文 章 信 息
多功能Sb掺杂硫银锗矿电解质实现优异空气稳定性及锂金属相容性
第一作者:刘洪
通讯作者:范丽珍*
单位:北京科技大学
研 究 背 景
硫化物固态电解质(SSE)被认为是全固态锂电池最有希望的候选者之一,因为它们具有高离子传导性和出色的延展性。然而,空气稳定性差以及与金属锂的不相容性严重阻碍了它们在全固态金属锂电池中的应用。
文 章 简 介
基于此,北京科技大学范丽珍教授课题组,在国际知名期刊CEJ上发表的题为“Versatility of Sb-doping enabling argyrodite electrolyte with superior moisture stability and Li metal compatibility towards practical all-solid-state Li metal batteries”的研究论文。
该研究通过多功能的Sb掺杂策略,用于构建具有优异空气稳定性及锂金属相容的硫银锗矿电解质。通过优化掺杂剂浓度,合成的Li6P0.925Sb0.075S5Cl在室温下具有3.6 × 10-3 S cm-1的超高离子电导率。得益于掺杂会在电解质内部形成对水热力学稳定的SbS43-四面体,该电解质即使暴露于空气或者水中,也显示出了优异的结构稳定性和耐水解性。
Sb掺杂后的Li6P0.925Sb0.075S5Cl可以诱导Li/SSE界面形成Li-Sb合金,从而调节Li+的电镀/剥离行为,降低Li+在阳极界面的扩散能垒,从而使Li对称电池具有良好的长循环稳定性(稳定循环在0.1 mA cm-2超过800 h)和显著提高临界电流密度(1.2 mA cm-2)。最后,无论是暴露前还是暴露后的Li6P0.925Sb0.075S5Cl电解质都能使全电池具有优异的电化学性能。
本 文 要 点
要点一:系统分析了Li6P1-xSbxS5Cl电解质的物相结构
采用高能球磨法制备了一系列掺杂Sb的Li6P1-xSbxS5Cl(0≤x≤12.5%)电解质,通过XRD,拉曼,精修等系统表征了电解质的晶相结构,发现Sb掺杂在晶格中占据4b位点,会与S成键形成SbS43-四面体。
Fig. 1. a) Schematic illustration of the synthesis process for Li6P1-xSbxS5Cll. b) XRD patterns of the prepared Li6P1-xSbxS5Cl (0 ≤ x ≤ 12.5%). c) Magnified XRD patterns for the prepared Li6P1-xSbxS5Cl SSEs in the range of 44° ≤ 2θ ≤ 54°. d) Raman spectra of Li6P0.925Sb0.075S5Cl SSEs compared with Li6PS5Cl and Li3SbS4 SSEs. e) Rietveld refinements patterns for the Li6P0.925Sb0.075S5Cl SSEs. f) Crystal structure of the optimized Li6P0.925Sb0.075S5Cl SSEs.
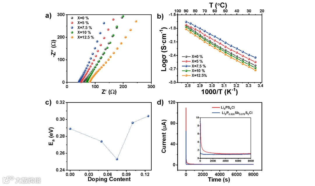
要点二:Sb掺杂的Li6P0.925Sb0.075S5Cl电解质具有优异的电化学性能
通过优化掺杂剂的浓度,所制备Li6P0.925Sb0.075S5Cl展现出了3.6 × 10-3 S cm-1的超高离子电导率。
Fig. 2. a) Nyquist curves at 25 oC and b) Arrhenius plots of the Li6P1-xSbxS5Cl (0 ≤ x ≤ 12.5%) SSEs tested from 25 to 90 oC. c) Variation of activation energy of electrolytes with Sb doping content. d) Current-time curves of SS/Li6PS5Cl/SS and SS/Li6P0.925Sb0.075S5Cl/SS symmetric cells under DC polarization.
要点三:Sb掺杂的Li6P0.925Sb0.075S5Cl电解质具有优异的空气稳定性
得益于在形成了对水热力学稳定的SbS43-基团,Sb掺杂的Li6P0.925Sb0.075S5Cl具有卓越的空气稳定性,在暴露于潮湿空气中有效的抑制电解质结构退化,离子电导率下降及H2S气体的产生。
Fig. 3. a) Optical photographs of Li6PS5Cl and Li6P0.925Sb0.075S5Cl completely immersed in deionized water at room temperature. b) The quantity of H2S gas generated from Li6PS5Cl and Li6P0.925Sb0.075S5Cl upon exposure to humid air. c) XRD patterns and d) Raman spectra of Li6PS5Cl and Li6P0.925Sb0.075S5Cl before and after exposure to humid air. Arrhenius plots of the prepared e) Li6PS5Cl and f) Li6P0.925Sb0.075S5Cl before and after exposure to humid air. g) Schematic diagram of the difficulty degree of PS4 and SbS4 units when reacted with H2O according to the DFT calculations.
要点四:Sb掺杂的Li6P0.925Sb0.075S5Cl电解质具有优异的锂金属相容性
Sb掺杂的Li6P0.925Sb0.075S5Cl电解质能够在负极界面原位形成Li-Sb合金,可以有效的降低Li+扩散能垒和调控Li+在界面处的沉积/剥离行为,从而显著提升与金属锂的界面相容性及对锂枝晶的抑制能力。因此,所组装的Li/Li6P0.925Sb0.075S5Cl/Li对称电池中显示出高的临界电流密度(1.2 mA cm-2)及在优异的锂对称循环稳定性(0.1 mA cm-2稳定循环超过800 h)。
Fig. 4. Galvanostatic Li plating/stripping profiles in the a) Li/Li6PS5Cl/Li and b) Li/Li6P0.925Sb0.075S5Cl/Li symmetric cells at step-increased current densities at room temperature. Polarization curves of the c) Li/Li6PS5Cl/Li and d) Li/Li6P0.925Sb0.075S5Cl/Li symmetric cells at 0.1 mA cm-2 and 0.1 mAh cm-2. e) Li 1s XPS spectra of the interfacial composition concerning the original Li6P0.925Sb0.075S5Cl after cycling between Li and Li6P0.925Sb0.075S5Cl. f) Kinetic energy barriers to Li+ diffusion on Li and Li-Sb alloy based on the DFT calculations. g) Schematic representation of enhanced dendrite inhibition capability and good lithium metal compatibility at the Li6P0.925Sb0.075S5Cl-derived Li anode interface.
要点五:基于电解质组装电池,验证了Sb掺杂策略的多功能性
无论是原始合成的Li6P0.925Sb0.075S5Cl还是空气暴露的Li6P0.925Sb0.075S5Cl都能使全固态锂电池在室温下具有优异的电化学性能。
Fig. 5. a) Schematic diagram illustrating the configuration of the fabricated LNO@NCM/Li6P0.925Sb0.075S5Cl/Li ASSLMBs. b) Cycling capability and c) charging/discharging curves of LNO@NCM/Li6P0.925Sb0.075S5Cl/Li batteries at 0.2C. d) Impedance spectra of the LNO@NCM/Li6P0.925Sb0.075S5Cl/Li batteries before and after 60 cycles. e) Rate performance of the LNO@NCM/Li6P0.925Sb0.075S5Cl/Li batteries f) The initial charging/discharging curves of the LNO@NCM/Li6P0.925Sb0.075S5Cl/Li ASSLMBs using Li6P0.925Sb0.075S5Cl as the SSE before and after air exposure.
文 章 链 接
Versatility of Sb-doping enabling argyrodite electrolyte with superior moisture stability and Li metal compatibility towards practical all-solid-state Li metal batteries
https://www.sciencedirect.com/science/article/pii/S1385894723009142
通 讯 作 者 简 介
范丽珍教授,北京科技大学教授,国家万人计划、科技部中青年科技创新领军人才、科睿唯安高被引科学家。2004年获得清华大学博士学位,师从南策文院士。2003年8月起先后多次在日本东京索尼公司、日本九州大学、德国马普固态研究所(合作教授Joachim Maier)及美国德州大学奥斯汀分校(合作教授John B Goodenough)做访问研究、博士后研究、洪堡基金研究员和访问学者。长期从事固态电池关键材料的研究,在包括Nat. Rev. Mater.、Joule、Adv. Mater.、Adv. Energy Mater. 等期刊发表学术论文200余篇,授权专利23项,省部级奖励1项。
科 学 材 料 站 招 聘 信 息
科学材料站招聘2023年电催化工程师(二氧化碳还原方向,硕士研究生)
同时招收其他方向研究生(电化学、电池、电镀、电解水、燃料电池、MEA开发等)、本科生(化材专业)、实习生等,详情请咨询!
添加官方微信 进群交流
SCI二氧化碳互助群
SCI催化材料交流群
SCI钠离子电池交流群
SCI离子交换膜经验交流群
SCI燃料电池交流群
SCI超级电容器交流群
SCI水系锌电池交流群
SCI水电解互助群
SCI气体扩散层经验交流群
备注【姓名-机构-研究方向】
投稿请联系contact@scimaterials.cn
点分享
点赞支持
点在看

