文 章 信 息
调控胶体量子点表面化学计量比,促进高效光电化学制氢
第一作者:陶毅
通讯作者:彭明发*,张浩*,王康弘*,孙旭辉*
研 究 背 景
光电化学(PEC)制氢提供了一种高效低成本的方法,可通过水分解将太阳能直接转化为可储存运输的氢燃料。胶体半导体量子点(QDs)具有独特的光学/电学特性,如尺寸相关的带隙、良好的光吸收和多激子产生(MEG)效应,被认为是一种有前途的吸光材料。
通过量子点(QDs)敏化金属氧化物半导体(MOS)构建异质结构光电极,可以显著地扩展光吸收范围。然而,由于胶体量子点具有较高的比表面,通常具有大量的表面陷阱态,因此,与量子点相关的表面和界面电荷的动力学(分离、重组和转移)已经成为影响PEC制氢效率的关键问题。
文 章 简 介
基于此,来自苏州大学的孙旭辉教授团队在国际知名期刊Small上发表题为“Surface Stoichiometry Control of Colloidal Heterostructured Quantum Dots for High-Performance Photoelectrochemical Hydrogen Generation”的研究文章。
该工作报道了一种通过调节核壳结构量子点的表面化学计量比来调节界面电荷复合和转移的策略:表面S原子可以作为空穴陷阱抑制电荷的辐射复合;然而,过量的表面S原子的将会在量子点表面形成大量的空穴陷阱并作为非辐射复合中心,引起光生电荷的非辐射复合。
因此,与富Cd和过量富S的量子点相比,优化后的CS-S0.08富S量子点有着适当表面化学计量(Ssurface/Cdsurface = 56%),具有更好的电荷分离和转移效率,其相应的PEC器件的饱和光电流密度可达18.4 mA cm−2 (AM 1.5 G, 100 mW cm−2)。
图1. 核壳结构量子点的表面化学计量比与光电化学制氢性能之间的关系。
本 文 要 点
要点一:核壳量子点的合成与表面化学计量比调控
实验中采用热注法得到CdSe量子,随后采用连续离子层吸附反应(SILAR)在CdSe量子点表面生长4层CdSexS1−x单层(x = 0.8, 0.6, 0.4, 0.2)和2层纯CdS单层,得到CdSe-(SexS1−x)4-(CdS)2核壳量子点(记作CS)。最后以阳离子前驱体(Cd-oleate)和阴离子前驱体(S-ODE)单独处理CS量子点,分别得到富Cd量子点(CS-Cd0.08, 0.08为表面处理中Cd-oleate的用量)和富S量子点(CS-Sx,x = 0.08, 0.16, 0.24,表示表面处理中S-ODE的用量)。
由TEM图可知,CdSe量子点的尺寸约为3.5nm,在生长(SexS1−x)4-(CdS)2壳层后,CS量子点的粒径增至~8.0 nm。进一步经过Cd-oleate或者S-ODE的表面处理后,获得的CS-Cd0.08,CS-S0.08,CS-S0.16和CS-S0.24量子点的尺寸和晶格间距与CS量子点基本一致,并未发生明显变化。
图2. a) CS量子点合成过程示意图及表面化学计量比调控。TEM图:b) CdSe量子点,c) CS量子点,d) CS-S0.08量子点。插图为相应量子点的粒径分布。HRTEM图:e) CdSe量子点,f) CS量子点,g) CS-S0.08量子点。
要点二:核壳量子点的结构表征和表面化学计量比分析
由XRD图可以发现,CdSe核是典型的闪锌矿(ZB)结构,而生长(SexS1−x)4-(CdS)2壳层后,在37.3°处出现了一个新的衍射峰,该衍射峰可归属于纤锌矿(WZ)结构的CdS。Se K边的傅里叶变换(FT)扩展x射线吸收精细结构(EXAFS)光谱证实了核壳异质结构中界面合金层的形成。
对比CS,Cd0.08,CS-S0.08,CS-S0.16和CS-S0.24量子点样品发现,使用Cd-oleate或者S-ODE处理量子点,对量子点的形貌、尺寸和晶体结构没有明显影响。进一步地,考虑到体相元素与表面元素配位环境的差异,我们利用x射线光电子能谱(XPS)研究了表面处理前后量子点的表面组成。明显地,与CS量子点相比,Cd-oleate(S-ODE)表面处理将Cdsurface(Ssurface)的比例从8.3%(5.7%)提高到10.6%(18.1%)。
图3. CdSe、CS、CS-S0.08量子点:a) XRD图谱;b) k2-加权的FT-EXAFS光谱。高分辨率XPS光谱:c) Cd3d, d) S 2s;e) Cdsurface/Cdbulk, Ssurface/Sbulk和Ssurface/Cdsurface比值变化。
要点三:核壳量子点的PEC制氢性能研究
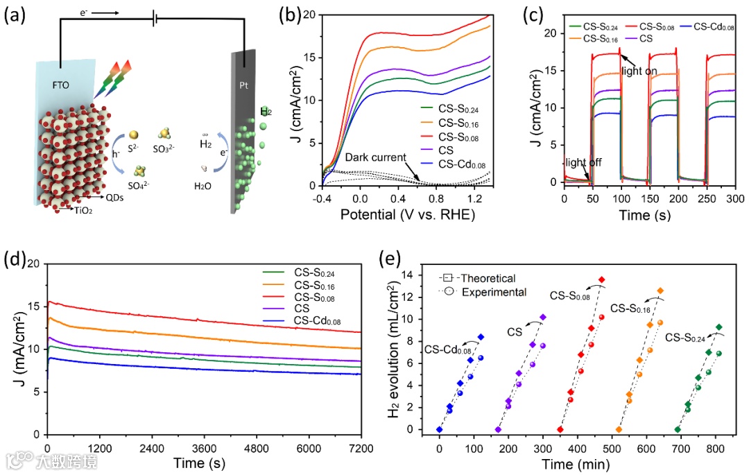
基于CS量子点的光阳极的光电流密度为13.8 mA cm−2。经Cd-oleate处理后,基于CS-Cd0.08量子点的光电流密度降至11.3 mA cm−2;而使用S-ODE处理的CS量子点,基于CS-S0.08量子点的光阳极的光电流密度峰值达到18.4 mA cm−2,这与报道的CdSe/S核壳量子点的PEC体系相当。进一步通过斩波光照下的光电流变化和持续辐照下J-t稳定性测试,证实了量子点基光阳极器件良好的光响应特性和光电化学制氢的性能。
图4. a) PEC器件原理图。基于CS-Cd0.08、CS、CS-S0.08、CSS0.16和CS-S0.24量子点敏化TiO2的光阳极,在含0.25 m Na2S和0.35 m Na2SO3的电解液中: b) 连续光照(实线)和暗光(点线)下的光电流密度电位;c) 斩波光照下光电流密度变化;d)稳定性测量(光电流密度作为时间的函数);e) 理论和实验产氢。
要点四:核壳量子点的光学和载流子动力学分析
与CS量子点相比,富含S的量子点(CS-S0.08、CS-S0.16和CS-S0.24)的第一激子吸收峰几乎保持不变,而CS-Cd0.08量子点呈现轻微的蓝移(~8 nm),这可能是由于其富含Cd的表面上“悬空”S离子的去除。同时,所有核壳量子点的第一激子吸收峰都位于610-618 nm之间(变化小于10 nm),这表明表面处理对合成量子点的光吸收行为影响不显著。
但值得注意的是,实验中所制备的量子点,其发光强度与其表面性质密切相关:富S量子点的发光强度随着Ssurface/Cdsurface比值的增加而逐渐降低。相反,表面S原子较少的富Cd量子点(CS-Cd0.08)的PL强度显著增加,这也证实了S原子的猝灭效应。
利用时间相关单光子计数(TCSPC)拟合得到载流子寿命并进一步计算载流子的转移速率。显然,富S量子点的Ket值高于富Cd量子点,这可能是由于表面S原子诱导的空穴陷阱抑制了辐射重组。然而,进一步将Ssurface/Cdsurface比值从56% (CS-S0.08)提高到84%(CS-S0.24),富S量子点的Ket值明显减小(从5.04 × 107减少到4.16 × 107 s−1),这是因为过量的S会引入大量空穴陷阱,导致电子在量子点表面非辐射地湮灭,而不是转移到TiO2上。
因此,量子点上适当的富S表面通过降低电子/空穴对的辐射和非辐射复合的来促进电荷分离。开路光电压衰减(OCVD)和电化学阻抗谱(EIS)进一步证实了适当的富S表面有利于电极/电解质界面的电荷转移。
图5. 在甲苯中相同浓度的量子点的a) 紫外可见吸收光谱和b) PL光谱。不同量子点沉积在c) TiO2介孔膜上和d) ZrO2介孔膜上的瞬态PL图谱。基于不同量子点敏化TiO2光阳极的e) OCVD图谱和f) Nyquist图谱(圆点表示实验数据,实线为拟合结果,插图为等效电路模型)。
要点五:机理分析
基于上述研究,表面处理对量子点的光吸收行为(带结构)影响不大。因此,我们从光生电荷的分离和转移行为方面提出了表面化学计量学对PEC产氢性能的调制机制:对于富含Cd的量子点(CS, CS-Cd0.08),由于缺乏空穴陷阱,光生电荷倾向于辐射复合,导致电荷分离较差。对于过量的表面富S量子点(CS-S0.16, CS-S0.24),量子点表面会形成大量源于表面S原子杂化悬空键轨道的空穴陷阱。
根据先前的相关研究,这些作为非辐射重组中心的陷阱会加剧光生电荷的非辐射重组,从而阻碍电荷从量子点向TiO2和电解质的转移。这两种情况的光生电荷利用率较低,是其PEC产氢性能较差的主要原因。而CS-S0.08量子点,由于表面S原子的比例适当,同时抑制了光生电荷的非辐射和辐射复合,使得相应的光阳极具有优异的电荷分离和转移效率。这些结果证明了表面化学计量控制在调节半导体量子点光生电荷的分离和转移行为方面的有效性。
图6. 量子点的表面调控增强PEC制氢性能的机理示意图。
文 章 链 接
“Surface Stoichiometry Control of Colloidal Heterostructured Quantum Dots for High-Performance Photoelectrochemical Hydrogen Generation”
https://onlinelibrary.wiley.com/doi/10.1002/smll.202206316
通 讯 作 者 简 介
彭明发,常熟理工学院副教授,2019年于苏州大学功能纳米与软物研究院(FUNSOM)获博士学位。主要研究方向为基于低维半导体纳米结构的光电器件构筑及其性质研究。迄今已在国际学术期刊上发表SCI论文20余篇,其中第一作者/通讯作者论文12篇,包括:Adv. Funct. Mater. (3篇)、Nano Energy (1篇)、Chem. Mater. (1篇)、ACS Appl. Mater. Interfaces (3篇)、J. Mater. Mater. C (2篇),撰写英文专著(章节)1章。申请中国发明专利4项,已授权1项。
张浩,苏州大学功能纳米与软物质研究院讲师,2021年于中国科学院上海应用物理研究所获得博士学位,主要从事同步辐射 X射线谱学在光/电化学领域中的应用,迄今共发表 SCI论文 50余篇,其中以共同第一作者/通讯作者发表论文 15篇,包括:Adv. Mater.、Angew. Chem. Int. Ed.、Nat. Commun.、ACS Nano、Adv. Funct. Mater.等,撰写英文专著 1个章节。
王康弘,东北大学学士,苏州大学硕士,加拿大国立科学研究院(INRS)博士,现为中国科学技术大学苏州高等研究院博士后,主要研究领域为纳米材料可控合成及在能源储存与转化上的应用,例如太阳能电池,光电催化产氢、CO2还原及小分子氧化反应等。在 Nano Energy,Journal of Material Chemistry A等期刊发表文章6篇。
孙旭辉教授简介:苏州大学功能纳米与软物质材料研究院,特聘教授,博士生导师。研究领域包括纳米材料和纳米功能器件及其在新能源(纳米发电机、光解水、锂电池等)、柔性传感器及自驱动传感方面的应用研究,以及同步辐射技术及其在纳米材料研究中的应用。现已在SCI收录国际期刊如J. Am. Soc. Chem.、Adv. Mater.、Angew. Chem. Int. Ed.、Nat. Commun.、Chem. Rev.、Energy Environ. Sci. 、ACS Nano、Adv. Funct. Mater.等上发表论文200余篇,撰写英文书(章节)5章。
获得美国专利3项,PCT专利2项,申请中国专利90余项,已授权50余项。担任国际杂志IEEE Transaction on Nanotechnology副主编,Frontiers in Materials编委会委员,是国际电子电工学会高级会员、国际材料学会、国际X射线吸收谱学会会员,以及国家同步辐射实验室用户委员会副主任、上海光源用户委员会委员,国家纳米标准委员会苏州工作组副组长。承担了国家重大研究计划课题负责人2项,国家基金委联合基金重点项目、重大研究计划培育项目、面上项目负责人等多项,还参与了国家863重大项目、国家02专项等。
课题组链接:
http://funsom.suda.edu.cn/7f/93/c2735a32659/page.htm
第 一 作 者 简 介
陶毅:苏州大学功能纳米与软材料研究所(FUNSOM)博士研究生。主要研究方向为纳米材料(如胶体量子点和金属有机框架)的设计和合成,同步辐射技术(XAS和XPS),以及它们在太阳能驱动水分解中的相关应用。目前已在Nano Energy、J. Am. Soc. Chem.、Chem. Eng. J. 、ACS Appl. Mater. Interfaces等期刊发表多篇文章。
科 学 材 料 站 招 聘 信 息
科学材料站招聘2023年电催化工程师(二氧化碳还原方向,硕士研究生)
同时招收其他方向研究生电化学工程师(电解水、燃料电池、MEA开发等)、本科生(化材专业)、实习生等,详情请咨询!
添加官方微信 进群交流
SCI二氧化碳互助群
SCI催化材料交流群
SCI钠离子电池交流群
SCI离子交换膜经验交流群
SCI燃料电池交流群
SCI超级电容器交流群
SCI水系锌电池交流群
SCI水电解互助群
SCI气体扩散层经验交流群
备注【姓名-机构-研究方向】
投稿请联系contact@scimaterials.cn
点分享
点赞支持
点在看

