文 章 信 息
锇/硫化锇异质界面上的电子集聚效应促进全pH环境下的析氢催化
第一作者:朱加伟
通讯作者:木士春*
研 究 背 景
氢能是理想的可再生二次能源,其制取、储存、运输、应用技术的开发至关重要。电解水制氢被认为是最理想的制取绿氢的手段之一,但受限于技术与成本问题,还尚未实现大规模普及。在已开发的析氢反应(Hydrogen evolution reaction,HER)电催化剂中,铂(Pt)族金属基催化剂通常表现出更高的催化活性,在HER火山图中占据峰顶区域。
目前,商业HER电催化剂为Pt基催化剂。然而,其带来的成本、资源、耐久性问题限制了其进一步发展。因此,开发具有更高实用性的替Pt催化剂已成为必然。在铂族金属中,金属锇(Os)是目前最廉价的,但其电催化应用潜力还远未被人们所认识。这主要是由于Os基催化剂通常对氢中间体表现出较强的吸附性,导致其脱氢的能量势垒过高。因此,如何调节Os基纳米材料电子结构,使其表现出更优的氢吸附行为,是目前亟待解决的问题。
文 章 简 介
基于此,来自武汉理工大学的木士春教授,在国际知名期刊ACS Catalysis上发表题为“Electron Accumulation Effect over Osmium/Erlichmanite Heterointerfaces for Intensified pH-Universal Hydrogen Evolution”的研究性论文。
该文章从理论和实验的双重角度对锇/硫化锇(Os/OsS2)异质界面在全pH环境下析氢催化行为进行系统探究,结果表明界面上独特的电子集聚效应诱导形成了丰富的缺电子锇位点,减弱其与氢中间体的吸附强度,并降低了氢脱附及水解离能垒,从而使其展示出优异的HER催化活性。
本 文 要 点
要点一:Os/OsS2异质界面的催化机制及调节的电子态
图1. Os/OsS2异质界面析氢行为及电子结构的理论计算结果。
利用密度泛函理论计算(DFT)对Os/OsS2异质结构的氢吸附、水解离过程进行仿真模拟,并与纯相Os和OsS2进行对比。结果表明,异质界面的构筑可有效减弱氢中间体在界面周围活性位上的吸附强度,从而降低了决速步(氢脱附步骤)的反应能垒,提升了异质结构催化剂的本征活性。
此外,异质界面还表现出了优化的水解离机制,具有更低的能垒。对异质界面的电子态分析表明,强交互的界面上存在明显的电子富集层,使得界面周围的锇原子呈现缺电子态,并表现出负移的d带中心。这是Os/OsS2异质结构本征HER催化活性提升的最主要原因。
要点二:Os/OsS2异质界面的电子结构与形貌
图2. Os/OsS2异质界面的合成与物性表征结果。
在熔盐体系的辅助作用下,选取合适比例的锇源和硫化剂,制备了Os/OsS2异质结构材料。XRD结果确认了Os与OsS2两相的共存;XPS和XAS表征结果则表明,在Os/OsS2异质结构材料中Os的平均价态接近于纯相OsS2中的价态。丰富的异质界面从周围Os原子夺取了一定的电子,而所导致的缺电子态Os位点使得平均价态显著提升,这与DFT计算结果一致。利用球差电镜可直接观测到材料中丰富的界面结构的存在,进一步验证了Os/OsS2异质界面的成功构筑。
要点三:Os/OsS2异质界面的全pH析氢性能
图3. Os/OsS2异质界面的酸性HER性能。
将所获得的Os/OsS2催化剂在酸性介质下进行电催化HER性能测试。结果显示,其仅需29 mV的反应过电位即可达到10 mA cm-2的电流密度,催化活性与商业铂黑催化剂基本一致。该催化剂还具有很高的电化学活性面积和较低的电荷转移电阻。由于Os金属价格的低廉,该催化剂还具有出色的质量活性与价格活性,远高于铂催化剂。此外,Os/OsS2催化剂还展示了不俗的循环稳定性。
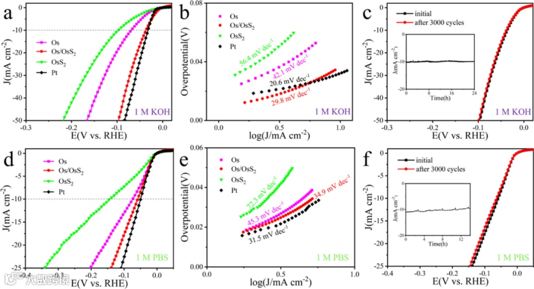
图4. Os/OsS2异质界面的碱性及中性HER性能。
进一步调查了Os/OsS2催化剂在碱性及中性介质下的催化性能。结果表明,Os/OsS2催化剂在碱性及中性介质下均具有可与铂催化剂相媲美的催化活性,以及极佳的稳定性。因而,作为高效的析氢催化剂,以Os/OsS2异质结构为代表的Os基催化剂展示出广阔的应用前景。
文 章 链 接
Electron Accumulation Effect over Osmium/Erlichmanite Heterointerfaces for Intensified pH-Universal Hydrogen Evolution
https://pubs.acs.org/doi/full/10.1021/acscatal.2c03102
通 讯 作 者 简 介
木士春教授简介:武汉理工大学首席教授,博士生导师,国家级高层次人才。长期致力于电解水制氢催化剂、燃料电池催化剂及锂电池电极关键材料研究。以第一作者或通讯作者身份在Nat. Commun.、Adv. Mater.、J. Am. Chem. Soc.、Angew. Chem. Int. Ed.、Energy Environ. Sci.等国内外期刊上发表270余篇高质量学术论文。
课题组网站
http://www.polymer.cn/ss/shichunmu/index.html。
第 一 作 者 简 介
朱加伟,武汉理工大学材料科学与工程学院在读博士研究生,主要研究方向为贵金属基功能材料的可控构筑、富缺陷碳基催化剂的设计与机制研究。
课 题 组 介 绍
课题组依托武汉理工大学“材料复合新技术国家重点实验室”及“燃料电池湖北省重点实验室”,具备优秀的人员配置和实验环境。课题组主要从事质子交换膜燃料电池关键材料与核心器件、电化学产氢催化材料、锂离子电池电极材料和碳纳米材料等研究工作,在功能材料的合成、表征、电化学测试等领域具有丰富的实践经验。欢迎有志青年加入课题组!
添加官方微信 进群交流
SCI二氧化碳互助群
SCI催化材料交流群
SCI钠离子电池交流群
SCI离子交换膜经验交流群
SCI燃料电池交流群
SCI超级电容器交流群
SCI水系锌电池交流群
SCI水电解互助群
SCI气体扩散层经验交流群
备注【姓名-机构-研究方向】
投稿请联系contact@scimaterials.cn
点分享
点赞支持
点在看

