文 章 信 息
自由基补充策略提升锂硫电池氧化还原动力学
第一作者:申峥源,高巧蒙
通讯作者:宋晓胜,赵勇
单位:河南大学 特种功能材料重点实验室
研 究 背 景
锂硫(Li-S)电池因其低成本、环境友好以及高能量密度(2600 Wh kg-1)受到了广泛关注。然而,活性物质S和Li2S的绝缘属性导致固-固反应路径(S8↔Li2S)的电子转移速率较低。
可溶性多硫化物(Li2Sn)作为本征氧化还原介体可以通过歧化和电化学还原反应促进电子转移,基于S8↔Li2Sn(n=4-8)↔Li2S固-液-固反应路径的氧化还原动力学得以提升。遗憾的是,当电解质/硫负载(E/S)比降低时,Li2Sn相对于正极S载量的比例随之明显下降,有限的Li2Sn含量不能满足氧化还原反应对快速电子转移速率的要求,低E/S比下锂硫电池的实际能量密度与其理论值相去甚远。
文 章 简 介
基于此,来自河南大学的宋晓胜副教授和赵勇教授在国际知名期刊Energy Stor. Mater.上发表题为“In-situ Free Radical Supplement Strategy for Improving the Redox Kinetics of Li-S Batteries”的文章。本工作提出了一种基于芴酮(FL)添加剂的原位自由基补充策略,以加速锂硫电池S还原和Li2S氧化过程中的电子转移并改善锂硫电池在低E/S比下的氧化还原动力学。
具体来说,在S8还原为Li2S4以及Li2S氧化为Li2Sn过程中,FL利用羰基的电子接受能力来捕获并稳定S3•-,提高了可溶性Li2Sn的浓度,从而加速电子转移并促进反应动力学。此外,在Li2S4还原为Li2S的阶段,FL在相似电位下被还原成自由基形式(FL•-),介导了Li2S4、Li2S2和Li2S之间的电子转移。FL的还原电位(2.1 V vs Li/Li+)与S还原反应的第二电压平台的良好匹配,是实现原位自由基补充功能的关键因素。
图1. 原位自由基补充策略机理图。
本 文 要 点
要点一:FL对Li−S电池电化学性能的影响.
我们首先进行了循环伏安(CV)测试,研究了FL对于Li-S电池电化学性能的作用。在E/S=15 μL/mgS的高电解液含量以及0.1 mV/s的低扫描速率下,反应过程中生成的多硫化物起到了很好的氧话还原介体作用,保证了电池反应的顺利进行。
然而在对电子转移速率要求更高的高扫速和低E/S比条件下,瞬时生成的多硫化物不足以驱动反应的进行,电池氧化还原活性显著降低。E/S=8 的情况下,电池放电过程的第二阶段甚至直接消失了。FL的引入保证电池反应完整进行的同时获得了更低的塔菲尔斜率和活化能,并且具有更小的电池极化电压。
图2. E/S=15 μL/mgS的Li-S电池的CV,扫描速率为(a)0.1 mV/s和(b)1.0 mV/s。(c)S8还原为Li2Sn以及(d)Li2Sn还原为Li2S过程的塔菲尔斜率。E/S比为(e)10 μL/mgS和(f)8 μL/mgS的Li-S电池的CV,扫描速率为0.1 mV/s。(g)含FL与不含FL电池在不同反应阶段活化能的差值。(h)为(a)、(e)、(f)中每个电池的ΔEx(1,2)。
要点二:S3•- 提升S8↔Li2S4阶段转变动力学
原位拉曼显示:在充放电过程中,含有FL的电池中S3•-的信号明显更强,证明了其在电解液中浓度的提升。并且,多硫化物(S2- 6、S2- 4)信号产生和消失的更早,证明了FL的引入对于S8↔Li2S4可逆转变反应阶段的加速作用。
图3. 不含FL的Li-S电池原位拉曼光谱:(a、e、i)为1 C下的放电过程,(c、g、k)为0.2 C放电后再用1 C充电的过程。含有FL的Li-S电池原位拉曼光谱:(b、f、j)为1 C下的放电过程,(d、h、l)为0.2 C放电后再用1 C充电的过程。
要点三:FL•- 加速Li2S4、Li2S2向Li2S的还原
应用电化学沉积、光谱学表征以及理论计算研究了FL在Li2S生成阶段的作用。2.09 V恒电位沉积测试中含有FL的电池表现出了更高的反应活性。将FL•-和含有Li2S4、Li2S2的溶液混合后进行拉曼测试。S62-(396 cm-1)和S42-(451 cm-1)的信号消失,S2-(372 cm-1)信号增强,羰基(1720 cm-1)信号重新出现,证明了FL•-与Li2Sn之间的氧化还原反应。ESR测试中混合溶液的信号大大减弱,紫外测试中多硫化物信号完全消失以及 FL•-的HOMO与Li2S4/Li2S2的LUMO之间很小的能级间隙都证明了上述反应的发生。
图4. Li | Li2S8电池在2.09 V下的恒电位放电曲线:(a)不含(b)含有FL。FL•-与(c)Li2S4或(d)Li2S2的拉曼光谱。(e) FL、FL•-、Li2S4和FL•-与Li2S4的ESR谱。(f)FL•-和Li2S2上清液反应前后的紫外-可见光谱。(g)Li2S4、Li2S2和FL•-的LUMO和HOMO能级。
原位XRD测试中,最终放电产物Li2S的信号在含有FL的电池中产生的更早并且强度更高,证明了FL的参与对于Li2Sn到Li2S还原阶段的加速作用。并且对放电后的电极进行XPS测试发现,含有FL的电池Li2S的信号更强,而不含FL的电池其电极中仍残留大量的S8、Li2Sn和Li2S2。
图5. 0.1 C时(a)不含FL和(d)含FL的放电曲线。相应的原位XRD图谱(b)不含FL和(e)含FL。XPS分析放电产物(c)不含FL和(f)含FL。
同时我们也发现,FL介导的Li2S快速生成有效改善了其沉积形貌。由原来的2D膜状形式转换为3D岛状形式,更裸露的电极表面规避了膜状生长带来的电极钝化,促进了多硫化物的全转变,有利于电池放电容量的提升。
图5. Li2S在碳纸上的电沉积。(a)0.1 C下的首次放电曲线。不含FL电池的Li2S沉积形貌:(b)成核时;(c)放电截至时;(d)为(c)中部分放大图。含FL电池的Li2S沉积形貌:(e)成核时;(f)放电截至时;(g)为(f)中部分放大图。
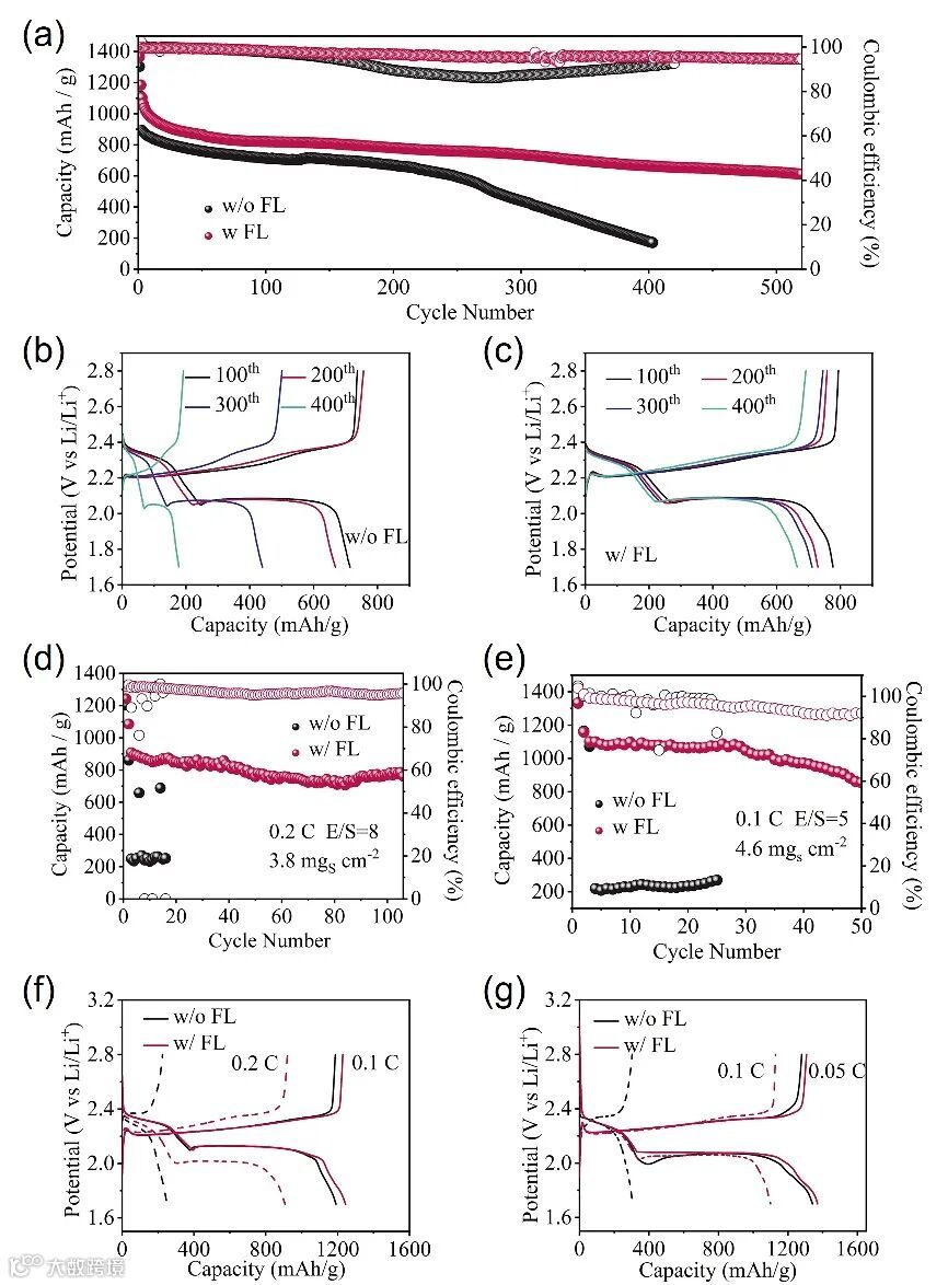
要点四:电池性能测试
在0.5 C的长循环测试中,FL的引入有效提升了电池的容量以及循环稳定性,并获得了更高的库伦效率。在更接近实际情况的低E/S比下,FL介导的快速电子转移路径使得电池表现出更小的极化电压,并显著提升了放电容量。
图6.(a)在0.5 C下的循环稳定性,硫负载量为1.15 mgS/cm2。相应的充电和放电曲线展示在(b)、(c)。低E/S比(d)8或(e)5 μL/mgS的循环性能。相应的充放电曲线展示在(f)、(g)。
文 章 链 接
In-situ Free Radical Supplement Strategy for Improving the Redox Kinetics of Li-S Batteries
https://doi.org/10.1016/j.ensm.2023.02.023
通 讯 作 者 简 介
赵勇,1980年6月生,博士,教授,中组部引进海外高层次青年人才。1999-2003年,西北农林科技大学应用化学本科;2003-2008年,中国科学院化学研究所物理化学博士研究生(导师:江雷 教授);2008-2015年,日本东京大学工学院应用化学系博士后(导师:桥本和仁(Kazuhito Hashimoto)教授);2016年-至今,河南大学特种功能材料教育部重点实验室“攀登计划”特聘教授。
目前的主要研究方向是高比能电池新型电解质和电极材料的设计与构筑,以及电极反应机理探究。在Joule、Nat. Commun.、J. Am. Chem. Soc.、Angew. Chem. Int. Ed.、Energy Environ. Sci.、 Adv. Energy Mater.、Adv. Funct. Mater.、Chem. Soc. Rev.、Energy Stor. Mater.等学术期刊上发表SCI论文五十余篇,授权国际发明专利4项。
宋晓胜,1990年01月生,博士、副教授,2018年博士毕业于中国地质大学(北京);2018年7月至今,河南大学特种功能材料教育部重点实验室。迄今以第一或通讯作者在Angew. Chem. Int. Ed.、ACS Energy Lett.、Energy Stor. Mater.、Nano Energy、J. Mater. Chem. A、Carbon等期刊上发表SCI论文12篇。
科 学 材 料 站 招 聘 信 息
科学材料站招聘2023年电催化工程师(二氧化碳还原方向,硕士研究生)
同时招收其他方向研究生(电化学、电池、电镀、电解水、燃料电池、MEA开发等)、本科生(化材专业)、实习生等,详情请咨询!
添加官方微信 进群交流
SCI二氧化碳互助群
SCI催化材料交流群
SCI钠离子电池交流群
SCI离子交换膜经验交流群
SCI燃料电池交流群
SCI超级电容器交流群
SCI水系锌电池交流群
SCI水电解互助群
SCI气体扩散层经验交流群
备注【姓名-机构-研究方向】
投稿请联系contact@scimaterials.cn
点分享
点赞支持
点在看

