文 章 信 息
基于微通道技术合成单晶LiNi0.8Co0.1Mn0.1O2正极材料
第一作者:梁文彪
通讯作者:赵尹*、袁帅*
单位:上海大学
研 究 背 景
传统单晶Li(NixCoyMn1−x−y)O2(x≥0.8, NCM)正极的合成过程中,通常是以通过共沉淀法合成的球形二次粒子作为前驱体。然而,为了颗粒单晶化更彻底,此类前驱体在锂化过程中往往需要比多晶高约100℃的烧结温度,更高的烧结温度反使锂镍混排更为严重,破坏了材料的结构完整性。另外,前驱体的拓扑锂化与热分解之间的竞争反应往往取决于锂盐的可及性,较大的前驱体颗粒无法满足固相反应的均匀性,从而形成空间异质的中间体结构,也不利于形成完整的层状结构。因此,这些问题对高镍单晶NCM正极材料的广泛应用提出了较大的挑战。
文 章 简 介
鉴于此,上海大学袁帅研究员和赵尹副研究员在国际化工类知名期刊Chemical Engineering Journal 上发表题为“Synthesis of single-crystal LiNi0.8Co0.1Mn0.1O2 materials for Li-ion batteries by microfluidic technology”的研究论文。该研究首次采用微通道技术结合固相锂化工艺成功合成了单晶LiNi0.8Mn0.1Co0.1O2正极。
文中采用微通道技术合成了纳米级Ni0.8Co0.1Mn0.1(OH)2前驱体,该材料具有较高的比表面积(93.6 m2g-1),远高于共沉淀法所合成的二次结构前驱体(10 ~ 30 m2g-1),该技术获得的前驱体有效提高了锂化过程中锂盐的可及性,表现出较高的锂化反应化学活性。此外,通过对该前驱体的锂化反应条件进一步优化,最终得到了颗粒尺寸小(3μm)、层状结构良好的单晶LiNi0.8Mn0.1Co0.1O2正极。这项工作有望为设计和构筑高性能单晶高镍正极材料提供一种新的策略,并有可能为其他单晶正极材料的商业应用提供指导。
Figure. 1. Schematic illustration of the preparation process for single-crystal LiNi0.8Mn0.1Co0.1O2.
本 文 要 点
要点一:微通道技术可以快速合成Ni0.8Co0.1Mn0.1(OH)2前驱体
采用微通道合成系统制备了Ni0.8Co0.1Mn0.1(OH)2前驱体,图1是制备过程的原理图。首先,将NiSO4·6H2O、CoSO4·7H2O、MnSO4·4H2O按8:1:1的摩尔比溶解在去离子水中,得到1.0 mol L-1的水溶液(溶液A)。然后,以NaOH (0.18 ~ 0.19 mol L-1)和NH3·H2O (0.15~0.25 mol L-1)的混合溶液作为沉淀控制剂(溶液B)。
随后,将反应溶液A和B同时以50 mLmin-1的流速泵入阀式混合器中,在这个过程中,以氮气气氛保护反应溶液,并用微加热器的将反应温度维持在50℃。在反应过程中,B溶液被泵入B进口,并在微通道反应器中的阀锥周围沿混合区形成环形流动。与此同时,A溶液被泵入A进口,并经过混合板上径向分布的微型通道进入混合区。随后,A和B溶液在混合区内进行快速反应,反应产物则直接从阀锥处离开混合区,并在微通道反应器的出口处收集浆料。在后处理阶段,将获得的浆料在80℃下进行离心脱水、过滤、洗涤,再经过干燥12 h后得到前驱体粉体。
Figure. 1. Schematic illustration of the preparation process of Ni0.8Co0.1Mn0.1(OH)2 precursor by microfluidic technology
要点二:前驱体颗粒具有优异的比表面积和元素均匀性
采用微通道共沉淀法合成了Ni0.8Co0.1Mn0.1(OH)2前驱体。通过BET分析表明(图2b),在优化反应条件下制备的Ni0.8Co0.1Mn0.1(OH)2颗粒具有较高的比表面积93.6 m2 g-1,比传统方法制备的样品(10 ~ 30 m2 g-1)要高得多。此外,TEM分析结果表明(图2c-d), 前驱体颗粒平均粒径约为37 nm, 明显小于传统共沉淀法制备的前驱体(约200 ~ 300 nm)。与此同时,EDS结果也证明,微通道技术在合成纳米尺度前驱体同时也能有效保证元素的均匀性(图2e)。说明微通道技术合成的Ni0.8Co0.1Mn0.1(OH)2前驱体颗粒具有较高的固相反应化学活性。
Figure. 2 Structure and morphology of as-prepared Ni0.8Co0.1Mn0.1(OH)2. (a)XRD pattern, (b) Nitrogen adsorption/desorption isotherms, (c)TEM image and the particle size distribution of sample, (d) the lattice stripes in the randomly enlarged region and (e)EDS mapping diagrams.
要点三:纳米级前驱体更易获得小尺寸单晶颗粒
将前驱体样品与锂盐混合在一起,使用程序加热程序在O2流下加热。非原位SEM测试表明,在保温温度的前3 h内,单个颗粒尺寸显著增大,但颗粒尺寸存在显著差异。但在随着保温时间的增加,颗粒粒径的增长速率逐渐减小。与此同时,由于较小的颗粒优先遵循溶解-再结晶机制,颗粒的尺寸均匀性得到缓慢的改善。最终,当保温时间达到15 h时,获得了颗粒分布相对均匀、层状结构完善的单晶LiNi0.8Co0.1Mn0.1O2正极材料。
图4是在不同的锂化条件下合成的单晶材料SEM图像。可以发现,所有样品均表现出规则的单晶形貌,并且单晶颗粒的尺寸随着烧结温度和Li/TM比值的升高而呈增大的趋势。即便如此,所有材料的平均粒径依然能保证小于3μm,较小的单晶尺寸可克服颗粒沿(003)面的平面滑移,并抑制微裂纹的产生,这对稳定单晶结构有着重要意义。
Figure. 4 SEM images of the as-prepared LiNi0.8Co0.1Mn0.1O2 under different lithiation conditions (a: 850-1.05Li, b:850-1.10Li, c:850-1.20Li, d:900-1.05Li, e:900-1.10Li, f:900-1.20Li, g:950-1.05Li, h:950-1.10Li and i:950-1.20Li)
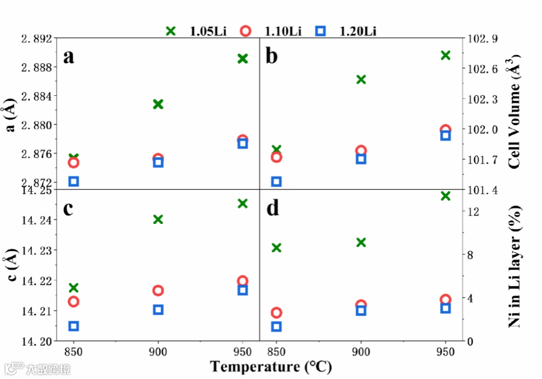
要点四:锂化反应具有最佳合成条件
通过对锂盐配比(Li/TM比值)和锂化温度进行优化,得到了最优的锂化条件。XRD的Rietveld精修结果表明(图5),所有Li/TM比系列样品的晶格参数、晶格体积和阳离子混排(Ni/Li)都随着退火温度的升高而增加。此外,在相同的温度下,晶格参数和晶格体积随Li/TM比值的变化保持相对一致。不同的是,对于阳离子混排(Ni/Li),随着Li/TM比值的增加,Ni/Li值显著降低。最终结果表明,当锂化温度为850℃,Li/TM=1.20时,可以获得良好层状结构的单晶LiNi0.8Co0.1Mn0.1O2材料((Ni/Li = 1.3%, c/a = 4.94581),明显优于报道的基于传统共沉淀法的制备的单晶NCM811正极材料。
Figure. 5 Rietveld refinement results as a function of the annealing temperature and Li/TM ratios
要点五:电化学性能研究
本工作通过优化材料的锂化条件,从而得到了性能良好的单晶正极材料。采用扣式半电池 (CR2032)进行电化学性能分析(图6),制备的单晶正极在0.5C倍率下的首圈放电比容量为187.2 mAh g-1, 且经过100次循环后容量保持率为74.8%。
本工作当前的主要创新之处在于率先提出了一种基于微通道技术的单晶高镍正极的制备方法,并对高活性纳米级前驱体的锂化工艺进行了初步探索。为了全面提升材料的整体性能,后续工作的重点集中在优化材料表面残锂和界面稳定性方面。
Figure. 6(a) Initial discharge capacity and irreversible capacity (IRC) percentage of three samples; (b) Initial discharge capacity and (c) cycling performance at 0.5C of three samples; CV spectra of (d)850-1.10Li, (e)900-1.10Li, (f)950-1.10Li samples
文 章 链 接
Synthesis of single-crystal LiNi0.8Co0.1Mn0.1O2 materials for Li-ion batteries by microfluidic technology
https://doi.org/10.1016/j.cej.2023.142656
通 讯 作 者 简 介
袁帅研究员简介:上海大学纳米科学与技术研究中心/材料复合及先进分散技术教育部工程研究中心研究员、博士生导师,担任理学院副院长、材料复合及先进分散技术教育部工程研究中心副主任、上海大学(浙江·嘉兴)新兴产业研究院副院长。
研究方向为:
(1)高性能电极材料、膜材料及固体电解质材料;
(2)微纳结构材料的电荷传输/转移行为;
(3) 高安全、高能量密度电化学储能器件。
曾承担国家、部级项目10余项等,并作为骨干人员参与科技部国家科技支撑项目等。培养研究生曾获上海市优秀研究生论文奖。已在Advanced Energy Materials, ACS Nano, Nano Energy, Advanced Functional Materials, Journal of Energy Chemistry, Advanced Science, Applied Catalysis B:Environment 等期刊发表SCI论文140余篇,被引5000余次,H-index 43。为两部英文专著撰写章节。申请发明专利100余项,获得WO国际专利4项,及40余项中国授权专利。获省部级奖励1项。担任中国颗粒学会青年理事、上海颗粒学会秘书长、Research on Chemical Intermediate, Batteries期刊编委等学术职务等。
赵尹副研究员简介:上海大学纳米科学与技术研究中心副研究员,博士生导师。博士毕业于华东理工大学材料学专业。主要聚焦在功能纳米材料设计、可控制备及其在电化学储能、光电转换、催化等能源领域的应用。主持承担国家自然科学基金、上海市科委自然基金面上项目、上海市科委科技攻关项目、上海市科委国际合作项目、上海市教委创新项目、法国依视路集团委托项目等。培养研究生曾获上海市优秀研究生论文奖。目前已在Applied Catalysis B: Environmental,Advanced Science, Advanced Functional Materials, Chemical Engineering Journal,ACS Applied Materials & Interfaces,J. Phys. Chem. B等国际知名期刊上发表SCI论文30余篇。
第 一 作 者 简 介
梁文彪简介:现于上海大学材料科学与工程学院,材料科学与工程专业博士研究生,主要研究方向为锂离子电池超高镍单晶三元正极材料的合成及改性。以第一作者身份在Chemical Engineering Journal., Journal of Materiomics等学术刊物上发表多篇研究论文。
添加官方微信 进群交流
SCI二氧化碳互助群
SCI催化材料交流群
SCI钠离子电池交流群
SCI离子交换膜经验交流群
SCI燃料电池交流群
SCI超级电容器交流群
SCI水系锌电池交流群
SCI水电解互助群
SCI气体扩散层经验交流群
备注【姓名-机构-研究方向】
投稿请联系contact@scimaterials.cn
点分享
点赞支持
点在看

