COMSOL Multiphysics
电化学系列专题
COMSOL Multiphysics具有强大的多物理场全耦合仿真分析功能、高效的计算性能,可以保证数值仿真的高度精确,已被广泛应用于各个学科领域。
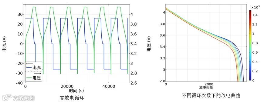
近年来运用COMSOL来解决电化学实际工程问题也越来越普遍。通过电化学仿真技术对电池微观行为进行研究,可以明晰电池内部多现象机理,并将其数值化,实现对物理特征联合计算,建立完整的电池模型。
为解决大家在COMSOL仿真过程中遇到的痛难点,北京软研国际信息技术研究院特举办“COMSOL Multiphysics多物理场仿真应用”电化学系列专题线上培训班,由互动派(北京)教育科技有限公司具体承办,具体相关事宜通知如下:
|
专题一 |
(详情内容点击查看) 2023年3月18日-3月20日 在线直播3天 |
|
专题二 |
(详情内容点击查看) 2023年3月24日-3月26日 在线直播3天 |
01/
课程特色
★
02/
培训讲师
★
03/
课程大纲
★
04/
报名费用
★
05/
增值服务
★
06/
联系方式
★













