文 章 信 息
构建快速的钾化路径从而造就SbxBi1-x@NC材料超高的循环稳定性
第一作者:刘俊濠,张丹彤
通讯作者:刘军*
单位:华南理工大学
研 究 背 景
由于锂资源的稀缺,钾离子电池因其与锂离子电池相似的电化学性能以及钾资源更为丰富的储量,低廉的价格而受到广泛关注。然而,尽管(Sb,Bi)合金用于锂离子电池和钾离子电池负极的研究取得了卓越的进展,但大多数研究仅仅集中在形貌/结构的调整上,却忽视了充放电过程机理的表征以及合金成分对电化学性能影响。
文 章 简 介
基于此,来自华工的刘军教授与深研院的薛冬峰教授合作,在国际知名期刊Small上发表题为“Construction of the Fast Potassiation Path in SbxBi1-x@NC Anode with Ultrahigh Cycling Stability for Potassium-Ion Batteries”的文章。
在该文章中,作者合成了一种棒状结构的锑-铋合金(Sb,Bi),并使用多巴胺在合金表面上自聚合以及在还原气氛下热分解,从而构建了一层氮掺杂的碳保护层,通过该方法制备的SbxBi1-x@NC合金用作钾离子电池负极时展现了优异的循环稳定性以及倍率性能。同时,作者还通过原位XRD以及原位TEM分析了该合金材料在充放电过程中的相变以及体积变化。最后,作者通过DFT理论计算说明了合理的合金成分设计可以有效地构建高速钾化反应路径,从而得到具有优异循环性能以及倍率性能的锑-铋合金负极。
图1. SbxBi1-x@NC的合成路径示意图,充放电过程中的体积变化示意图,合金成分对钾化过程的影响示意图。
本 文 要 点
要点一:独特的氮掺杂碳包覆的纳米棒状锑-铋合金
通过水热反应制备了纳米棒状硫化物(SbxBi2-xS3),此外,通过多巴胺自聚合在硫化物前体表面上覆盖上一层聚多巴胺层,最后在还原气氛中热处理,硫化物还原成SbxBi1-x合金,而多巴胺包覆层热解为氮掺杂的碳涂层,得到终产物SbxBi1-x@NC复合材料。
图二:Sb0.25Bi0.75@NC复合材料(a-c)在不同放大倍数下的TEM图像(d)高分辨TEM图像(e)选区电子衍射花样(f)暗场像(g-j)EDX能谱
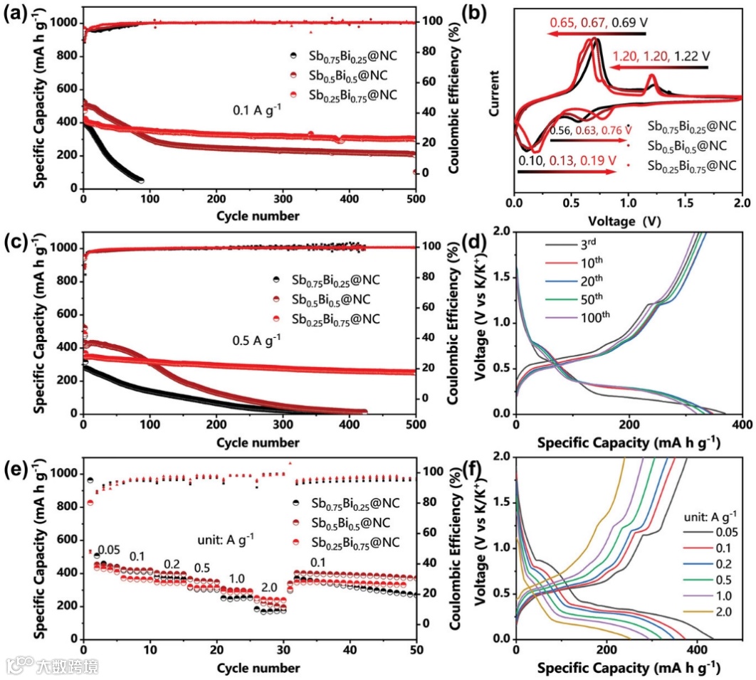
要点二:SbxBi1-x@NC复合材料电化学性能表征
本工作中,采用3M KFSI的DME溶液作为电解液。结果显示Sb0.25Bi0.75@NC复合材料具有优异的循环稳定性,较小的极化电压,以及良好的倍率性能。当电流密度为100 mA g-1时, Sb0.25Bi0.75@NC 合金材料展现出383.6 mA h g-1的高可逆比容量,同时库伦效率提升至96.7%,循环至 100 圈时可逆容量为 350.2 mA h g-1。
令人惊喜的是,循环至 200 圈时Sb0.25Bi0.75@NC 合金负极展现出 327.7 mA h g-1的高可逆比容量,而循环至 500 圈时Sb0.25Bi0.75@NC合金负极展现出 301.9 mA h g-1的高可逆比容量,同时库伦效率均保持在为 99.5%。在电流提升至500 mA g-1时,展现了322.9 mA h g-1的可逆比容量,在循环300圈后比容量下降为275.5 mA h g-1,容量保持率为85.3%,循环500圈后比容量为252.1 mA h g-1容量保持率为78.1%。当电流密度由 50,100,200,500,1000增加至 2000 mA g-1时,分别展现出 454.5,424.7,403.6,367.0,307.9,及 236.6 mA h g-1 的高放电比容量。
图三:SbxBi1-x@NC复合材料(a)在0.1 A g-1电流密度下的循环性能(b)在0.1 mV s-1 扫速下的第三圈CV曲线(c)在0.5 A g-1电流密度下的循环性能(f)在0.5 A g-1电流密度下的不同循环圈数的充放电曲线(e)在不同电流密度下的倍率性能(f)在不同电流密度下的充放电曲线
要点三:通过原位XRD以及原位TEM表征以及探究SbxBi1-x@NC复合材料的充放电机理
通过原位XRD表征了合金负极首圈充放电过程中的物相结构变化,当放电至0.3 V时,(Sb,Bi)合金的物相基本消失,出现了K(Sb,Bi)的对应峰,放电至0.01 V时,K(Sb,Bi)的峰基本消失,取而代之的是K3(Sb,Bi)的合金相。在随后的充电过程中,在充电至1.0 V时,K3(Sb,Bi)合金相完全消失,K(Sb,Bi)相重新出现,充电至2.0 V时,合金负极的特征峰再度出现。原位XRD测试结果说明,在放电过程的伊始,材料的XRD峰的位置以及峰的强度并未发生变化,说明此阶段合金负极的钾化过程中,为在合金负极表面上形成SEI膜,这是一个不可逆的过程,这也对应了该合金负极较低的首效。
在随后的放电过程中,对应着合金负极的首个钾化过程((Sb,Bi)→K1(Sb,Bi)),随后的时合金负极的第二个钾化反应(K1(Sb,Bi)→K3(Sb,Bi))。接下来的充电过程中,合金负极展现了卓越的可逆性,在充电过程中首先K3(Sb,Bi)的XRD衍射峰消失,同时K1(Sb,Bi)的XRD衍射峰出现(K3(Sb,Bi)→K1(Sb,Bi)),随着充电过程的进行K1(Sb,Bi)的衍射峰随即消失,合金负极Sb的XRD衍射峰重新出现。随后,通过原位TEM观察Sb0.25Bi0.75@NC 合金的钾化以及去钾化过程,观察到在钾化过程中,合金纳米棒直径从41.5 nm膨胀至46.1 nm,增加了11.1%,对应体积膨胀37.1%。
图三:Sb0.25Bi0.75@NC复合材料(a)在0.1 mV s-1扫速下的前三圈CV曲线(b)原位XRD结果(c)充放电过程结构变化情况(d)原位TEM观察钾化过程(e)原位TEM观察去钾化过程
要点四:通过DFT计算说明了合理的合金成分设计可以降低K+扩散的势垒,从而构建快速的钾化路径
通过密度泛函理论(DFT)计算,发现模拟的K1Sb0.063Bi0.937和K1Sb0.625Bi0.375的XRD与我们的K1(Sb, Bi)的实际XRD更为一致,这意味着在嵌钾过程中可能形成了两相。对K3(Sb, Bi)相同样进行了理论计算研究。与K1(Sb, Bi)相似,K3Sb0.25Bi0.75相的模拟XRD图谱与实验结果不一致。K3Sb0.875Bi0.125相和K3Sb0.125Bi0.875相的XRD合并图与实验结果一致,说明钾化过程中可能形成了混合相。富Bi的K1Sb0.063Bi0.937和K3Sb0.25Bi0.75中K+的势垒极低,分别为0.06和0.07 eV。而富Sb的K1Sb0.625Bi0.375和K3Sb0.875Bi0.125分别在0.60和0.72 eV时表现出更高的扩散势垒。因此,增加Bi含量有利于K+扩散,提高倍率性能。
图四:(a-c)通过DFT计算得到的K1(Sb, Bi)、K3(Sb, Bi)样品的最低能垒(d)为K1SbxBi1-x和K3SbxBi1-x通过实验和理论建模得到的XRD谱(e)放电过程中的相变(f)实际和理论Sb0.25Bi0.75电压曲线(g)放电过程中的吉布斯自由能图遵循富Sb路径和富Bi路径(h)K1相和K3相的离子扩散能垒。
文 章 链 接
Construction of the Fast Potassiation Path in SbxBi1-x@NC Anode with Ultrahigh Cycling Stability for Potassium-ion Batteries
https://onlinelibrary.wiley.com/doi/full/10.1002/smll.202301444
添加官方微信 进群交流
SCI二氧化碳互助群
SCI催化材料交流群
SCI钠离子电池交流群
SCI离子交换膜经验交流群
SCI燃料电池交流群
SCI超级电容器交流群
SCI水系锌电池交流群
SCI水电解互助群
SCI气体扩散层经验交流群
备注【姓名-机构-研究方向】
投稿请联系contact@scimaterials.cn
点分享
点赞支持
点在看

