文 章 信 息
高效耐久的无金属氧还原电催化剂用于阴离子交换膜燃料电池
第一作者:杨柳,刘会兵,乔泽龙
通讯作者:曹达鹏*,陈忠伟*
单位:北京化工大学,滑铁卢大学
研 究 背 景
燃料电池凭借能量转换效率高、零污染排放等优势得到广泛关注。阴离子交换膜燃料电池(AEMFCs)能使用不含Pt、甚至不含金属的碳材料(metal-free)作为氧还原反应(ORR)电催化剂,合理的成本加之高性能碱性膜的开发,有望促使AEMFCs器件实现和质子交换膜燃料电池相媲美的性能输出。
文 章 简 介
基于此,来自滑铁卢大学的陈忠伟院士与北京化工大学曹达鹏教授在国际知名期刊Advanced Energy Materials 上发表题为“Highly Active and Durable Metal-Free Carbon Catalysts for Anion-Exchange Membrane Fuel Cells”的研究文章。
该工作设计开发了具有石墨N调节缺陷结构的无金属碳催化剂(标记为NDPC-1000)。密度泛函理论(DFT)计算显示石墨N可以有效调整五边形和摇椅缺陷的电荷密度,以达到吸附能-活性火山图的顶部。在此指导下,实验合成的NDPC-1000作为H2-O2 AEMFCs阴极展现出913 mW/cm2峰值功率密度。在0.25 A/cm2下连续运行100小时电压衰减约25%,证明其高稳定性。本研究为AEMFCs开发高性能、耐用的ORR催化剂提供了有效策略。
本 文 要 点
要点一:DFT理论计算预测石墨氮-缺陷构型本征ORR活性
高温碳化过程中不稳定的吡咯N(Pr-N)和吡啶N(Pd-N)流失可产生扶手(armchair,AC)、五边形(pentagon,C5)三种缺陷类型(图1)。与Pentagon 2#相比,armchair和Pentagon 1#缺陷更容易产生,因为它们的形成能较小。我们构建了六个具有九个活性位点的模型,分别研究石墨氮(G-N)与AC和C5缺陷的协同效应。结构表明,G-N通过增强AC缺陷吸附强度提高ORR活性,而通过电子供给促进强吸电子C5物种的中间解吸以提高活性。
图1 不稳定吡咯N和吡啶N脱除后形成的三种理论模型。
图2 理论搭建构型、ORR的自由能图、OH吉布斯自由能(∆GOH)和起始电位的火山图及解离能。
要点二:NDPC-X精准构建及构效关系解析
以MgCl2 6H2O作为硬模板,腺嘌呤作为碳源和氮源,合成了具有分级孔结构的N掺杂多孔碳(标记为NDPC-X,X:碳化温度)催化剂。所合成的NDPC-1000样品具有2446m2/g的大比表面积和2.62cm3/g的孔体积。
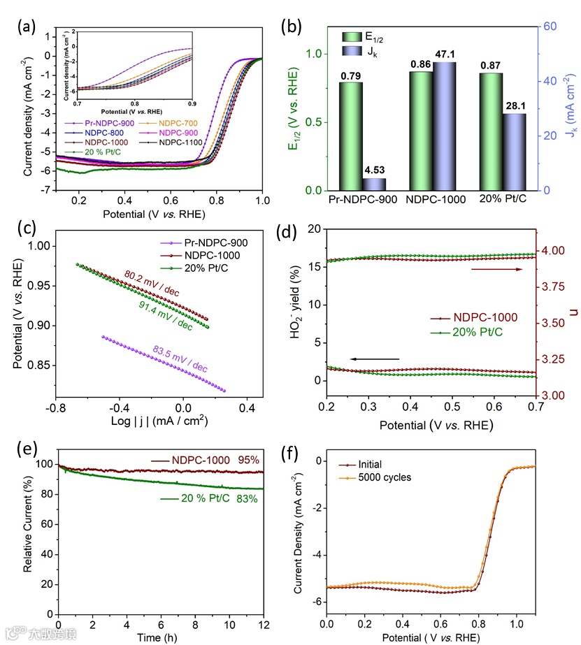
在0.1 M KOH电解液中测试NDPC-X ORR活性。其中,最优的NDPC-1000半波电位达到0.87 V vs. RHE。连续12小时后获得95%的电流保持率,在0.6 V–1.0 V的电势范围内进行5000次电势循环后,半波电位有微小(~7 mV)的衰减。这一结果表明NDPC-1000具有优异的稳定性。
图3 NDPC-1000合成方法及形貌图。
图4 NDPC-X三电极下碱性ORR性能。
进一步,采用拉曼光谱、XPS表征来确定反应活性位。Pd-N被认为是ORR活性位点,然而该NDPC-1000体系中ORR活性和Pd-N含量之间没有直接相关性。与之对比,ORR性能与G-N含量密切相关。先前的研究表明,在碳基质体相中掺杂G-N不能增强ORR活性。因此,我们认为G-N和缺陷的协同效应是合成的无金属催化剂高ORR性能来源,这进一步验证了DFT结果。
图5 NDPC-X的拉曼、XPS测试及与氮的类型与活性相关图。
要点三:以NDPC-1000为阴极催化剂构建高效、长稳定AEMFCs器件
以NDPC-1000为阴极ORR催化剂组装AEMFCs器件。在H2/O2条件下,0.8 V下的电流密度达到261 mA cm-2,高于对比样品单原子铁催化剂(SA Fe/NG,在0.8V时为180 mA cm-2),表明其快速动力学。进一步,NDPC-1000基AEMFC峰值功率密度为913 mW cm-2,与SA Fe/NG基AEMFC(986 mW cm-2)相当。在H2/air气氛下,该器件峰值功率密度达到597 mW cm-2。
更为重要的是,NDPC-1000基AEMFC在H2/O2气氛中表现出优异的稳定性,在250 mA cm-2下连续操作100小时后,电压损失为25%,而在500 mA cm-2下连续60小时操作过程中伴随着22%的电压损失。作为比较,以SA Fe/NG为阴极的AEMFC以相同方式进行10小时稳定性测试后表现出~41%的电压衰减,这表明N掺杂碳ORR催化剂在AEMFC长期运行方面优于SA Fe/NG。
图6 NDPC-1000基AEMFC的极化曲线、峰值功率密度及稳定性曲线。
文 章 链 接
Highly active and durable metal-free carbon catalysts for anion-exchange membrane fuel cells
https://onlinelibrary.wiley.com/doi/full/10.1002/aenm.202204390
通 讯 作 者 简 介
陈忠伟 院士
陈忠伟教授是加拿大皇家科学院和加拿大工程院两院院士,现任加拿大国家讲座教授,Waterloo大学清洁能源先进材料实验室主任、Waterloo大学电化学能源系统中心主任,Renewables期刊主编,国际电化学能源科学学会(IAOEES)共同创始人和副主席。陈忠伟院士的研究团队常年致力于燃料电池,锌空气电池,锂/钠离子电池,锂硫电池,固态电池,液流电池等储能材料和器件的研发和产业化。近年来在Nat. Energy, Nat. Nanotech., Nat. Commun., Angew. Chem., Adv. Mater., Energy. Environ. Sci., 等国际知名期刊发表SCI论文450余篇,被引45000余次,H-index指数118。
课题组主页:http://chemeng.uwaterloo.ca/zchen/
曹达鹏 教授
曹达鹏,北京化工大学教授,博士生导师, 国家杰出青年基金获得者,英国皇家化学会Fellow(2016)。2002年获北京化工大学博士学位。先后在香港大学、新加坡纳米材料公司以及美国加州大学Riverside从事科研工作。2005年至今任北京化工大学教授、博导;现任有机无机复合材料国家重点实验室分子模拟及材料设计研究室主任。
作为项目负责人先后获教育部自然科学一、二等奖各1项;任中国化学会第29-30届理事会理事、以及中国化工学会多个专业委员会委员,现任Engineered Science等多个国际期刊副主编,以及Scientific Reports等多个国际期刊编委。2018—至今 连续入选爱思唯尔中国高被引学者,入选2021年科睿唯安全球高被引学者。主要从事能源催化关键材料(如氢燃料电池,锌离子电池,锌空电池,电解水催化剂等)以及多孔材料(如吸附分离材料、危化品传感检测材料、多孔碳材料等)的多尺度模拟及实验研究。
科 学 材 料 站 招 聘 信 息
科学材料站招聘2023年电催化工程师(二氧化碳还原方向,硕士研究生)
同时招收其他方向研究生(电化学、电池、电镀、电解水、燃料电池、MEA开发等)、本科生(化材专业)、实习生等,详情请咨询!
添加官方微信 进群交流
SCI二氧化碳互助群
SCI催化材料交流群
SCI钠离子电池交流群
SCI离子交换膜经验交流群
SCI燃料电池交流群
SCI超级电容器交流群
SCI水系锌电池交流群
SCI水电解互助群
SCI气体扩散层经验交流群
备注【姓名-机构-研究方向】
投稿请联系contact@scimaterials.cn
点分享
点赞支持
点在看

