文 章 信 息
均相催化剂在1,3-丁二烯的化工转化中的应用
第一作者:杨寄,王鹏
通讯作者:Matthias Beller*
单位:德国莱布尼茨催化研究所
研 究 背 景
在过去的几十年里,1,3-丁二烯作为一种价廉量广的平台碳基分子已经成为化学工业的热门研究领域。作为自然界中最简单的共轭二烯烃,其独特的分子结构为化学转化提供了广泛的可能性。其中一些典型的化学转化已经在化工生产中得到应用。例如,陶氏化学公司通过利用1,3-丁二烯的可调控聚合过程生产1-辛烯,而杜邦化学则开发了1,3-丁二烯到己二腈的生产工艺。实现这些化工转化的关键在于开发新颖且高效的均相催化剂。
文 章 简 介
近日,德国莱布尼茨催化研究所、德 国 国 家 科 学 院 院 士Matthias Beller教授团队在期刊Industrial Chemistry & Materials上发表题为“Industrially applied and relevant transformations of 1,3-butadiene using homogeneous catalysts“的综述文章。针对1,3-丁二烯在化工转化中应用均相催化剂的研究主题,以均相催化剂的发展和应用为核心内容,系统地介绍了目前1,3-丁二烯在化工生产中所发展的相关催化过程。通过结合反应机理、催化剂研发以及产业化应用等方面的内容,该综述全面而系统地展示了1,3-丁二烯在橡胶工业之外的主要化工转化过程。这篇综述涵盖了若干关键的均相催化工艺和技术,使读者能够清晰地了解到目前该领域的主要进展。
图1. 均相催化剂实现的1,3-丁二烯的化工转化的总结
本 文 要 点
要点一:关于1,3-丁二烯的基本信息
在化学工业中,1,3-丁二烯是最简单的共轭二烯。1863年,法国化学家Joseph-Bienaimé Caventou首次从戊醇的热解过程中分离出1,3-丁二烯,其后在1886年,确立了其共轭双键的结构式。在全球所有化工品中,1,3-丁二烯的产量目前位居第36位,被视为化工领域中最重要的碳四原料之一。预计到2025年,1,3-丁二烯的产能将从2020年的1420万吨增加至近1600万吨(图2)。现阶段,1,3-丁二烯的生产主要依赖于石脑油和原油裂解气C4馏分的高温脱氢反应。值得关注的是,近年来,通过生物质的化学/生物转化过程生产1,3-丁二烯也引起了广泛的研究兴趣。
图2. 1.3-丁二烯的产量和市场规模
现今,1,3-丁二烯已成为最具重要性的大宗化学品之一,其应用领域极为广泛,深入到我们日常生活的各个层面。根据Web of Science核心数据库,自2010年至2022年间,以丁二烯为关键词发表的出版物与专利总计达到了16,211篇(图3,检索日期为2022年11月1日)。这些出版物表明对1,3-丁二烯的研究逐渐受到了越来越多的关注。这篇综述旨在关注工业生产案例以及近期研究中生产其他大宗化学品的一些有前景的化工过程。特别地,此文集中论述了催化体系的开发,以实现1,3-丁二烯向具有高原子经济性功能化学品的转化,从而减少对资源与环境的压力。
图3. 2010-2021年以丁二烯为关键词的出版物数量
要点二:代表性的化工过程
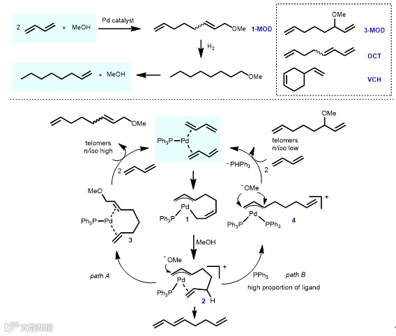
2.1 通过和甲醇的调聚反应生产1-辛烯(陶氏工艺)
陶氏化学公司于 1992 年开发了一条基于 1,3-丁二烯和甲醇调聚反应生产 1-辛烯的商业化生产路线并获得专利,如图4所示。自 2008 年以来,这一工艺在西班牙塔拉戈纳的工厂中得以应用,主要使用石油裂解气中的碳四组分作为原料。在此过程中,关键中间体 1-甲氧基-2,7-辛二烯(1-MOD)在钯/三芳基膦催化体系下得以合成。后来,Evonik Industries 在 2002 年也获得了基于钯/氮杂环卡宾催化体系的专利。
相关工艺可概括为:首先,调聚产物 1-MOD 全部氢化为 1-甲氧基辛烷,产率超过 99%。接下来,通过碱催化高温裂解得到 1-辛烯,收率为 97%,生成的副产物甲醇可循环利用。根据专利资料,第二步和第三步的反应具有高效率和高选择性,相关产品几乎可以实现定量转化。因此,整个过程的效率主要取决于第一步,即 1,3-丁二烯与甲醇的调聚反应。最初,1,3-丁二烯的调聚反应是在 1967 年由壳牌公司的 Smutny 和大阪大学的 Takahashi 分别独立发现的。"调聚"这一术语来源于 1,3-二烯的寡聚与亲核试剂的结合。亲核试剂可以是多种质子型物质,如醇、酸、水、氨、胺和基于生物质的组分等。因此,许多知名的工业和学术实验室对这一高效且具有潜力的反应进行了深入研究。
1. 催化机理
在适当的催化剂存在下,1,3-丁二烯和甲醇的共聚首先生成1-甲氧基-2,7-辛二烯(1-MOD)作为主要产物。为了提高反应效率和选择性,该反应机制受到了广泛关注。Jolly及其同事率先研究了这一过程,特别是通过核磁共振(NMR)监测到烯丙基钯中间体。后来,Beller教授利用具有代表性的钯/膦催化剂对该机制进行了深入研究,揭示了相关副反应,并展示了膦配体在催化过程中的多重作用。扩展的反应机理如图4所示:首先,两个1,3-丁二烯分子在低配位钯(0)活性络合物中心进行氧化偶联,形成配体-钯中间体1。随后,甲醇在C6位点选择性地质子化中间体1,生成配体-钯-复合物2。接着,甲氧基在烯丙基位点(位点1或3)攻击,分别产生直链或支链(1-或3-取代)产物。Beller教授等对上述中间体1和2进行了表征和详细研究。更具体地说,该反应的直链或支链选择性受膦配体的显著调控。较高的三苯基膦/Pd比例有利于得到支链产物3-MOD。与此同时,膦用量不足会导致体系不稳定,进而产生配体氧化和钯金属沉淀。
图4. 1,3-丁二烯与甲醇调聚的机理。
2. 催化剂的发展
陶氏化学的生产工艺中采用的配体为三芳基膦,这种配体在工业规模上相对容易获得。然而,简单的三苯基膦通常只能产生中等效率的催化剂,且其线性/支化选择性不太令人满意。因此,许多研究致力于开发改进性能的新型催化剂。最初的催化剂研究主要关注三芳基膦和三烷基膦配体,其典型的催化结果已在图中总结。通过调整配体的电子特性、空间位阻以及半稳定配位基团的位置和数量,三芳基膦配体的催化效率得到了显著改善。例如,在膦的芳环上引入一个甲氧基取代基,可使1,3-丁二烯的转化率提高26%,使1-MOD的选择性提高15%。当在配体结构中引入两个或三个邻位甲氧基团时,可实现高达94%的选择性。另外,具有对甲氧基的配体9表现出最佳催化活性TON=22784。Carlini及其同事也针对该过程研究了三烷基膦。
一般来说,所测试的配体在低反应温度(60℃)下比三芳基膦的催化效率更高。为了提高催化剂的稳定性并缩短活性催化剂物种形成的诱导期,Beller小组研究了不同的钯配合物作为催化剂前体。例如,使用三苯基膦-钯-(烯丙基醚)催化剂16,反应即使在-10℃下也能顺利进行。同时,包括1,3-二乙烯基四甲基二硅氧烷(dvds)17在内的此类催化剂在空气中稳定,操作简便。在工业生产环境中,monoSPANphos 20在低温下表现出强大的活性,同时在90°C时对该反应具有更高的稳定性。通过对结构与活性的分析,精心设计的主链结构和氧原子的配位特性被认为是这种优越性能的关键因素。
图5. 1,3-丁二烯与甲醇的调聚反应中应用的单膦配体。
进一步地,研究者们探讨了具有不同结构的经典双膦配体(图6)。对于二膦配体,例如DPPM、DPPE、DPPP(n=1-3),其活性相较于PPh3较低。然而,随着配体咬合角的增大,转化率从DPPB 24显著提高至DPPH 25(n=4至6)。为了使催化剂更易于回收,Beller课题组进一步开发了具有联萘骨架的双齿膦26、27,用于1,3-丁二烯和甲醇在有机或两相条件下的反应。迄今为止,具有最高对1-MOD选择性的双齿膦催化剂是配体28和29(在70°C下的选择性为92-96%)。
图6. 其他代表性配体。
N-杂环卡宾(NHC)也是调聚反应中催化剂的重要配体30-34,其性质与膦配体相似。在90°C下进一步减少催化剂负载量30时,结果以1,540,000的效率实现,线性选择性为97%。首要的是,C4 裂解作为1,3-丁二烯的主要来源(C4裂解产物包括42%的1,3-丁二烯、25%的异丁烯、16%的1-丁烯、5%的2-丁烯、5%的异丁烷和7%的其他成分)。Evonik已在德国马尔地区的连续中试工厂中采用该系统,实现了吨级的生产规模。除了对条件和催化剂的研究外,还对其他方面进行了深入研究,包括催化剂回收、双相生产系统、环流反应器内的连续反应以及离子液体作为溶剂等。
2.2 通过与水的调聚反应制备1-辛醇(可乐丽过程)
相较于使用甲醇作为亲核试剂,采用水进行共聚反应在实施上更具挑战性。尽管如此,将1,3-丁二烯与水调聚制备2,7-辛二烯-1-醇的过程仍具有很高的吸引力。类似于先前提及的陶氏过程,可以通过首先进行共聚反应,然后对2,7-辛二烯-1-醇进行加氢反应,从1,3-丁二烯中获得目标化合物1-辛醇。这个独特的调聚反应最早由Atkins于1970年报道。此后,这个过程受到了Kuraray、BASF、Arkema和Mitsubishi等工业公司的广泛研究。Kuraray已在日本实施了这一过程(每年产量超过5000吨)。这一过程的成功关键在于1,3-丁二烯与水在碱性(pH > 7)的含钯催化剂、以2-(二苯基膦基)苯磺酸钠为膦配体的磷酸盐前体、碳酸盐或氢碳酸盐或三级胺的溶液中发生反应。与1,3-丁二烯与甲醇的共聚反应相比,使用水的反应受到二氧化碳存在的正面影响。令人惊讶的是,二氧化碳能有效抑制1,3-丁二烯的二聚化反应。甚至更为重要的是,适当浓度的二氧化碳能加速共聚反应的进行并提高线性产物的选择性。
2.3 1,3-丁二烯双氢氰化反应生产己二腈
另一个在工业领域具有重要意义的催化转化过程是杜邦公司的己二腈生产工艺,目前年产量达到100万吨。己二腈(ADN)是一种关键的化学中间体,不仅用于制造聚酰胺,还广泛应用于生产1,6-己二胺、己二酸、己二胺以及多种医药和农产品(如图7所示)。
在工业生产中,最初是通过1,3-丁二烯的氯化生成1,4-二氯-2-丁烯作为合成己二腈的前体,然后与氰化物盐反应得到己二腈。由于氯的强腐蚀性和该过程产生的大量废物污染,迫切需要发展一种具有更好原子经济性的简化过程。1954年,Arthur及其合作者首次发现Co2(CO)8催化的烯烃与HCN的氢氰化反应是一种经济高效的腈类合成方法。后来,Drinkard提出了一种定制的Ni((ArO)3P)4催化剂体系,具有更高的活性。
研究人员因此将关注点转向了1,3-丁二烯的双氢氰化反应,原则上可以实现100%的原子经济性。1,3-丁二烯的氢氰化反应通过相对稳定的π-烯丙基镍氰化物中间体进行。含有笨重单膦酸酯的16电子配合物[Ni(P(O-tolyl)3)]的分离为研究催化系统的各个方面与镍相互作用提供了合理的起点。Tolman通过1H和31P NMR光谱在溶液中详细研究了镍氢化物以及特别是[Ni(CN)L3H]的形成和分解过程。值得注意的是,这一研究方向已经促成了有机金属化学领域的几项重要发现。1971年,杜邦公司首次将这一过程投入生产。杜邦生产工艺的基本原理是:在Ni催化剂的作用下,1,3-丁二烯与HCN迅速转化为戊烯腈的混合物(线性与支链异构体比例为2:1)。
值得关注的是,实验证明在研究的Ni配合物中,电子效应相较于空间效应在决定催化活性和选择性方面具有较次要的影响。因此,采用大位阻的双齿配体替代单齿膦,从而创造出在活性和效率方面表现更优秀的催化剂。基于此,合成了一系列基于双苯酚的二膦酸镍Ni0络合物,并将其应用于丁二烯的加氰化反应。尽管这些Ni催化剂的选择性相对较低,但它们的催化转化次数至少比工业上应用的杜邦体系[Ni(P(O-tolyl)3)]高出四倍。
图7. 从1,3-丁二烯合成己二腈的方案。
要点三: 1,3-丁二烯未来的潜在工业转化
3.1 通过 1,3-丁二烯的催化羰基化合成己二酸酯
脂肪酸酯和己二酸在聚合物工业中具有核心地位,约75%的脂肪酸酯产量用于尼龙制造。目前,全球脂肪酸酯年产量超过500万吨,年均增长率为4%,预计到2025年市场规模将超过110亿美元。然而,脂肪酸酯生产过程中产生的废酸和氮氧化物气体对环境造成严重污染。以2016年为例,仅己二酸生产就占化工行业37.3百万公吨气体排放的20%(包括二氧化碳、甲烷和二氧化氮)。值得关注的是,氧化亚氮的温室效应潜能比二氧化碳高出300倍。为了平衡不断增长的脂肪酸酯需求并减少对环境的负面影响,迫切需要实施更环保且原高子经济的化学过程。
在这方面,金属催化的1,3-丁二烯羰基化制备己二酸酯是一种有潜力的替代方法。1,3-丁二烯的线性选择性双氢甲酰化反应在工业和学术研究中引起了广泛关注。但这种双氢甲酰化反应具有挑战性,因为反应速率缓慢、存在区域选择性问题,以及在碱性或酸性介质中低产物稳定性,导致大量不必要的副产物。此外,醛中间体的Aldol加成反应性使得该过程与传统的工业蒸馏技术不兼容。最近,Yang及其同事开发的QIBEBT-膦酸酯38对从1,3-丁二烯制备己二醛醛酸的收率略有改善,达到54%。
图 8. 1,3-丁二烯线性选择性二氢甲酰化的代表性配体。
除了双氢甲酰化反应,直接利用醇/水作为亲核试剂合成脂肪酸酯的1,3-丁二烯羰基化反应在学术界和工业界都备受关注。这些具有100%原子经济性的反应将使脂肪酸酯/酸的生产过程更加环保(参见图9)。然而,这些催化过程也面临一系列挑战:(1)催化剂需要连续介导两种不同的羰基化反应,这对其活性和稳定性提出了较高要求;(2)为了获得线性的二羰基产物,反应中间体必须经历一种热力学上特别不利的异构化反应;以及(3)必须抑制多种副反应,如缩聚反应、羟基化反应、羧基缩聚反应以及(共)聚合反应,以提高脂肪酸酯的产率。
图9. 由 1,3-丁二烯合成己二酸酯的复杂反应网络。
Beller教授课题组将2-吡啶基单元引入到各种双齿膦中。在所得到的配体中,1,2-双(叔丁基(吡啶基)膦烷基)甲基苯(pytbpx,41)在乙烯羰化反应(Lucite α过程)中表现出优异的活性。这一发现极大地提高了催化剂的效率,实现了烯烃的高效烷氧羰化反应,包括苛刻的四取代烯烃。例如,乙烯羰基化反应表现出TON >1,425,000和选择性 >99%。
图10. 钯催化 1,3-丁二烯羰基化的配体进展和反应开发。
在2000年至2008年期间,Shell的Drent及其团队开发了一种巧妙的两步合成己二酸的方法。首先,生成戊烯酸,然后从反应体系中经蒸馏提取,随后在第二步羰基化过程中暴露于高浓度水作为亲核试剂。尽管这种连续过程简化了相关步骤和操作,但由于两个步骤的条件发生了变化,整个过程仍然存在一定局限性。为此,Beller教授团队设计了一种多功能催化剂HeMaRaphos 43,它融合了两个基本组成部分,以控制反应活性和选择性:立体和电子富集的双叔丁基膦部分有助于C=C键的迅速异构化,而叔丁基-2-吡啶基膦基团则促进活性Pd-氢化物配合物的生成,增强关键的醇解步骤。实际上,利用Pd-HeMaRaphos催化剂,通过1,3-丁二烯的二羰基化合成己二酸盐,实现了高达95%的产率和97%的线性选择性。此外,这种催化系统还有效地用于许多其他亲核试剂的转化。在考虑工业实现这一过程时,值得注意的是,除了技术上的成功之外,实施该方法还将高度依赖于不同原料价格的波动(如苯与1,3-丁二烯)。
3.2 1,3-丁二烯与 CO2 调聚成 EVP
自工业革命以降,二氧化碳排放持续增长,成为全球气候变暖的主要驱动因素。为了应对这一挑战,将二氧化碳作为一种环保且具有实用性的反应物进行化学转化,为合成各种有价值的化学品提供了可能性。在这个背景下,研究者将1,3-丁二烯与CO2可调聚合,形成3-乙基-6-乙烯基四氢-2H-吡喃-2-酮(EVP),以便获得精细化学模块。
这种反应最早是在1970年代由Inoue和Musco探讨的。为了提高反应效率,后来研究人员开发了许多基于钯的催化系统。较早期,Beller团队提出了一种Pd2dba3/TOMPP体系,该体系不需要复杂的反应条件或昂贵的添加剂,可催化生成目标产物EVP,产率达到67%。最近,董开武教授团队研发了一种基于三苯基膦的配体44,作为无促进剂的共聚合体系。通过在PPh3配体中加入羟基,实现了活性(TON高达4540)和选择性(EVP和δ-内酯异构体高达97%)的显著提升。由于EVP含有多种官能团,它能被转化为各式各样有趣的精细化学品和聚合物单体。例如,已有报道表明,EVP经过加氢可以得到2-乙基庚酸,这种化合物不仅被广泛应用于润滑剂,还被用作PVC的稳定剂。此外,近年来,利用EVP作为单体合成高性能聚合物的研究受到了关注。
图11. 1,3-丁二烯与 CO2 的调聚和代表性催化系统。
3.3其他化学转化
除了前述反应,1,3-丁二烯还能发生许多其他有趣的转化反应。例如,在工业应用中,1,3-丁二烯的环二聚化反应具有很大吸引力。这一过程采用了镍(0)/膦配合物作为催化剂体系。生成的环辛二烯(COD)可以通过与乙烯的烯烃转化反应,进一步生成1,5-己二烯。1,5-己二烯是一种有价值的中间体,例如可通过羰基化反应制备亚油醛。另一方面,对COD进行选择性加氢可生成重要的化学品环辛烯,或直接加氢生成环辛烷。环辛烷可进一步氧化为用作尼龙6/8前体的癸二酸。同样,乙烯基环己烯(VCH)也可通过1,3-丁二烯的两分子间的Diels-Alder反应获得。VCH已被进一步转化为乙基苯或苯乙烯。此外,近年来已有许多学术上有趣的1,3-丁二烯官能团化反应被报道,包括氢硼化反应、氢硅化反应、氢氨化反应等。研究这些新方法可能为将1,3-丁二烯转化为具有工业应用潜力的化学品提供更多可能性。
文 章 链 接
Industrially applied and relevant transformations of 1,3-butadiene using homogeneous catalysts
https://doi.org/10.1039/D3IM00009E
通 讯 作 者 简 介
Matthias Beller 教授简介:德国莱布尼兹催化研究所的所长,莱布尼兹协会的副主席,德国国家科学院院士。担任Industrial Chemistry & Materials期刊顾问编委。于1989年取得哥廷根大学大学有机化学博士学位,1990年于麻省理工大学K. B. Sharpless (两次诺贝尔化学奖得主,美国国家科学院院士,中国科学院外籍院士)课题组从事博士后工作。他的团队研究的重点是可持续精细/大宗化学品和针对能源技术的均相和异相催化,截至目前在包括Science、Nature等国际期刊上发表了超过1100篇文章,h指数为148,总被引量近89000次,申请德国、欧洲等国际专利100多项,多项科研成果实现了工业应用。入选2022年度科睿唯安高被引科学家榜单和2022年全球前2%顶尖科学家榜单。
个人主页:https://www.catalysis.de/en/people/beller-matthias
第 一 作 者 简 介
杨寄,博士,于2017年在中国科学院上海有机化学研究所获得硕士学位,并在2017年至2020年间在德国莱布尼茨催化研究所(LIKAT Rostock)继续攻读博士学位。在该研究所,他开发了一种将羰基化反应路径应用于尼龙前体制备的方法。目前,作为马里兰大学的博士后研究员,其研究方向集中在极端材料和催化剂的开发。
王鹏,博士,于2018年从华东师范大学获得物理化学博士学位,之后从2018年至2022年在上海有机化学研究所(SIOC)和莱布尼茨催化研究所(LIKAT)担任博士后研究员。目前作为化学工程师,其研究兴趣集中于不饱和烃的氢甲酰化反应。
添加官方微信 进群交流
SCI二氧化碳互助群
SCI催化材料交流群
SCI钠离子电池交流群
SCI离子交换膜经验交流群
SCI燃料电池交流群
SCI超级电容器交流群
SCI水系锌电池交流群
SCI水电解互助群
SCI气体扩散层经验交流群
备注【姓名-机构-研究方向】
投稿请联系contact@scimaterials.cn
点分享
点赞支持
点在看

