第一作者:史晓艳
通讯作者:孙志鹏*,Felipe García*
单位:广东工业大学,奥维耶多大学,蒙纳士大学
原文链接:https://doi.org/10.1016/j.cej.2023.142271
金属有机框架材料(MOFs)作为电极材料的应用非常普遍。MOFs前驱体合成路线的选择对于控制MOFs的形态、孔隙度和结晶度都至关重要,强烈影响着它的物理化学性质。除此之外,大规模生产过程中,经济适用性和环境影响也应受到重视。
传统的MOFs合成大多依靠溶剂热法,这也是最常用的合成方式,但它们通常需要大量有机溶剂且反应过程漫长。这些因素增加了制备的成本并对环境造成了负面的影响。然而,采用机械化学法合成MOFs就可以避免上述问题。实际上,无溶剂的机械化学法制备MOFs在过去几年已获得人们的重视,并出现了不少成功的案例。
二维过渡金属碳化物MXenes因其导电性、柔韧性和表面官能团多样性引起广泛关注。研究表明,使用单片层或少数片层MXenes合成的复合材料通常比大块体MXenes合成的材料表现更出色,例如有更好的相间接触或相间界面。因此,人们常使用少层MXenes复合材料以期更好的性能。
然而,MXenes的推广仍面临一些问题:首先,块体MXenes的热力学稳定性较差,需要在连续惰性氛围下剥离,并使用极性溶剂(如去离子水)来确保MXenes的分散,这限制了使用水敏试剂的可能性;其次,为了获得粉末状少层MXenes,在湿法剥离后需要进行冷冻干燥,以防止MXenes重新堆积;最后,MXenes剥离效率和产量较低,且MXenes溶液需要5℃惰性气体下存储。
针对上述难题,广东工业大学的史晓艳副教授、孙志鹏教授与奥维耶多大学的Felipe García教授合作,在国际知名TOP期刊Chemical Engineering Journal上发表了题为“Electrode Materials for Li/Na Storage from Mechanochemically Synthesised MOFs/MXene Composites: A Solvent-free Approach”的文章。他们提出了一种机械化学法制备一系列金属基MOF/MXene复合材料的方法将MOFs的制备以及与块体MXenes的剥离与复合集于一体。该方法具有普适性,避免了繁琐的制备过程和苛刻的存储条件,无需溶剂且环保。
图1. (a)无溶剂法合成CoSe2@C/MX-B;(b)传统溶液法合成CoSe2@C/MX-S;(c)CoSe2@C/MX-B和CoSe2@C/MX-S的粉末XRD衍射图谱;(d)CoSe2@C/MX-B和CoSe2@C/MX-S的氮气吸脱附等温线。
要点一:基于机械化学法合成碳基单金属硒化物/MXene复合材料
通过机械化学法一步合成Co-MOF/MX-B并同步球磨剥离块体MXenes粉末材料,随后对材料硒化退火处理得到了CoSe2@C/MX-B复合材料(图1a)。作为对比,作者采用同样的方式合成了CoSe2@C-B复合材料,并与传统溶液法合成的CoSe2@C/MX-S进行比较(图1b)。复合材料CoSe2@C/MX-B由斜方相和正交相CoSe2、多杂原子掺杂的碳基底以及剥离的MXenes片层组成,内部同时存在中孔和大孔,这种结构有利于载流子的插层和电解质渗透,同时也能缓解电极的体积膨胀(图1c, d和图2f)。
球磨过程中,产生的丰富硒空位导致近邻原子之间电子重新分布,提高了材料的导电性(图S5)。此外,作者使用绿色化学指标对合成策略进行了评估,证明了无溶剂的机械化学法在降低能源消耗和制造成本方面的优势(表1)。并进一步证明了该方法在其他金属MOF/MX-B制备中的普适性(表S2,图S7-9)。
图2. CoSe2@C/MX-B的XPS图谱:(a)Co 2p和(b)Se 3d;CoSe2@C/MX-B形貌表征:(c和d)SEM图像、(e)TEM图像、(f)HR-TEM图像、(g)Mapping图像。
要点二:合理的结构设计助力性能提升
CoSe2@C/MX-B复合材料由均匀分布在多杂原子掺杂碳基底中的小尺寸CoSe2纳米颗粒和机械剥离的片状MXene复合而成(图2c, d, e)。MXene层状结构建立了一个导电框架,同时形成广泛的裂缝状孔隙和大孔洞,接连阻止了Co-MOFs和CoSe2颗粒的聚集,并为电子传输创建出一条快速通道。
同时,中孔和大孔可作为电解质的储存层,缩短离子扩散的距离、缓解体积膨胀。TEM Mapping显示CoSe2@C/MX-B复合材料的C、N、O、P、Ti元素分布均匀,有力支撑了碳基底中多种原子掺杂成功的论证(图2a, b, g和图S10, S11)。杂原子掺杂能够激发电化学活性,强化赝电容效应,抑制硒化物在电极中的溶解。以上种种因素共同为CoSe2@C/MX-B复合材料的强劲性能提供了结构基础。
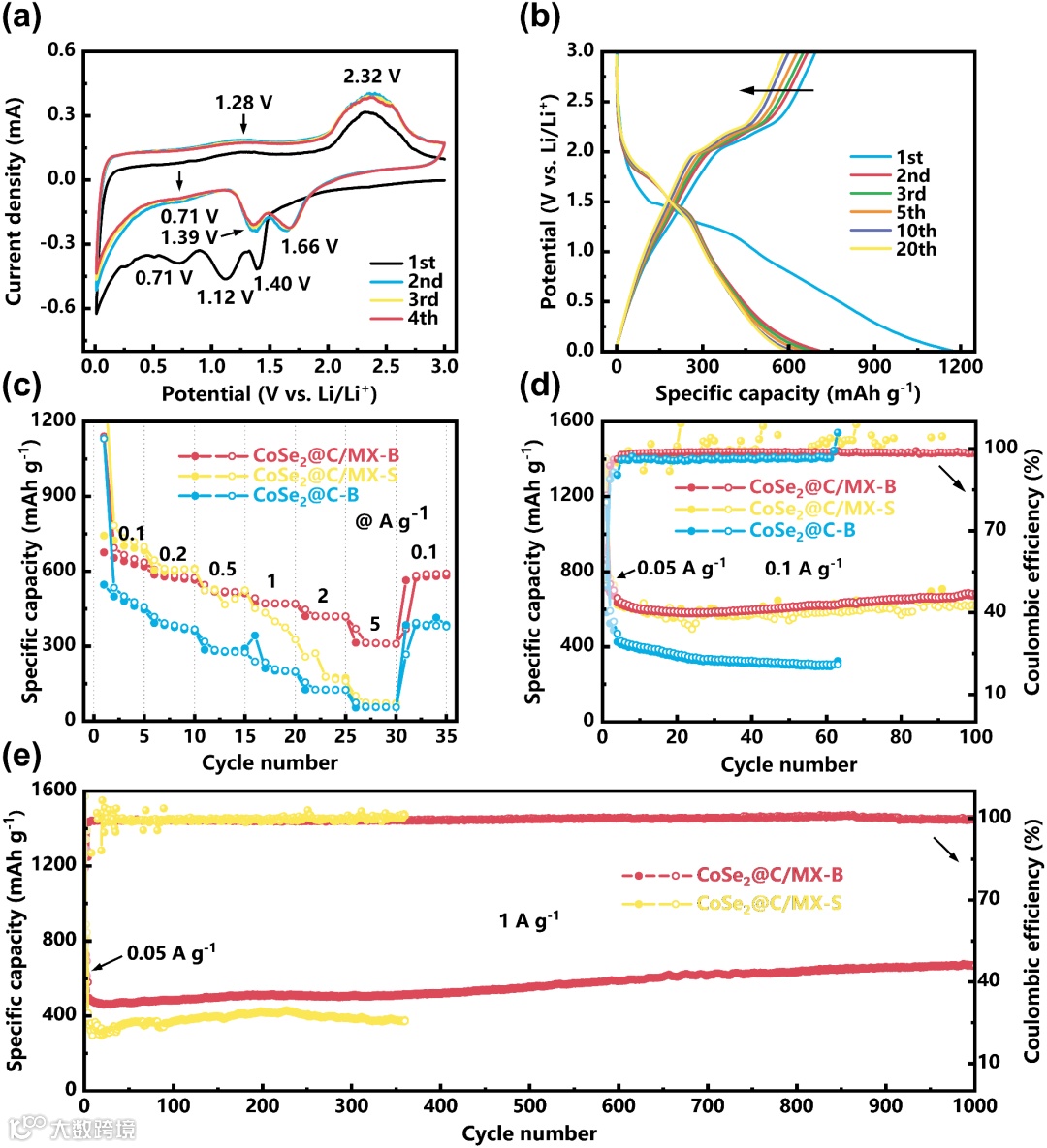
图3. CoSe2@C/MX-B在锂电中的电化学性能表现:(a)前四圈的CV曲线、(b)充放电曲线;CoSe2@C/MX-B、CoSe2@C/MX-S和CoSe2@C-B之间的(c)倍率性能、(d)0.1 A g-1电流密度下长循环性能比较,(e)CoSe2@C/MX-B和CoSe2@C/MX-S在1 A g-1下的长期循环性能表现。
要点三:高性能储锂的构效关系分析
CoSe2@C/MX-B电极在首圈放电过程中活化并形成SEI膜,其后的充放电过程分别对应于Co氧化成CoSe2和LixCoSe2、CoSe、Co的生成(图3a)。材料初始放电容量为1171.6 mAh g-1,可逆性良好(图3b)。如先前报道的那样,CoSe2@C/MX-B首圈充放电效率低下,推测是由碳基质结构变化和广泛的含氧基团引起的(图3c)。
CoSe2@C/MX-B电极中存在着丰富的中孔、大孔结构和硒空位,缩短了离子传输距离并提高了复合材料的导电性。长循环过程中,小电流100圈后比容量为688.7 mAh g-11,容量保持率99%;大电流1000圈后为669.2 mAh g-1(图3d, e)。值得注意的是,电化学聚合物凝胶状薄膜的生长导致了比容量的增加,MXenes及其引起的中孔和大孔是保持性能的关键。
从图中可以明显看出,CoSe2@C/MX-S容量衰减更快且更不稳定,这可能是由于它具有更高的比表面积,电极/电解质接触得到了增强,有助于离子的运输。但是,恰恰是这些增益效果导致了充放电过程中硒化物的聚集,破坏了结构的稳定性。
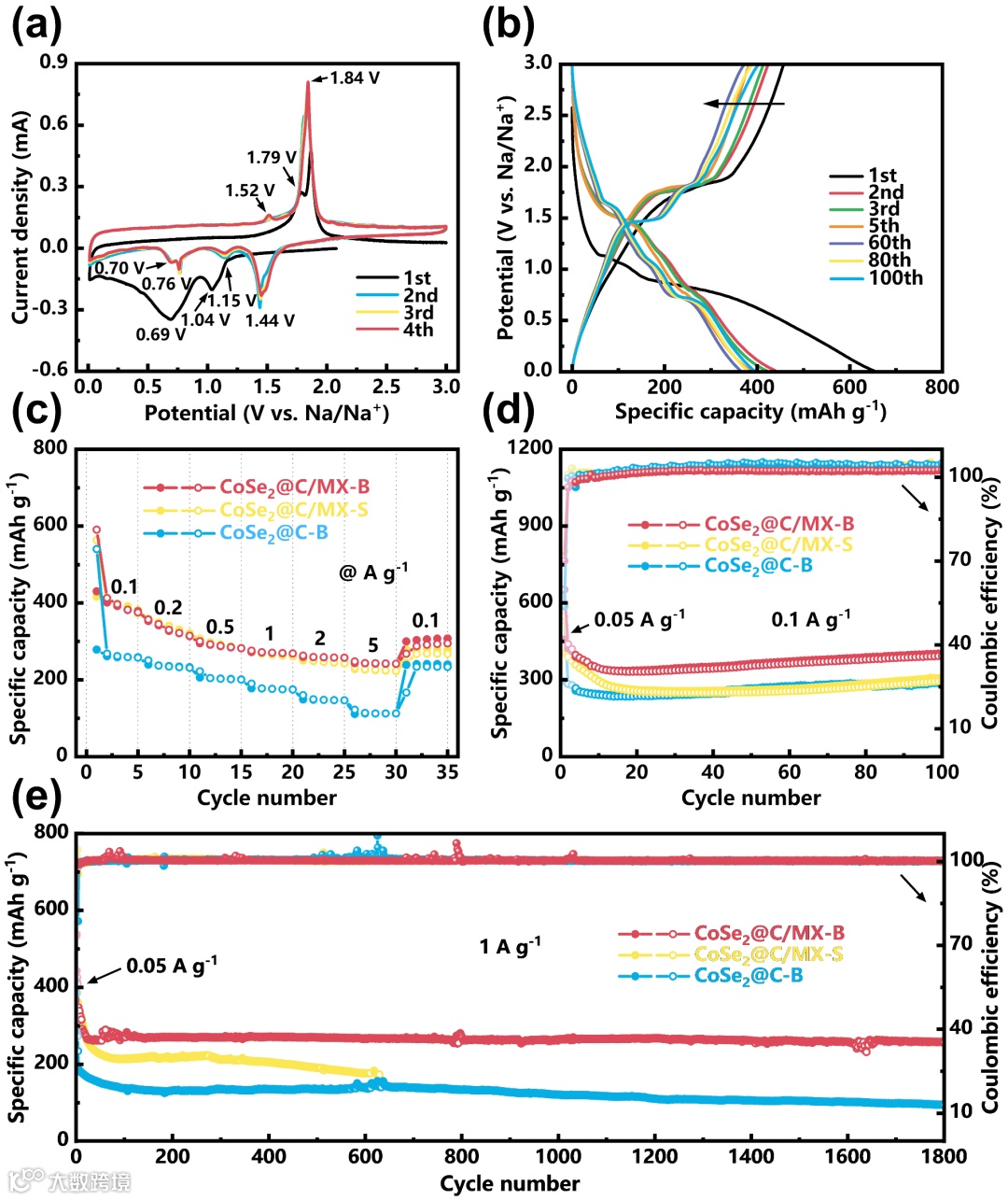
图4. CoSe2@C/MX-B在钠电中的电化学性能表现:(a)前四圈的CV曲线、(b)充放电曲线;CoSe2@C/MX-B、CoSe2@C/MX-S和CoSe2@C-B之间的(c)倍率性能、(d)0.1 A g-1和(e)1 A g-1电流密度下的长循环性能比较。
要点四:高性能储钠的构效关系分析
CoSe2@C/MX-B在钠离子电池中同样表现出了非常高的稳定性和可逆性。循环伏安曲线揭示了材料在嵌钠和脱嵌过程的变化,分别对应CoSe2 - NaxCoSe2 - CoSe - Co和Co - NaxCoSe2- CoSe2两个过程(图4a)。由于电极活化和SEI形成的影响,首圈放电过程中Na+被部分消耗,导致库伦效率降低。
随着循环次数的增加,电极材料中的CoSe2从正交和斜方两相并存逐步转变为单一斜方相(图4b和图S16, 17)。该过程伴随着活性物质的逐步粉末化,微观上表现为CoSe2结晶度的降低;宏观上,CoSe2@C/MX-S表面比CoSe2@C/MX-B出现了更多且更深的裂纹,这意味着电极材料更容易脱落,导致容量进一步损失(图S18)。循环后的Mapping显示CoSe2@C/MX-S的CoSe2颗粒聚集,而CoSe2@C/MX-B并未出现这一情况,这很好解释了两者间的性能演化趋势(图S19, 20)。
在0.1 A g-1电流密度下,放电比容量达到402.9 mAh g-11,而1 A g-1下循环1800圈后保持了259.8 mAh g-1(图4d, e)。整个循环测试中,CoSe2@C/MX-B比CoSe2@C-B展现出了更高的比容量和容量保持率,同样可归因于多杂原子掺杂碳基底和广泛的介孔和大孔网络(图4c)。与锂电中的原因类似,CoSe2@C/MX-S由于更大的电极/电解质接触反而导致了更快的性能衰减。
图5. 钠离子电池中CoSe2@C/MX-B的电化学反应动力学分析:(a)不同扫描速率下的CV曲线;(b)各氧化还原峰的log(i)与log(v)函数关系;(c)不同扫描速率下的赝电容归一化百分比;(d)扫描速率为1.0 mV s-1时赝电容对总电流的贡献情况。
要点五:复合材料的电化学反应动力学行为理解
在CoSe2@C/MX-B的氧化还原反应中,赝电容和离子扩散共同对性能产生了影响(图5a, b)。随着扫描速率的增加,赝电容的贡献率由68.5%升高为82.2%,很好地反应了赝电容行为对总容量的突出贡献(图5c, d)。这种高赝电容贡献的现象可以解释为小尺寸CoSe2颗粒和多杂原子掺杂以及大量中孔、大孔的存在增加了电解质和电极的接触机会与接触面积,从而显著增强了材料的循环稳定性和倍率性能。CoSe2@C/MX-B和CoSe2@C/MX-S对Na+的扩散能力并未表现出太大的差异,这意味着两者之间电化学性能差异的主要原因来自于它们的赝电容行为(图S22)。
总 结 / 展 望
综上所述,本文提出了一种球磨制备一系列金属基MOF/MXene复合材料的方法。该策略为MOF/MXene复合材料的合成提供了一种无溶剂、环保的方式,同时规避了少层MXenes繁琐的制备过程以及苛刻存储条件。此外,所述方法的普适性也得到了证明。这些MOF/MXene复合材料可以衍生成多杂原子掺杂的碳基金属硒化物/MXene复合材料,并进一步应用于储能领域。另外,MXenes的存在也被证明由于其促成了孔隙网络的形成而对复合材料的电化学性能有积极影响。
作为Li/Na存储的应用型电极材料,机械化学法制备的MOF/MXene衍生的电极材料性能表现与传统溶液策略合成的相当。总的来说,研究证明了该无溶剂策略对于合成高性能MOF/MXene衍生电极材料的适用性。这项工作为有着光明前景的储能用MOF衍生活性材料提供了一种环保且普适的制备途径。本研究将为绿色化学合成带来新的选择,有利于高性能电极材料的持续健康发展。
Electrode Materials for Li/Na Storage from Mechanochemically Synthesised MOFs/MXene Composites: A Solvent-free Approach
Xiaoyan Shi, Weiquan Liang, Guoping Liu, Bin Chen, Lianyi Shao, Yanxue Wu, Zhipeng Sun*, Felipe García*
https://doi.org/10.1016/j.cej.2023.142271
史晓艳副教授简介:广东工业大学“青年百人A类”副教授,2018年毕业于新加坡南洋理工大学。2018年至今全职于广东工业大学材料与能源学院工作。长期研究骨架化合物的合成设计与开发应用,相关成果在Angewandte Chemie International Edition、Journal of Power Sources等顶级期刊发表论文20余篇,申请国家发明专利(实审)4件。先后主持国家自然科学基金、广东省科技厅、广州市科技厅、广东省教育厅以及重点实验室开放课题等6项。
个人主页详见:
https://yzw.gdut.edu.cn/info/1117/2040.htm
孙志鹏教授简介:广东工业大学“百人计划”特聘教授,材料与能源学院副院长,“国家海外高层次人才引进计划”特聘专家,江苏省“双创人才”,第六批广东省“珠江人才计划”创新创业团队核心成员。2010年毕业于南京航空航天大学;2009年-2013年先后在新加坡国立大学/新加坡南洋理工大学从事博士后研究。2014年回国后任职于新疆自治区产品质量监督检验研究院,科研管理部副部长,教授级高级工程师。2017年至今任职于广东工业大学,教授。
现主要从事有关新能源存储与转换器件(研究对象:锂/钠离子电池、锂硫电池、超级电容器、燃料电池),介孔功能复合材料和传感器等研究。在国内外著名学术期刊上发表论文90 余篇,出版论著1部,授权国家发明专利 8件。先后主持国家自然科学基金、国家质检总局基金、留学回国人员启动基金、广东省科技厅国际合作基金、新疆自治区科技厅、企业横向等20项。
个人主页详见:
https://yzw.gdut.edu.cn/info/1147/3913.htm
课题组长期招收“校青年百人”教师和博士后,招聘长期有效,有意向者请将个人相关信息(含个人简历及研究成果)发至465184124@qq.com,应聘者请将邮件主题命名为:“姓名-应聘XX”,并在邮件中注明可到岗时间。此外,课题组也常年招收硕士和“申请-考核制”博士生,欢迎有材料、化学、高分子等专业背景的人员报考。诚挚欢迎有志于在相应研究领域中得到锻炼、做出成果的优秀人才加入我们的团队共同奋斗。
课题组主页详见:
https://www.x-mol.com/groups/sun_zhipeng
广东工业大学简介详见:
https://www.gdut.edu.cn/xxgk/xxjj.htm
广东工业大学材料与能源学院简介详见:
https://clnyxy.gdut.edu.cn/xygk/xyjj.htm
科 学 材 料 站 招 聘 信 息
科学材料站招聘2023年电催化工程师(二氧化碳还原方向,硕士研究生)
同时招收其他方向研究生(电化学、电池、电镀、电解水、燃料电池、MEA开发等)、本科生(化材专业)、实习生等,详情请咨询!
添加官方微信 进群交流
SCI二氧化碳互助群
SCI催化材料交流群
SCI钠离子电池交流群
SCI离子交换膜经验交流群
SCI燃料电池交流群
SCI超级电容器交流群
SCI水系锌电池交流群
SCI水电解互助群
SCI气体扩散层经验交流群
备注【姓名-机构-研究方向】
投稿请联系contact@scimaterials.cn
点分享
点赞支持
点在看

