文 章 信 息
智能热阻断深共晶电解质助力高安全锂金属电池
第一作者:张津宁,吴瀚,杜晓璠
通讯作者:孙富*,张波涛*,张建军*,崔光磊*
单位:中国科学院青岛生物能源与过程研究所,青岛大学
研 究 背 景
锂(Li)金属由于具有较高的理论比容量(3860 mAh g−1)和相对较低的氧化还原电势(-3.04 V),被视为下一代高性能锂电池技术的极具前景的候选负极材料。然而,高反应性的Li金属负极与最先进的碳酸基电解质也存在不相容,在电化学循环过程中会造成不必要的电解质分解并且产生不稳定的固体电解质界面(SEI)。另外,大多数碳酸酯类和醚类电解质具有挥发性和可燃性,对LMB安全构成潜在挑战。因此开发在高负载及高能量密度条件下兼具高稳定性和高安全的锂金属电池电解质材料仍是目前锂电池电解质的重点研发方向。
文 章 简 介
基于此,中国科学院青岛生物能源与过程研究所和青岛大学合作在智能深共晶电解质方面取得重要进展,联合设计并开发制备出一种具有热诱导智能自关闭功能的新型深共晶电解质(丁二腈/1,3,5-三恶烷/二氟草酸硼酸锂,简称DEE)。丁二腈可以通过将其不稳定的α-氢与1,3,5-三恶烷中的富氧醚进行分子间电荷转移进而帮助降低SN的还原活性。
此外,1,3,5-三恶烷可以在高温条件下聚合形成具有超低离子导电性的聚甲醛来实现快速热关闭功能,以终止Li离子运输和后续电池运行,极大提高锂金属电池安全性。这项工作不仅为通过调控溶剂化结构和界面结构来稳定高压LMB的电极/电解质界面提供了新的视角,而且也为设计智能热阻断深共晶电解质以实现高安全和高性能LMB的实际应用提供了理论支撑。
本 文 要 点
要点一:智能深共晶电解质的结构表征和分析
通过理论模拟和结构表征,发现该深共晶电解质具有独特溶剂化结构(Li+-SN-TXE-DFOB−),并且1,3,5-三恶烷可以参与到锂离子的第一溶剂化壳层中,有利于增强锂/电解质界面相容性。同时,丁二腈可以通过将其不稳定的α-氢与1,3,5-三恶烷中的富氧醚进行分子间电荷转移而帮助降低SN的还原活性,由此提升氰基电解质与锂金属的界面稳定性。
图1. 深共晶溶剂(DES)的结构分析: 由吸电子的氰基所引起氧(TXE)和-CH2(SN)之间的强相互作用。SN的蓝色区域(缺电子)和TXE的红色区域(富电子)很容易通过它们之间的强静电作用相互吸引,产生DES(图1c的最后一个图形)。
图2. 深共晶电解质(DEE)的结构分析: 表明范德华作用是通过TXE氧原子和SN-CH2氢原子发生的。同时,TXE会参与Li+的第一溶剂化壳。实验和理论计算都证实了TXE和SN之间存在较强的分子间相互作用,同时造成空间位阻增加,一定程度上抑制了SN和Li之间的副反应发生。
要点二:基于该深共晶电解质的锂金属电池的性能
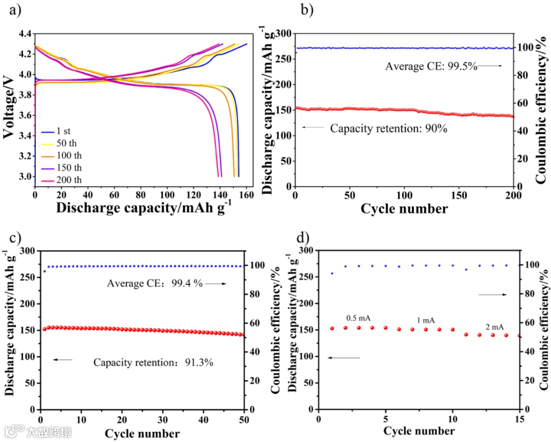
将该深共晶电解质运用于高负载正极/超薄锂金属电池。电化学测试结果表明,使用DEE制备的高负载钴酸锂/锂金属电池(钴酸锂质量负载:18 mg cm-2,锂金属负极厚度:40 µm)在25 °C下表现出优异的长期循环性(50次循环后容量保持率为91.3%)和高库仑效率(CE:99.4%)。
图3. 钴酸锂/锂电池的电化学特性。图3c显示,4.3 V高负载LiCoO2/Li电池(LiCoO2负载:18 mg cm-2, Li厚度:40 μm,低N/P比: 2.8)在50次循环后也显示出较高的平均库仑效率(99.4%),优越的容量保持(91.3%)和高Li利用率(34%)。也具有较好的倍率性能(放电比容量在0.5, 1和2 mA时分别为152.9, 150.9和141.2 mAh g−1)。
要点三:电极/深共晶电解质界面
如此出色的电池性能主要归因于高度稳定的Li/电解质和钴酸锂/电解质界面。锂负极表面形成无机-有机(POM)复合电解质界面层,阻断电解质与锂金属的副反应。钴酸锂正极表面同样形成稳定的无机-有机(POM)混合电解质界面层,减缓电解质在正极界面的氧化反应,降低钴离子溶出,保持晶格结构稳定。
图4. Li/DEE界面的表征。锂负极表面形成无机-有机(POM)复合电解质界面层,阻断电解质与锂金属的副反应。
图5. LiCoO2/DEE界面的表征。钴酸锂正极表面同样形成稳定的无机-有机(POM)混合电解质界面层,阻断电解质在正极界面的氧化反应,降低钴离子溶出,保持晶格结构稳定。
要点四:采用该深共晶电解质组装锂金属电池的热关闭功能展示
考虑到聚甲醛(POM),即TXE的聚合产物,具有高结晶性、优良的耐热性,以及在高温下不易导锂的特性,推测当DEE电解质被置于热滥用条件下时,可以在高温条件下关闭传导锂。通过进一步的实验揭示了钴酸锂/锂金属电池在150℃时的热触发自动关闭功能,该功能是通过TXE的快速开环阳离子聚合实现的。新开发的DEE电解质的自动关闭功能可以防止LMB存在的潜在安全风险。
最后,这种智能DEE电解液在其他锂金属电池(如LiFePO4/Li、LiMn2O4/Li和LiNi0.6Co0.2Mn0.2O2/Li)的热滥用条件下热关闭功能也得到很好的验证,具有较好的普适性。这些结果表明所制备的智能DEE电解质是一种非常有前途的高性能LMB的热关闭电解质,这些发现为进一步开发和促进腈基电解质的创新性研究带来了很好的启示。
图6。采用DEE电解质组装LMB的热关闭功能展示: 电池在受到热冲击(150℃)时自动关闭。EIS和分子量测试表明,DEE中TXE的快速聚合引起的离子传导路径的关闭实现了智能电解质的热响应自关闭。
文 章 链 接
Smart Deep Eutectic Electrolyte Enabling Thermally Induced Shutdown Toward High-Safety Lithium Metal Batteries
https://onlinelibrary.wiley.com/doi/10.1002/aenm.202202529
通 讯 作 者 简 介
孙富研究员简介:2017年博士毕业于德国柏林工业大学,材料学专业。2017-2018在德国赫姆霍兹柏林材料与能源研究中心做博士后。2019年加入中国科学院青岛生物能源与过程研究所。研究方向为采用先进同步辐射X射线技术研究高比能锂电池失效机制。目前已使用多座国内外同步辐射装置,包括上海SSRF、日本Spring-8、台湾TLS、德国柏林BESSY II及英国DIAMOND。
相关研究成果以第一(共一)或通讯作者在Adv. Mater., Adv. Energy Mater., Mater. Today, ACS Energy Lett.等国际权威期刊发表论文33篇;申请/授权国家专利7项。目前承担1项国家自然科学基金青年项目、1项国家自然科学基金-河南联合基金项目(共同项目负责人)和1项中国科学院所级百人计划项目。
张波涛教授简介:民革党员,教授,硕士生导师。本科、硕士和博士先后毕业于青岛大学、国家海洋局第一海洋研究所、中国海洋大学。2007年到青岛大学任教。主要从事生物化工、油田化学等方面研究,先后主持、参加过国家科技部海洋公益性行业科研专项、国家自然科学基金、国家海洋局科技攻关项目、“十三五”国家科技重大专项等项目。发表学术论文三十余篇。
张建军副研究员简介:硕士生导师,中国科学院青年创新促进会会员。2011年进入中国科学院青岛生物能源与过程研究所工作,主要研究方向是:高电压聚合物固态锂(钠)二次电池技术及其关键材料。主持承担国家自然科学基金项目3项(面上2项)、中国科学院重点部署项目子课题等项目。以第一(含共一)或通讯作者在Advanced Energy Materials、Small、Energy & Environmental Science等国际权威学术期刊发表SCI论文30篇(其中4篇入选ESI高被引论文),总引用次数2646次。
申请PCT国际专利2项,获得授权欧洲专利1项;获得授权中国发明专利20项,获得授权中国实用新型专利3项。2017年获得青岛市自然科学奖一等奖(第五完成人);2018年获得山东省自然科学奖一等奖(第五完成人);2021年获得青岛市科技进步奖一等奖(第五完成人)。
崔光磊研究员简介:博士生导师,国务院特殊津贴专家,国家杰青和WR计划,中科院深海智能技术先导专项副总师(固态电池基深海能源体系),青岛市储能产业技术研究院院长,国际聚合物电解质委员会理事。
2005年于中国科学院化学所获得有机化学博士学位,2005年9月至2009年2月先后在德国马普协会高分子所和固态所从事博士后研究。2009年2月起于中科院青岛生物能源与过程所工作。2009年入选中国科学院“百人计划”(终期评估优秀),2009年获山东省自然科学杰出青年基金资助,2015年入选山东省“泰山学者特聘专家” 2016年获国家自然科学杰出青年基金资助2018年至2021年,十三五国家重点研发计划新能源汽车专项,高比能固态电池项目负责人。
主要从事低成本高效能源储存与转换器件的研究。作为负责人/课题负责人承担国家自然科学杰出青年基金,国家973计划,863计划,国家自然科学基金面上项目,省部级及中科院先导专项,企业横向项目等多项科研项目。在Nat. Commun.、J. Am. Chem. Soc.、Angew. Chem. Int. Ed.、Adv. Mater.等发表论文300余篇,引用2万余次,申请国家专利210余项,授权113项,申请PCT专利6项,授权欧洲专利1项,出版《动力锂电池中聚合物关键材料》一部。
获得2017年青岛市自然科学奖一等奖(第一完成人);获得2018年山东省自然科学奖一等奖(第一完成人);获得2021年青岛市科技进步奖一等奖(第一完成人)。
第 一 作 者 简 介
张津宁,2021年获得青岛大学硕士学位,在此期间于中国科学院青岛生物能源与过程研究所进行硕士研究生联合培养。研究方向是为高电压锂金属电池智能电解质。
添加官方微信 进群交流
SCI二氧化碳互助群
SCI催化材料交流群
SCI钠离子电池交流群
SCI离子交换膜经验交流群
SCI燃料电池交流群
SCI超级电容器交流群
SCI水系锌电池交流群
SCI水电解互助群
SCI气体扩散层经验交流群
备注【姓名-机构-研究方向】
投稿请联系contact@scimaterials.cn
点分享
点赞支持
点在看

