文 章 信 息
锂金属界面孔洞诱导的固态电解质断裂和锂枝晶穿刺
第一作者:王韦
通讯作者:阮海辉*
研 究 背 景
全固态锂金属电池,因其能量密度高与不易燃的特点,被认为是最具前景的下一代储能系统之一。固态电解质的发明使得人们期待锂枝晶的问题将得到彻底解决,但实验表明事实并非如此。我们对近期相关实验与理论工作进行了总结,以此为基础建立了一个电化学-力学耦合的多相相场模型,对锂金属界面孔洞的形成,固态电解质的断裂与锂枝晶生长进行了复现,并阐述了三者间的紧密联系。本文还对竖向压力(stack pressure), 极限电流密度(CCD),与断裂韧性等关键参数进行讨论,最终提出了以构建侧向压应力场来抑制固态电解质断裂的方法,为提高全固态锂电池的可靠性提供了解决方向。
文 章 简 介
近日,香港理工大学的阮海辉教授在国际知名期刊Advanced Functional Materials上发表题为“Modeling of Void-Mediated Cracking and LithiumPenetration in All-Solid-State Batteries”的文章。
该文章阐述了一种固态电池失效机理:在电剥离(electro-stripping)过程中,锂金属界面孔洞形成,导致在电沉积(electro-plating)过程中锂离子在固态电解质中的不均匀分布,其不均匀性所产生的拉应力场造成电解质断裂,随后,锂离子在电解质裂纹中沉积,形成锂枝晶。通过对失效机理的研究,我们发现侧向压应力被证明能够有效地抑制固态电解质断裂(图1)。
图1.固态电解质断裂与压应力场对其的保护作用。
本 文 要 点
要点一:模型构建并与实验结果对照
实验证明电剥离会在锂金属与固态电解质界面间产生孔洞[1],但孔洞在固态电池失效中所起的作用却不明晰。由此,我们在本文中考虑一个包含有锂金属(p1), 固态电解质(p2), 以及孔洞(p3) 的体系,其中序参量pi 分别代表这三种材料。立足于锂金属与固态电解质界面的一部分(图2(a)), 我们建立了一个电化学-力学耦合的三相相场模型,并根据实验中的电压电流关系对模型做校准(图2(b)), 最终复现Bruce课题组所观察到的固态电解质断裂情形[2]。
图2 计算模型与实验结果验证:a)左:实验文献中,在Li/Li6PS5Cl 界面处的孔洞[1],右:模型示意图。b) 模拟与实验的电流密度 j0与施加电压值Vapply对照图。c, d) 左侧为文献中电沉积后产生的裂纹[2],右侧为模拟结果。
要点二:电剥离过程中孔洞的生长
在电剥离过程中,锂金属表面的锂原子传输速度高于体内,因而孔洞不断生长。在1MPa竖向压力的作用下,锂金属蠕变,其位移轨迹如图3(a-c)中流线所示,由此,得到“草帽形”的孔洞,其尺寸在电化学剥离与锂金属蠕变两者共同作用下稳定在一个固定值。但由于孔洞在剥离过程中的不断涌现与融合,在实验上我们通常观察到更为扁平的多种尺寸的孔洞。锂离子在电解质晶格间隙传导,这样的孔洞导致了锂离子相对浓度的不均匀性(图3(d-f)),但其产生的压应力并不会造成电解质的断裂,与实验结果相符[1]。
图3. 1MPa 竖向应力下,孔洞在电剥离过程中的演化过程:a-f) 为孔洞形态与锂离子相对浓度,分别在1,5 与7s。
要点三:电沉积中裂纹萌生与延伸
电沉积过程中,三相点的锂离子沉积速度最快,由此,最初的半圆形或是“草帽形”孔洞将在电沉积中逐步闭合(图4(d, e))。这样的优势电沉积将造成锂离子在固态电解质间隙中缺失,由于周围环境的束缚而产生较大的拉应力,使得裂纹在固态电解质中萌生(图4(h))。裂纹一旦形成(图4(k)),其尖端则会有应力集中,从而使得裂纹不断向电解质深处扩展。与此同时,在新产生的裂纹上,锂金属继续沉积形成枝晶 (图4(f)),并进一步造成锂离子浓度的不均匀性,加剧裂纹的延伸,甚至产生横向裂纹(图1(c, d))。由于电沉积过程中,孔洞的闭合与裂纹的竞争作用(图4(b, c)), 在实验上通常只能观察到一条长裂纹。
图4. 1MPa 竖向应力下,裂纹与枝晶的形成与演化过程:a) 模型初始状态,b) 固态电解质(Li6PS5Cl)的裂纹长度与时间关系,其插图c)为在2.5s时形态, d-f) p1形态,g-i) p1+2p3 形态, j-l) 无量纲化的应变能(ξ/ξcr)。
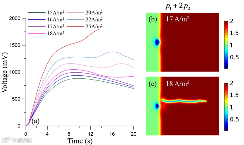
要点四:极限电流密度
在不同的恒电流电沉积下,可得到如下图5(a) 电压与时间图,并可将其归为三种类型:
(1) 电流密度在15-17 A m-2时, 电压先增大后减小,其界面形态表现为孔洞封闭(图5(b)),
(2) 在17-22 A m-2时,电压值升高到最大值后,上下震荡,并伴随着一个缓慢的裂纹延伸(图5(b)),
(3) 大于22A m-2时,电压不断升高,并产生灾难性的裂纹扩展(图4(i) )。
在超过极限电流密度的实验中,总会出现两种不同的现象:在交替的电剥离与沉积循环过程中,(i) 电压值在每次沉积过程中缓慢下降;(ii) 电压值在每次沉积中不断剧烈上升。
现象 (i) 的电压值下降代表着锂金属电极与固态电解质的接触面积增大。裂纹延伸的同时,锂金属不断沉积,使得孔洞闭合,并逐步填充裂纹,使得接触面积变大,电压值下降。现象 (ii) 在较大的电流密度下,裂纹灾难性生长,导致锂金属沉积无法弥补接触面积的缺失,因此可观察到电压值不断的剧烈上升。这样竞争关系,合理地解释了不同的实验现象。
图5. 极限电流密度分析:a) 在恒电流密度(15-25 A m-2)下,电压时间图,b, c) 20s时p1+2p形态,分别在17 与18 A m-2 恒电流下。
要点五:竖向压力的作用
施加竖向压力作为固态电池中最常用的优化方法,被认为可以有效地保证锂金属电极与固态电解质之间的接触面积,从而使得电池的表面阻抗降低,并提升电池性能与寿命。但竖向压力并不是越大越好,在我们的模拟中发现:不外加电流或电压,只施加竖向压力分别为5 和 10 MPa时,通过对锂金属的挤压,孔洞确实变得更小,但在10 MPa时,锂金属在孔洞边缘应力集中,破坏固态电解质,并被挤入其中(图5(a, c))。当我们分别在5 和 10 MPa 下施加恒电压沉积,5MP时,我们发现在孔洞变小闭合前,断裂就已发生,锂金属被挤入裂纹中;在 10MPa时,虽然孔洞几乎完全闭合,但固态电解质被破坏后,大量锂金属嵌入其中,并造成进一步的断裂(图5 (b, d))。
图6. 在5 和 10 MPa竖向压力下,电池的表现:a, b) 分别为0.6 与0.5s时,在5MPa下,考虑与不考虑电化学过程的电池形态。c, d)为10MPa 下。
要点六:侧向压力的作用与稳定性图
既然高的竖向压力不是有效抑制固态电解质断裂的方法,为何在某些实验中它又有效呢?我们认为这是因为对实验装置中侧向约束的忽视。如图7(a), 在典型的电池装置中,固态电解质侧向被套筒所约束。在模型中,我们对固态电解质两侧加上压应力(图7(b)), 其他条件不变。对比图4 (g-i), 在图7(d-f)中,裂纹并没有萌生,最终,孔洞闭合,枝晶并未生长,形成稳定的锂金属/固态电解质界面 (图7(c))。在图7(g-i)中, 界面处由于外加侧向压应力的补偿作用,应变能总是小于断裂所需的临界应变能,即ξ/ξcr<1, 从而保护固态电解质免于断裂。
图7. 施加侧向压应力抑制断裂:a)典型的固态电池装置;b)模型示意图,其余条件不变的情况下施加侧向压应力;d-i)在3 GPa 侧向压应力下,电池形态与ξ/ξcr。
证明侧向压力对固态电解质断裂的显著抑制作用后,我们试图将侧向压应力σ22,固态电解质的临界应变能ξcr,与锂离子在固态电解质中的化学膨胀系数ΩSSE相结合。因不同的固态电解质有不同的杨氏模量E与ξcr, 因而,引入ξcr/E与-σ22/E两个无量纲量, 得到稳定性图 (图8)。每条虚线代表一个不同的化学膨胀系数,在此系数下,不同的临界应变能有对应的压应力大小,以达到图7所示的抑制效果。在虚线的右上方即为稳定区,左下方则为断裂产生区域。稳定性图明确地指出了高断裂韧性的重要性,例如,在相对较小的化学膨胀系数下,即ΩSSE=13.4 cm3 mol-1, 当固态电解质拥有一个相对较高的断裂韧性(103ξcr /E >0.54), 即使没有压应力,电解质也不会断裂。提高陶瓷固态电解质断裂韧性这一内禀性质是困难的,但在固态电解质表面构建压应力场却是易于做到的,例如,可以使用广泛应用于玻璃陶瓷领域的离子交换技术。
图8 关于抑制固态电解质断裂的稳定性图。
参 考 文 献
[1] J. Kasemchainan, S. Zekoll, D. Spencer Jolly, Z. Ning, G. O. Hartley, J. Marrow, P. G. Bruce, Nat Mater 2019, 18, 1105.
[2] Z. Ning, D. S. Jolly, G. Li, R. De Meyere, S. D. Pu, Y. Chen, J. Kasemchainan, J. Ihli, C. Gong, B. Liu, D. L. R. Melvin, A. Bonnin, O. Magdysyuk, P. Adamson, G. O. Hartley, C. W. Monroe, T. J. Marrow, P. G. Bruce, Nat Mater 2021, 20, 1121.
文 章 链 接
Modeling of Void-Mediated Cracking and Lithium Penetration in All-Solid-State Batteries
https://onlinelibrary.wiley.com/doi/10.1002/adfm.202303484
通 讯 作 者 简 介
阮海辉 教授 简介:香港理工大學機械工程系副教授
第 一 作 者 简 介
王韦,香港理工大学在读博士生。
课 题 组 介 绍
https://hhlab.weebly.com/
课 题 组 招 聘
本课题组长期招聘对力学与电化学耦合系统感兴趣的优秀学生。
添加官方微信 进群交流
SCI二氧化碳互助群
SCI催化材料交流群
SCI钠离子电池交流群
SCI离子交换膜经验交流群
SCI燃料电池交流群
SCI超级电容器交流群
SCI水系锌电池交流群
SCI水电解互助群
SCI气体扩散层经验交流群
备注【姓名-机构-研究方向】
投稿请联系contact@scimaterials.cn
点分享
点赞支持
点在看

