文 章 信 息
揭示高介电常数受体材料在有机太阳电池中的作用
第一作者:张月、何亚昆、曾粮(共同一作)
通讯作者:段春晖*,Christoph J. Brabec*
单位:华南理工大学,德国埃尔朗根大学
研 究 背 景
近年来,随着有机光伏材料和器件工艺的快速发展,单节有机太阳电池(OSCs)的光电转化效率(PCE)已超过19%。然而和无机或钙钛矿光伏器件相比,其效率仍偏低。这主要是因为有机材料通常具有较低的介电常数(εr),导致其在吸收光子后,产生的激子很难直接分离形成自由载流子,而需要额外的能量去分离,这会造成大的能量损失,不利于有机太阳电池器件性能的提升。
因此,开发具有高介电常数的有机半导体材料是解决上述问题的关键。但是,根据已报道的研究发现,有机材料介电常数的提高并不一定能提高器件的光伏性能,有机半导体材料的介电常数与器件性能之间的关系存有争议,这些矛盾的认知严重阻碍了高介电常数有机半导体在光伏器件中的应用。因此,深入全面地了解高介电常数有机半导体对OSCs器件性能的影响是非常必要的。
文 章 简 介
近日,华南理工大学段春晖教授与德国埃尔朗根大学教授Christoph J. Brabec教授合作,在国际知名期刊Small上发表题为“Unraveling the Role of Non-Fullerene Acceptor with High Dielectric Constant in Organic Solar Cells”的观点文章。
该观点文章系统、全面地研究了具有高介电常数受体分子的光伏性能,发现具有高介电常数的受体分子会导致OSCs中的电子迁移率降低以及缺陷态密度、一阶复合和能量无序度增加,这些负面作用对OSCs器件性能的影响已经超过了介电常数增加带来的好处(比如:促进激子解离),从而导致器件性能降低。本工作为具有高介电常数的有机半导体材料的发展及应用提供了有意义的指导。
本 文 要 点
要点一:极性侧链提高受体分子的介电常数
2018年,本课题组通过在ITIC受体分子中引入极性醚链(OE链)设计合成了一种具有高介电常数的受体分子ITIC-OE(J. Mater. Chem. A, 2018, 6, 395–403)。基于此,在本工作中,作者通过将明星受体分子Y6-BO吡咯单元上的支化烷基链替换成支化OE链(图1a),设计合成了一种具有高介电常数的新型受体分子(BTP-OE)。研究发现,支化OE链的引入增加了分子的偶极矩,使受体分子的介电常数由3.28提高到4.62(图1b),除此之外,对光学带隙和能级并没有显著影响(图1c)。
图1.(a)BTP-OE和Y6-BO受体分子的化学结构以及DFT计算得到的几何构型和偶极矩;(b)不同频率下BTP-OE和Y6-BO的相对介电常数;(c)受体分子BTP-OE、Y6-BO在溶液和薄膜状态下的吸收光谱;(d)能级结构示意图。
要点二:高介电常数受体的光伏性能
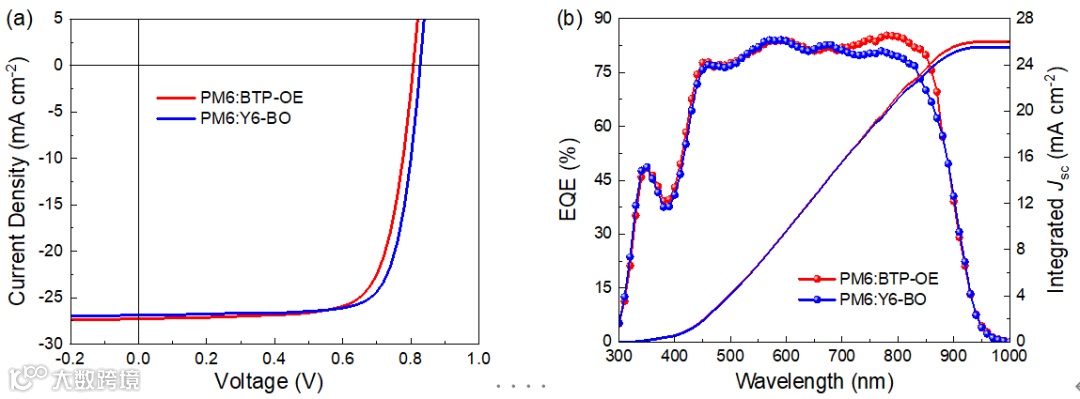
基于这两种不同介电常数受体的最优器件的J‒V曲线和外量子效率(EQE)曲线如图2所示,对应的器件性能参数统计在表1中。其中,基于PM6:Y6-BO器件的开路电压(Voc)为0.83 V,短路电流密度(Jsc)为26.93 mA cm−2,填充因子(FF)为78.53%,PCE为17.44%,而基于PM6:BTP-OE器件,虽然具有高的Jsc(27.27 mA cm−2),但由于较低的Voc(0.81 V)和FF(73.92%),导致PCE降低到16.27%。
图2. 基于不同受体材料的最优器件的(a)J-V曲线和(b)EQE曲线
表1. 基于BTP-OE和Y6-BO的最优器件的性能参数统计表
要点三:高介电常数受体分子对活性层微观结构和形貌的影响
GIWAXS测试表明,OE侧链的引入使BTP-OE分子间的π-π堆积距离增大,同时,分子结晶的相干长度(CCL)减小,这些都不利于BTP-OE薄膜中电荷的传输。基于BTP-OE的共混薄膜中分子的堆积也具有相同的变化,这些结果证明了BTP-OE分子在纯受体膜和共混薄膜中的有序性都低于Y6-BO。AFM和TEM测试结果表明PM6:BTP-OE共混薄膜具有更加光滑和均匀的表面形貌,BTP-OE与PM6之间具有更好的混溶性。
图3. 受体分子BTP-OE、Y6-BO单组分薄膜和共混薄膜的(a)2D GIWAXS衍射图以及(b)面外和面内方向的1D曲线图; 共混薄膜的(c)AFM和(d)TEM图像。
要点四:高介电常数受体分子对活性层中载流子动力学的影响
瞬态吸收、空间电荷限制电流法(SCLC)、阻抗分析仪的测试结果表明(图4),具有高介电常数的受体BTP-OE会导致OSCs中电子迁移率降低、缺陷态密度增加,具有更多的一阶复合。这些变化可归因于BTP-OE分子堆积不紧密、结晶变弱。
图4.(a)PM6:BTP-OE和PM6:Y6-BO共混薄膜中的载流子迁移率统计图;(b)缺陷态密度分布的DOS曲线图;(e)一阶(k1)和(f)二阶(k2)电荷复合的结果拟合参数,以及(g)自由载流子产率Φ(G)。
要点五:高介电常数受体分子对能量无序和能量损失的影响
傅里叶变换光电流谱外量子效率(FTPS‒EQE)和电致发光(EL)测试表明基于BTP-OE的器件中具有大的能量无序度和非辐射复合能量损失,如图5所示,因此,基于BTP-OE的器件具有低的Voc。
图5. 基于PM6:BTP-OE和PM6:Y6-BO共混薄膜器件的(a)归一化FTPS‒EQE光谱,(b)EQEEL光谱以及(c)辐射复合和非辐射复合能量损失统计图,(d)两种器件能量无序和能量损失的示意图
文 章 链 接
Unraveling the Role of Non-Fullerene Acceptor with High Dielectric Constant in Organic Solar Cells
https://onlinelibrary.wiley.com/doi/10.1002/smll.202302314
通 讯 作 者 简 介
段春晖 教授 简介:博士生导师,入选国家级青年人才计划和广东省青年珠江学者。2008年本科毕业于大连理工大学,2013年博士毕业于华南理工大学,2014年至2017年在荷兰埃因霍温理工大学开展博士后研究,2017年起任华南理工大学教授。研究兴趣为有机高分子光电材料及其在有机太阳电池和光探测器中的应用。多次创造聚噻吩太阳电池的世界纪录效率;开发了硼氮稠环、氰基噻吩等多个原创性有机光伏材料体系;提出了多重共振有机光伏材料的学术思想。
至今发表SCI论文110多篇,论文他引6100多次,H因子41,先后19篇论文入选ESI高被引论文;共同主编中文专著1部,参与出版英文专著5部;申请发明专利17项,已获授权8项。曾获2014年高等学校科学研究优秀成果一等奖(第六完成人)、2013年中国青少年科技创新奖等奖励。目前担任中国感光学会光电材料与器件专业委员会副主任委员、国际期刊Energy Materials副主编,是Journal of Semiconductors(半导体学报)、Journal of Functional Polymers(功能高分子学报)、Chinese Journal of Lasers(中国激光)等多个学术期刊的青年编委。
Christoph J. Brabec 教授简介:为德国埃尔朗根纽伦堡大学(FAU)的电子和能源技术材料学院(i-MEET)的院长,此外,他还是首家致力于有机薄膜光伏电池商业化Konarka公司的首席技术官、巴伐利亚州可再生能源研究机构(ZAE Bayern,Erlangen)的埃朗根分部的科技总监以及纽伦堡能源大学(EnCN)的联合创始人。
至今发表SCI研究论文1000余篇,专利100余项,H-指数为90,并连续于2013至2017年度入选汤森路透全球材料学科“高被引科学家”,曾获得“有机光伏领域专利数量最多的年度发明家”(2005年)、有机电子/太阳能电池领域十大引用研究人员之一(2007年)等荣誉,研究领域涵盖了材料科学,纳米科技,能源科技,电子与半导体材料的物理与化学等方面,率先完成了可再生能源领域,特别是在有机可印刷光伏领域,研究体系的系统整合,包括基础及创新研究(i-MEET),大面积印刷技术研究(EnCN)以及应用系统研究(ZAE-Bayern)。
添加官方微信 进群交流
SCI二氧化碳互助群
SCI催化材料交流群
SCI钠离子电池交流群
SCI离子交换膜经验交流群
SCI燃料电池交流群
SCI超级电容器交流群
SCI水系锌电池交流群
SCI水电解互助群
SCI气体扩散层经验交流群
备注【姓名-机构-研究方向】
投稿请联系contact@scimaterials.cn
点分享
点赞支持
点在看

