文 章 信 息
第一作者:孙洪春
通讯作者:曲振平 教授
通讯单位:大连理工大学
论文DOI: https://doi.org/10.1021/acscatal.2c05168
全 文 速 览
本文中,大连理工大学曲振平教授团队在ACS Catalysis上以题为“Construction of CuO/CeO2 Catalysts via the Ceria Shape Effect for Selective Catalytic Oxidation of Ammonia”发表了最新成果。报道了以纳米棒和立方体CeO2为载体的CuO/CeO2催化剂用于选择性催化氧化氨气,Cu/Ce-NR催化剂的(T100 = 240°C, N2 selectivity > 90%, Ea = 37.18 kJ mol–1 )催化性能明显高于Cu/Ce-NC (T100 = 270°C, N2 selectivity > 90%, Ea =86.57 kJ mol–1 )。
研究表明,不同形貌CeO2和CuO之间的相互作用会影响其界面结构和氧空位浓度,Cu+-Ov-Ce3+界面位点是NH3的主要吸附位点,Cu/Ce-NR和Cu/Ce-NC表面硝酸盐种类的差异会影响其iSCR进程,进而影响其催化性能。本研究工作为NH3-SCO技术中利用载体形貌效应调控催化剂界面结构而获得高性能催化剂提供了新的研究思路。
背 景 介 绍
氨气的过量排放会对人体健康和生态环境产生严重的危害,特别是对PM2.5和雾霾的形成,NH3-SCO反应生成氮气和水被认为是控制NH3排放的有效技术。其中,Cu基催化剂的高N2选择性和价格低廉受到了广泛研究。本团队在先前的研究中制备了CuO/CeO2和Cu-Ce-Zr催化剂,在NH3-SCO中展现出良好的反应活性和N2选择性。氧化物与氧化物之间的界面结构对NH3-SCO催化性能起到了至关重要的作用,但其作用机制和反应机理尚不清楚。
在本研究中,研究团队基于纳米棒和立方体CeO2有效构建不同的CuO-CeO2界面,并将其应用到NH3-SCO反应中,通过实验和理论计算揭示了不同形貌CuO/CeO2之间的界面结构和氧空位浓度的差异,Cu+-Ov-Ce3+界面位点是NH3的主要吸附位点,Cu/Ce-NR和Cu/Ce-NC表面硝酸盐种类的差异会影响其iSCR进程,进而影响NH3-SCO催化性能。
图 文 详 情
Figure 1. TEM and HRTEM images of (a,c) Ce-NR, (b,d) Ce-NC, (e) Cu/Ce-NR, and (f) Cu/Ce-NC
要点:
1 采用水热合成法制备了Ce-NR和Ce-NC,并通过浸渍法负载CuO,其载体形貌没有发生改变。
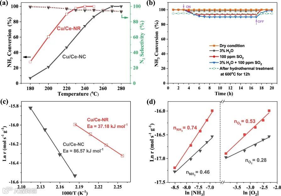
Figure 2. (a) NH3 conversion and N2 selectivity as a function of temperature over CuO/CeO2 catalysts with different morphologies. (b) Influence of H2O, SO2, H2O + SO2, and hydrothermal treatment on NH3 conversion over the Cu/Ce-NR catalyst at 240 °C. (c) Arrhenius plot of the Napierian logarithm of the reaction rates for the CuO/CeO2 catalysts with different morphologies. (d) Reaction orders for NH3 and O2 of Cu/Ce-NR (red) and of Cu/Ce-NC (gray) catalysts at 185 °C. Reaction conditions: [NH3] = 1000 ppm, [O2] = 10%, [H2O] = 3% when used, [SO2] = 100 ppm when used, and a GHSV of 40,000 h–1.
要点:
1、Cu/Ce-NR的NH3-SCO催化活性高于Cu/Ce-NR,N2选择性均高于90%,Cu/Ce-NR的抗硫、抗水和水热稳定性均高于Cu/Ce-NC。
2、Cu/Ce-NR的反应活化能低于Cu/Ce-NC,NH3和O2反应级数的差异对催化性能产生影响。
Figure 3. (a) Powder X-ray diffraction (XRD) patterns of the as-synthesized catalysts. (b) H2-TPR profiles of different CuO/CeO2 and CuO catalysts. (c) DR-UV–vis spectra of the as-synthesized catalysts. (d) XPS spectra of Cu 2p in CuO/CeO2 catalysts with different morphologies.
要点:
1 形貌差异会显著影响其表面氧化铜的状态,Cu/Ce-NR表面具有更多的高分散氧化铜簇和Ce1–xCuxO2固溶体。
2 Cu+物种的存在原因在于界面非对称氧空位的形成,CuO-CeO2界面产生Cu+-Ov-Ce3+界面位点。
Figure 4. (a) Raman spectra and (b) corresponding peak intensity ratios of ID/IF2g for the as-synthesized catalysts. XPS spectra of Ce 3d (c) and O 1s (d) in CuO/CeO2 catalysts with different morphologies.
要点:
1 拉曼结果表明,Cu/Ce-NR中产生更多的氧空位,氧空位有利于气相氧的活化和表面晶格氧的流动。
2 Ce 3d XPS结果表明,Cu/Ce-NR具有更多Ce3+浓度,进一步表明其氧空位浓度高。
Figure 5. Correlation between normalized reaction rates (at 180 °C) for NH3-SCO and the concentration of Cu+-Ov-Ce3+ interface sites and oxygen vacancy (ID/IF2g) over the Cu/Ce-NR and Cu/Ce-NC catalysts. Filled red circles: Cu+-Ov-Ce3+ interface sites; open triangles: oxygen vacancy.
要点:
1 CuO/CeO2催化剂的反应速率与Cu+-Ov-Ce3+浓度和氧空位浓度呈现正相关关系。
Figure 6. In situ DRIFTS results of NH3 adsorption over (a) Ce-NR, (b) Cu/Ce-NR, (c) Ce-NC, and (d) Cu/Ce-NC catalysts after exposure to a flow of 1000 ppm NH3 for 30 min at 30 °C and He purging for 10 min. (e) NH3-TPD profiles of the as-synthesized catalysts. (f) Corresponding peak intensity ratios of I1226/I1117 and the amounts of relevant desorbed-NH3 species (peak β + γ) over the Cu/Ce-NR and Cu/Ce-NC catalysts.
要点:
1 载体CeO2表面上NH3主要吸附在L酸上,负载CuO后,增加了1226 cm-1位置的NH3吸附,实验设计上证明该吸附位点来源于CuO-CeO2界面。
2 NH3-TPD结果表明CuO/CeO2催化剂NH3吸附量高于CeO2,且Cu/Ce-NR的NH3吸附量高于Cu/Ce-NC。
Figure 7. Adsorption energies of NH3 adsorbed on (a) Cu2+ on the surface of CuOx clusters, (b) Cu+ in the Cu+-Ov-Ce3+ interface sites, and (c) Ce3+ in the Cu+-Ov-Ce3+ interface sites. Blue balls are Cu, yellow balls are Ce, and red balls are O.
要点:
1 DFT理论证明Cu+-Ov-Ce3+界面位点中的Cu+是新增的NH3吸附位点。
Figure 8. In situ DRIFTS results of coadsorption of NH3 and O2 over (a) Cu/Ce-NR and (c) Cu/Ce-NC catalysts at 240 °C for 30 min and He purging for 10 min; further reaction between reintroduced gaseous NH3 and in situ formed nitrate species over (b) Cu/Ce-NR and (d) Cu/Ce-NC catalysts at 240 °C. (e) Consumption of the normalized DRIFTS peak area of the dominating nitrate species (monodentate nitrates for Cu/Ce-NR and bidentate nitrate for Cu/Ce-NC) with reaction time. (f) Generation of the normalized DRIFTS peak area of the dominating nitrate species (monodentate nitrates for Cu/Ce-NR and bidentate nitrate for Cu/Ce-NC) with reaction time by introducing gaseous oxygen over the Cu/Ce-NR and Cu/Ce-NC catalysts.
要点:
1 NH3 + O2共吸附原位红外实验表明,单齿硝酸盐是Cu/Ce-NR表面的主要硝酸盐物种,而Cu/Ce-NC表面主要是双齿硝酸盐。
2 NH3会与催化剂表面原位生成的硝酸盐物种反应,且Cu/Ce-NR的硝酸盐的消耗速率快于Cu/Ce-NC。
Scheme 1. Schematic of the Cycle of the Preferential Reaction Path of NH3 Oxidation on the Surface of Cu/Ce-NR and Cu/Ce-NC Catalysts
总 结 与 展 望
本工作研究了不同形貌载体在构建氧化物-氧化物界面中的调控作用和机制,研究中发现Cu/Ce-NR催化剂中具有更多的Cu+-Ov-Ce3+界面位点和氧空位浓度,Cu+-Ov-Ce3+界面位点是主要的NH3吸附和活化位点,氧空位促进了气相氧的活化和表面晶格氧的流动,有利于生成活性氧物种,进一步促进NH3的转化。
同时,NH3与催化剂中原位产生硝酸盐物种的进一步反应是iSCR反应机理进程中的速控步骤,NH3与单齿硝酸盐(Cu/Ce-NR表面主要中间物种)反应性能高于双齿硝酸盐(Cu/Ce-NC表面主要中间物)。本工作对载体形貌效应调控催化剂界面结构和氧空位浓度的研究,为今后设计高性能净化NH3或其他污染物的催化剂提供新思路。
通 讯 作 者 简 介
曲振平教授,大连理工大学环境学院,教育部环境工程与工业生态教育部重点实验室,教授,博士生导师,大气污染控制课题组学术带头人,辽宁省“工业生态与环境工程专业技术创新中心”副主任。入选教育部“新世纪优秀人才”支持计划,任国际期刊“Surface and Interfaces”主编,“Journal of Environmental Research and Public Health”Air section编委,辽宁省环境科学学会大气环境专业委员会委员。
主要从事环境催化与材料、大气污染控制、污染物与温室气体协同催化、有价元素提取及资源化利用等研究。近年来在环境催化体系设计及其在VOCs催化净化、CO2加氢转化、NOx选择催化还原、多源污染物协同净化等方面取得了系列的研究成果。近年来已在“Nat Commun, EST, ACS Catal. Appl. Catal. B, J. Catal.”等国内外期刊发表科技论文140余篇,获授权发明专利15项。
教师主页:
http://faculty.dlut.edu.cn/ZhenpingQu/zh_CN/index.htm
参 考 文 献
Construction of CuO/CeO2 Catalysts via the Ceria Shape Effect for Selective Catalytic Oxidation of Ammonia, ACS Catalysis, 2023, 13, XXX, 1077-1088
https://doi.org/10.1021/acscatal.2c05168
添加官方微信 进群交流
SCI二氧化碳互助群
SCI催化材料交流群
SCI钠离子电池交流群
SCI离子交换膜经验交流群
SCI燃料电池交流群
SCI超级电容器交流群
SCI水系锌电池交流群
SCI水电解互助群
SCI气体扩散层经验交流群
备注【姓名-机构-研究方向】
投稿请联系contact@scimaterials.cn
点分享
点赞支持
点在看

