文 章 信 息
氧空位与Ni0的协同作用提高CO2重整甲烷反应中Ni/ZrO2低温催化性能的稳定性
第一作者:王晔
通讯作者:孙轶斐*,胡常伟*
单位:北京航空航天大学,四川大学
研 究 背 景
化石燃料燃烧排放的大量CO2造成严重的温室效应,严重威胁生态环境。二氧化碳减排与资源化利用,对解决能源环境问题和实现“碳中和”具有重大的意义。二氧化碳重整甲烷反应(又叫甲烷干式重整反应,DRM反应,CH4(g) + CO2(g) ⇋ 2CO(g) + 2H2(g), KJ·mol-1)是将两种温室气体(CO2和CH4)转化为更具价值的合成气(H2和CO)的有效策略。对于这个反应体系,镍基和贵金属催化剂都表现出较好的催化性能。考虑到成本问题,便宜易得的镍基催化剂是DRM工业化应用中最具潜力的催化剂。然而,在低温条件下面临着低温活性低、因Ni0被氧化为NiO而失活的关键问题。因此研究者们致力于开发一种低成本和高性能的低温镍基催化剂。
文 章 简 介
近日,来自四川大学胡常伟教授与北京航空航天大学的孙轶斐教授合作,在国际知名期刊ACS Catalysis上发表题为“Synergy of oxygen vacancy and Ni0 species to promote the stability of Ni/ZrO2 catalyst for dry reforming of methane at low temperature”的观点文章。
该文章发现Ni/ZrO2催化剂在低温300℃条件下具有较好的稳定性。通过分析CO2的活化情况,结合镍物种、氧物种的原位分析,深入探讨了DRM反应中Ni−O−Zr界面上空位氧与Ni0的协同作用机理。
图1. 二氧化碳重整甲烷中Ni-O-Zr界面上Ni0与氧空位协同作用示意图。
本 文 要 点
要点一:Ni/ZrO2催化剂的低温性能
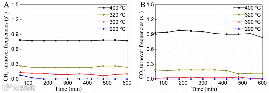
在DRM反应中,CO2在低温难于活化和Ni0被氧化为NiO限制了镍基催化剂的低温催化性能。本文制备了Ni/ZrO2催化剂,在低温(400、320和300 ℃)下表现出10 h的稳定活性,在290℃下反应2小时失活,如图2所示。另外,在400℃条件下,主要发生的副反应是逆水煤气变换反应;在320和300℃条件下主要发生甲烷裂解反应。在不同温度条件下,由于CO2的活化性能导致不同的副反应和催化性能的稳定性。
图 2 不同温度下Ni/ZrO2催化剂的转换频率CH4 (A)和CO2 (B)。
要点二:CO2的活化行为
氧空位可以促进CO2的吸附和活化,从而提高CO2的低温转化。如图3所示,本论文通过CO2-TPO(程序升温氧化)发现,在300℃条件下Ni/ZrO2催化剂因为同时存在氧空位和金属镍物种,能够不断活化CO2和CH4。在300℃条件下的C18O重整甲烷反应中,通过在线质谱仪观察到,当CH4和C18O2减少时,产生少量氢和CO,随着时间的推移,产物含量逐渐增加,而在20分钟后观察到C18O产物。
结果表明,在开始阶段时(前20分钟内)消耗了载体上的O物种,当消耗掉一部分氧物种形成氧空位时才开始转化C18O2,并生成C18O。通过原位XPS可知Ni/ZrO2催化剂在300℃条件下能够维持金属镍状态。因为在H2-TPR实验中发现,Ni/ZrO2催化剂的镍物种在300℃条件下能被还原。
图3 不同反应温度下的Ni/ZrO2的CO2-TPO(a)、O-TPD(b)、原位XPS的Ni 2p(c)和Ni/ZrO2催化剂的H2-TPR结果;(e)C18O2重整甲烷反应实验结果;(f) C18O2重整甲烷反应实验后,CO2重整甲烷的结果。
要点三:Ni-O-Zr界面上Ni0与氧空位的协同催化机理
当甲烷吸附在Ni0位点上后解离为CH3和H物种,并进一步裂解生成C和H2。在金属镍原子上形成的C与邻近的氧反应形成吸附态的CO物种,随后形成CO气体并带走氧物种,同时产生氧空位,即形成Ni−Ov−Zr界面。新形成的氧空位十分接近金属镍,从而可以捕获更多的电荷,并能促进吸附CO2,形成碳酸氢盐和单齿碳酸盐物种,并进一步形成易消除积碳的双齿碳酸盐物种,消除积碳的同时促进CO气体的释放以重建Ni−O−Zr的界面和恢复到原来的Ni0状态。Ni-O-Zr的界面促进碳的去除,而氧空位促进CO2的活化恢复界面和Ni0。氧空位与Ni0之间的协同作用提高催化剂在300℃下的稳定性。而Ni0在290℃被氧化为NiO,导致催化剂失活。
本 文 结 论
Ni/ZrO2催化剂在400、320和300°C下保持10 h的反应活性稳定,在290℃下反应2小时失活。在400℃时,RWGS反应是主要的副反应,这是由于CO2与H2反应而不是消除积碳。而在300℃时,主要发生甲烷裂解反应。在具有更多电子转移的Ni-O-Zr界面上,氧空位与Ni0的协同作用促进CO2的活化。此外,在300℃的DRM反应中,Ni0可以恢复,而在290℃时,Ni0被氧化为NiO,因此在2 h内失活。
本论文提出的Ni-O-Zr界面的氧空位与Ni0的协同作用对解决催化剂低温失活的问题具有重要意义。
文 章 链 接
Synergy of oxygen vacancy and Ni0 species to promote the stability of Ni/ZrO2 catalyst for dry reforming of methane at low temperature
https://doi.org/10.1021/acscatal.2c06412
通 讯 作 者 简 介
胡常伟 教授、博士生导师,四川大学化学学院。Elsevier中国高被引学者,英国皇家化学会会士,获国家教学名师奖,享受国务院特殊津贴,四川省学术和技术带头人。
现任中国化学会、中国化工学会理事;国家教学指导委员会大学化学课程教学指导委员会副主任委员;四川省化学化工学会理事长,绿色化学与技术教育部重点实验室主任。国际可持续发展化学合作中心(ISC3)学术委员会成员(德国),Sustain. Chem. Environ. 副主编,ChemSusChem委员,Catalysts, Biomass, Current Organocatal.编委;英国皇家学会绿色化学系列丛书顾问;《绿色化学》国家教学团队负责人。承担国家重点研发计划项目课题、国家自然科学基金重点项目等研究项目。在Nat. Comm., J. Am. Chem. Soc., Angew. Chem. Int. Ed., Appl. Catal. B., ACS Catal.等刊物上发表SCI论文460余篇。已获国家发明专利30余项,获得省部级以上教学科研奖励及荣誉10余次。
孙轶斐 教授、博士生导师,北京航空航天大学能源与动力工程学院。
担任SCI期刊Waste Manag. 副主编,J. Hazard. Mater.、Sci. Total Environ.、Biochar等SCI期刊编委,担任固体回收资源/燃料国际标准化组织 ISO/TC300 技术委员会、中国环境科学学会固体废物分会等十余个专业委员会副主任委员或委员。主持了国自然联合重点项目,国家重点研发计划课题等共20余项国家级、省部级项目。获天津市技术发明一等奖、中国产学研合作创新成果奖一等奖、环境保护科学技术二等奖。在Adv. Mater., ACS Catal. EST Eng. 等期刊上发表论文100余篇,ESI高被引论文2篇,封面论文4篇,授权/转化国家发明专利17件,公开国际PCT专利2件。
第 一 作 者 简 介
王晔 博士,北京航空航天大学卓越百人博士后,合作导师是孙轶斐教授。博士导师为法国索邦大学的Patrick Da Costa教授和胡常伟教授。
主持国家自然科学基金青年项目、博士后基金项目。从事催化剂设计、合成与制备,及其在焦油催化转化、二氧化碳减排与资源化利用等环境与清洁能源方面的应用。在Adv. Mater., ACS Catal., Appl. Catal. B., Sci. Total Environ., J. Phys. Chem. Lett. Fuel Process. Technol. 等期刊上发表20余篇论文,1篇高被引,3篇封面文章。
添加官方微信 进群交流
SCI二氧化碳互助群
SCI催化材料交流群
SCI钠离子电池交流群
SCI离子交换膜经验交流群
SCI燃料电池交流群
SCI超级电容器交流群
SCI水系锌电池交流群
SCI水电解互助群
SCI气体扩散层经验交流群
备注【姓名-机构-研究方向】
投稿请联系contact@scimaterials.cn
点分享
点赞支持
点在看

