cu2O包裹MPCM的晶面相关的光学性质是很有意义的。考虑到可能会形成固体Cu2O颗粒,控制乳液模板体系与铜离子之间的相互作用以及壳层前驱体的沉淀动力学是制备形貌可控的Cu2O包覆MPCM的难点。
文 章 简 介
基于此,来自北京科技大学的姜泽毅教授与赖念筑副教授在国际知名期刊Chemical Engineering Journal上发表题为“Morphology-controlled synthesis of Cu2O encapsulated phase change materials: Photothermal conversion and storage performance in visible light regime”的研究论文。
该研究展示了一种简单的策略,以Cu2O作为壳层对正二十烷进行包覆,通过对材料合成过程中碱浓度的精确调控,成功实现了相变微胶囊形貌的可控合成,同时采用密度泛函理论计算阐明了材料形貌的演变机理,并探究了不同形貌与材料光热转换能力的关系,该研究工作不仅可以定制出具有所需形貌的MPCM,还可以调制光热转换和存储材料的可见光吸收,这在未来太阳能收集应用中将发挥重要作用
图形摘要。
本 文 要 点
要点一:相变微胶囊形貌的可控合成及演变机理
图1.正二十烷和MPCM的XRD图谱FTIR光谱以及不同形貌MPCMs的SEM图像
图2.MPCMs形貌演变机理的理论计算及MPCMs形貌演变的SEM图像和对应3D结构示意图。
采用原位沉积法,制备了以正二十烷为核、Cu2O为壳层的相变微胶囊。通过控制壳层的形成动力学,成功实现了不同晶面主导下的材料形貌的转变。所合成的微胶囊具有光滑清晰的表面和良好的尺寸和形貌。密度泛函理论计算的结果阐明了MPCM形貌演变的机理,由于碱溶液中OH-对晶面吸附所带来的表面重构可以有效降低表面能,高能晶面得以稳定并随着OH-浓度的增加具有更高的表面占比,材料形貌随之进行改变。
要点二:材料优秀的储热性能
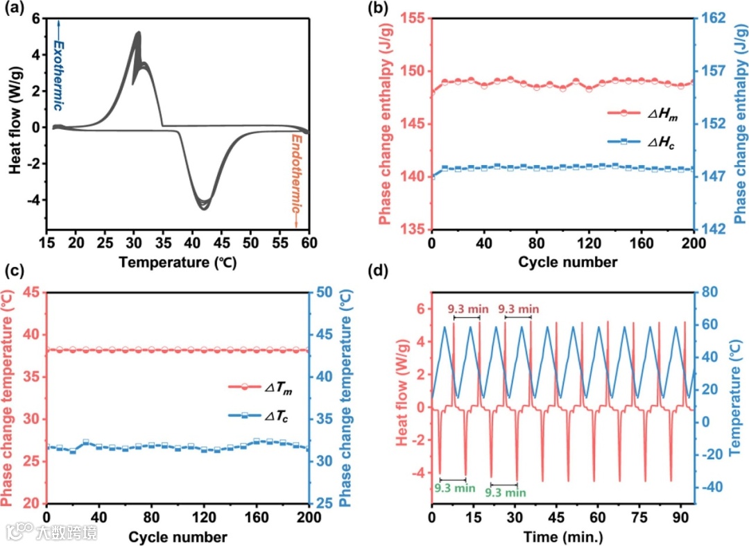
图·3. 200次循环下MPCM的循环DSC性能
由{111}晶面包裹的八面体具有最高的包封效率,MPCM的潜热为148.9 J/g,在200次循环扫描中,MPCM的差示扫描量热曲线保持了良好的一致性,相变温度和焓值只有轻微的波动,表现出良好的相变可逆性和耐热性。同时,MPCMs的最大热降解温度比纯正二十烷提高了35~55 ℃ (约240 ℃),封闭的Cu2O壳层提高了MPCM的高温使用温度,并显著改善了其热稳定性。
要点三:晶面相关的优秀的光热转换能力
图4. MPCMs的吸光特性和在实验与理论计算下材料的带隙结构
图5. 自制的光热转换实验装置和MPCM的光热转换实验结果
所有MPCM在350-575 nm的可见光区域都有很强的吸收,但由于{111}晶面独特的表面带隙结构,随着{111}晶面含量的增加MPCM在长波区(即575-800 nm)的光吸收明显增加。相关特性也体现在材料的光热转换能力上,由于更高的包封效率,尽管{111}晶面主导的八面体MPCM热导率可能比其他样品略低,但前者的光热转换效率更显著。在相同的光照条件下,八面体MPCM达到了更高的最终温度,即更高的光热转化能力。这意味着通过形貌控制策略同时提高复合相变材料的包覆效率和光热转换效率是可行的,这对相关领域的研究提供了新的思路。
文 章 链 接
Morphology-controlled synthesis of Cu2O encapsulated phase change materials: Photothermal conversion and storage performance in visible light regime
https://doi.org/10.1016/j.cej.2022.140089
通 讯 作 者 简 介
姜泽毅教授简介:2002年博士毕业于北京科技大学热能工程专业,随后在北京科技大学工作,并分别在美国德克萨斯大学阿灵顿分校和美国劳伦斯伯克利国家实验室从事访问学者,现任北京科技大学能源与环境工程学院副院长,博士生导师。长期从事工业热过程数值模拟和纳米复合能源材料的研究和开发工作。
赖念筑副教授简介:2014年博士毕业于清华大学(台湾)化学所,获得台湾同步辐射中心杰出研究奖,随后在香港中文大学从事博士后工作,合作导师为卢怡君教授,2019年加入北京科技大学能源与环境工程学院,硕士生导师。主要研究方向为能源储存与转化材料,在Joule, Nat. Mater., J. Mater. Chem. A, Chem. Eng. J., Nano Res., J. Catal. 等高水平期刊发表工作,
第 一 作 者 简 介
陈正浩,北京科技大学博士研究生在读,研究方向为相变储能材料和燃料电池相关工作。
添加官方微信 进群交流
SCI二氧化碳互助群
SCI催化材料交流群
SCI钠离子电池交流群
SCI离子交换膜经验交流群
SCI燃料电池交流群
SCI超级电容器交流群
SCI水系锌电池交流群
SCI水电解互助群
SCI气体扩散层经验交流群
备注【姓名-机构-研究方向】
投稿请联系contact@scimaterials.cn
点分享
点赞支持
点在看

