文 章 信 息
第一作者:马泽松,杨志龙
通讯作者:黄宏文,赖文川
通讯单位:湖南大学
研 究 背 景
电催化CO2还原技术有望应用于将间歇性绿色电能存储于具有高附加值的碳氢化合物中,同时减少温室气体浓度。在多种CO2还原产物中,多碳产物(C2+)由于其高能量密度特征和在化工业的重要性而受到重点关注。当前,在热力学上优化*CO在活性位点上的吸附和在动力学上促进C-C偶联决速步骤,被认为是设计高效合成多碳的催化体系的基本原则。
基于这样的原则,CO2电还原体系主要采用碱性电解液,这是因为碱性环境可以抑制析氢副反应,同时促进C-C偶联反应。然而目前绝大多数碱性CO2电还原体系仍旧面临着低选择性/活性,以及由碳酸盐积累所导致低碳利用率和稳定性欠佳等问题,这严重阻碍了碱性CO2电解体系的应用前景。
最近,为了解决碱性CO2电解体系的碳酸盐积累问题,有学者尝试利用酸性电解液来替代碱性电解液,从而抑制碳酸盐的形成,或者将局域形成的碳酸盐再生为CO2反应物。Sargent等人在开创性研究展示了一个理性设计的酸性CO2电解体系用于制备多碳产物,由于碳酸盐形成受到抑制,该体系展现出很高的碳利用率,并维持着较好的体系稳定性。
尽管取得初步进展,由于酸性条件下竞争性析氢反应动力学十分快速,对应的多碳产物选择性还比较低,在pH≤1环境下仅有48%,远不能达到实用标准。如何抑制酸性析氢副反应,并促进CO2分子活化生成多碳,是发展酸性CO2电解体系亟待解决的问题。
文 章 简 介
除了催化剂,人们意识到多碳产物的选择性和活性,亦强烈依赖于电催化反应微环境,其决定了电极—电解液界面中的物种分布、传质行为和局域相互作用。本文中,湖南大学黄宏文课题组利用孔结构限域效应和阳离子效应协同调控电催化反应的局部微环境,从而在强酸性(pH≤1)环境下在多孔铜纳米片催化剂上实现了高效制备多碳产物。
机理研究表明,亥姆霍兹平面上累积的物种(K+,OH-)通过降低界面质子浓度在动力学上抑制析氢副反应,并通过非共价作用在热力学上推动CO2转化,从而促进多碳产物的生成。本论文的研究强调了催化剂设计与微环境工程耦合的策略对于促进电催化反应、并提升转化效率的重要性。
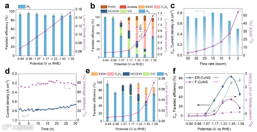
图1. 强酸性介质中电催化CO2还原性能
图2. 阳离子效应在酸性CO2电还原体系的研究
本 文 要 点
要点一:
在强酸性介质(pH≤1)中,多孔铜纳米片催化剂在流动池中多碳产物选择性可达83.7%,分电流密度0.56 A cm-2,单程碳利用率达54.4%,并实现了30小时的稳定电解。
要点二:
CO2电还原和HER的阳离子浓度依赖性研究表明,阳离子可以通过屏蔽效应降低界面质子浓度,抑制酸性HER动力学;与此同时,阳离子非共价作用通过稳定相关反应中间体,加速CO2转化为CO,并降低C-C偶联决速步骤能垒。
要点三:
多孔结构可以通过限域效应,在电极—电解液界面富集阳离子、OH-和*CO等关键物种,从而促进多碳产物生成。
通 讯 作 者 简 介
黄宏文,湖南大学教授、博士生导师。2015年在浙江大学材料科学与工程学院获工学博士学位,师从叶志镇院士。期间赴美国佐治亚理工学院进行博士联合培养项目,师从夏幼南教授。现任湖南大学材料科学与工程学院教授,博士生导师,湖湘青年英才、湖南省优青、湖南大学教师新人奖获得者。
目前主要从事高效能源金属电催化剂的研究。至今已发表SCI学术论文72篇,其中包括在J. Am. Chem. Soc.(3篇)、Nat. Commun.(1篇)、Angew. Chem. Int. Ed.(2篇)、Adv. Mater.(1篇)、Energy Environ. Sci.(2篇)、Nano Lett.(4篇)、Adv. Energy Mater.(3篇)、Adv. Funct. Mater.(3篇)、ACS Nano(1篇)等学术期刊发表一作/通讯论文50篇(IF>10论文32篇);
已授权国家发明专利8项;主持国家重点研发计划青年科学家项目、国家自然科学基金联合基金、湖湘青年英才、湖南省优青等研究项目10项;担任纳米领域重要期刊Nano Research, Chinese Chemical Letters的青年编委;担任国家自然科学基金评审专家以及Nature、Nature Commun.、J. Am. Chem. Soc.、Adv. Mater.、Angew. Chem. Int. Ed.等顶级期刊的审稿人。
文 章 链 接
Zesong Ma, Zhilong Yang, Wenchuan Lai*, Qiyou Wang, Yan Qiao, Haolan Tao, Cheng Lian, Min Liu, Chao Ma, Anlian Pan, Hongwen Huang*. CO2 electroreduction to multicarbon products in strongly acidic electrolyte via synergistically modulating the local microenvironment. Nature Communications, 2022, 13:7596, DOI: 10.1038/s41467-022-35415-x.
https://doi.org/10.1038/s41467-022-35415-x
博 士 后 招 聘
课题组主页:http://huang-research-group.com
一、应聘条件
1)具有材料、物理、化学专业的博士学位;
2)具有独立的科研能力以及很好的英文写作能力;
3)性格开朗,善于沟通,事业心强,身体健康,年龄35周岁以下。
5)具有严谨的科研态度和良好的团队协作精神,工作勤奋踏实。
二、聘期待遇
1)全职博士后薪资待遇由基础待遇和课题组补贴构成,分为以下两类:
特别资助类:30万元/年(税前工资)+上沙市人才补贴9-16万+基金/科研奖励。
要求入选“博士后创新人才支持计划”或“博士后国际交流计划”(引进项目),入选者资助期内享受上述待遇。
重点资助类:20万元/年(税前工资)+湖南省人才补贴9-16万+基金/科研奖励。
要求至少符合以下条件之一:
1. 博士毕业于arwu世界大学学术排名前100的海外(境外)高校或国际知名科研机构、国内双一流高校或a-及以上学科;
2. 在海外(境外)知名高校取得博士学位的非华裔人员;
3. 博士期间以第一作者或通讯作者发表本学科领域高水平研究论文(高被引或IF>10、SCI一区期刊)2篇,或取得相当水平学术成果。
2)全职博士后在站期间计算工作年限从进站之日起计算,博士后期间经评审后可认定为副研究员。在站期间成果丰富,入选湖南大学“杰出博士后奖”(每年评选一次)者,可直接申请副教授岗位。
3)课题组协助申请博士后科学基金、国家自然科学基金及省市各级课题(湖南省博士后创新人才支持计划-40万元经费)。
4)全职博士后在站期间,学校提供博士后公寓或租房补贴,其子女享受我校教职工子女入托、入学待遇。
5)博士后出站后,业绩优秀者可以续聘,或根据工作意愿推荐到其他单位。
三、应聘者请提供以下材料:
1)个人简历;
2)反映本人学术水平的2篇代表作。
黄老师待人真诚,对科研有激情,在科研一线亲自指导,对本实验的博士后个人发展极为支持(已出站2位博士后均成为211高校副教授),有意者欢迎联系湖南大学材料学院黄宏文教授。
邮箱:huanghw@hnu.edu.cn
添加官方微信 进群交流
SCI二氧化碳互助群
SCI催化材料交流群
SCI钠离子电池交流群
SCI离子交换膜经验交流群
SCI燃料电池交流群
SCI超级电容器交流群
SCI水系锌电池交流群
SCI水电解互助群
SCI气体扩散层经验交流群
备注【姓名-机构-研究方向】
投稿请联系contact@scimaterials.cn
点分享
点赞支持
点在看

