文 章 信 息
通过双(5-氯噻吩-2-基)烷烃添加剂调节水平相分离和垂直方向组分分布开发高效倒置结构PM6:Y6太阳能电池
第一作者:王维
通讯作者:肖生强*
单位:武汉理工大学
研 究 背 景
体异质结(BHJ)聚合物太阳能电池凭借质轻、柔软、可卷对卷大规模印刷生产等优势,成为了未来绿色能源技术的一个重要选项。近几年,聚合物太阳能电池在高性能给体/受体材料开发、活性层形貌调控、界面工程等方面均取得了重要进展,单结器件的光电转换效率(PCE)记录已超过19%。对BHJ聚合物太阳能电池而言,其所有光电转换过程的进行都依赖于在溶液加工过程中给体与受体共混形成的多尺度分级薄膜结构。换言之,如何优化活性层形貌使其适配高效光电转换过程所需的给受体能量与空间分布,对电池器件获得高光电转换效率至关重要。
目前,添加剂工艺是一种精细调控体异质结活性层形貌的关键且通用的加工技术。对能级匹配的给体和受体材料而言,高效的添加剂可优化两者在活性层中分子排列,调节正向或倒置结构器件中的活性层形貌达到理想状态,进而使每一步光电转换过程均尽可能达到最佳效率。这为充分挖掘材料的性能、提升聚合物太阳能电池光电转换效率发挥了重要的作用。因此,随着具有不同聚集特征的高性能给体与受体材料不断推出,对高效添加剂的需求也不断增长。
文 章 简 介
近日,来自武汉理工大学的肖生强研究员,在国际知名期刊Chemical Engineering Journal上发表题为“Efficient Inverted PM6:Y6 Solar Cells with Tuned Lateral Phase Separation and Vertical Composition Distribution via Bis(5-chlorothiophen-2-yl)alkane Additives”的研究文章。该文章报道了一类具有不同链长的氯代噻吩基烷烃类添加剂,依托于经典的倒置结构PM6:Y6器件,对标代表性的CN添加剂,对其作为液体添加剂时在活性层形貌调节与器件性能优化上的作用进行了研究。
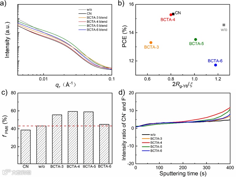
图1. BCTA-m (m=3, 4, 5, 6)添加剂优化的PM6:Y6倒置器件中器件性能与水平相分离、垂直组分分布的关系
本 文 要 点
要点一:卤代芳环结合烷基链的二合一添加剂设计策略
在已报道的添加剂中,卤代添加剂已被证明是对高性能PSC器件开发最为有效的添加剂种类之一。具有不同分子结构特点的非共轭溶剂添加剂(如1,8-二碘辛烷DIO)和含有共轭骨架的卤代添加剂(如1-氯萘CN,2,5-二溴-3,4-二氟噻吩FBrT,1,4-二碘苯DIB)均已被发现能有效优化活性层形貌。在本文中,提出了一种将这两类卤代添加剂的结构特点合二为一的设计策略,并基于该课题组之前开发的噻吩类烷烃添加剂(J. Mater. Chem. A, 2018, 6(42), 20788–20794),设计并合成了具有不同亚甲基数量(m)的氯代噻吩基烷烃类分子BCTA-m(m=3, 4, 5, 6)作为液体添加剂。
图2. 添加剂分子化学结构式设计思路
要点二:器件性能响应添加剂中烷基链亚甲基数变化
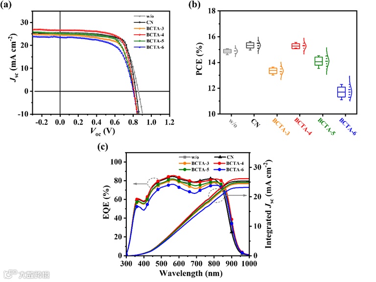
在优化添加剂加工条件后,发现BCTA-m处理的PM6:Y6器件性能随着亚甲基数(m)的增加而呈现出类正态分布的特点。以BCTA-4为添加剂制备的器件在AM 1.5G(100 mW/cm2)辐照强度下获得了优于其他三种BCTA-m添加剂的光电转换效率,并且将PCE从未使用添加剂时的15.03%略微提升至15.59%。该性能与CN添加剂制备的PM6:Y6参照器件相当(15.62%)。
图3. 不同添加剂工艺状态下的PM6:Y6器件J-V特性曲线(a),对应的15个相同器件下PCE性能的统计分布(b)以及对应器件的EQE曲线和积分电流(c)
要点三:添加剂同时调控活性层水平相分离与垂直组分分布
掠入射小角X射线散射(GISAXS)测试结果表明,与未使用添加剂时相比BCTA-m处理的PM6:Y6共混膜中面内水平方向的混合相与纯小分子相的尺寸均得到了增加;并且随着m由3增加到6,混合相尺寸呈现出递减的趋势,而纯小分子相则呈现递增的趋势。混合相尺寸(2Rg‑Y6)与纯小分子相尺寸(ξ)之间的大小关系因此得到了调节。其中,性能最佳的BCTA-4共混膜与CN参照共混膜有着接近的2Rg‑Y6/ξ值(~0.8),因此两者此时的水平相分离状态可认为是更有利于进行高效的光电转化过程的。另一方面,由水接触角(WCA)测试以及飞行时间二次离子质谱(ToF-SIMS)测试结果可知,不同于CN添加剂会使共混膜中更多的小分子受体Y6分布于薄膜上表面,这类BCTA-m添加剂会驱使聚合物给体PM6更多分布于共混膜的上表面,即倒置结构器件的阳极附近。其中,以BCTA-4处理的共混膜中可观察到最多的 PM6富集于阳极附近。对于倒置结构的器件而言,BCTA-m添加剂实现的这种垂直组分分布变化有利于提升其电荷输运与收集效率。简而言之,BCTA-m添加剂能同时调控PM6:Y6活性层中的水平相分离与垂直组分分布。
图4. 各添加剂工艺下PM6:Y6共混膜在面内方向提取的一维GISAXS信号积分强度的拟合曲线(a);共混膜的2Rg-Y6/ξ 值与相应器件PCE的关系图(b);以Cassie-Baxter公式估算的PM6表面覆盖率(c);CN-与F-随着溅射时间变化的比值曲线(d)
文 章 链 接
Efficient Inverted PM6:Y6 Solar Cells with Tuned Lateral Phase Separation and Vertical Composition Distribution via Bis(5-chlorothiophen-2-yl)alkane Additives
https://doi.org/10.1016/j.cej.2023.143289
通 讯 作 者 简 介
肖生强 简介:武汉理工大学材料复合新技术国家重点实验室研究员。主要从事有机半导体材料化学和物理相关研究工作。
第 一 作 者 简 介
王维:武汉理工大学博士研究生,主要从事聚合物太阳能电池材料与器件的研究。
添加官方微信 进群交流
SCI二氧化碳互助群
SCI催化材料交流群
SCI钠离子电池交流群
SCI离子交换膜经验交流群
SCI燃料电池交流群
SCI超级电容器交流群
SCI水系锌电池交流群
SCI水电解互助群
SCI气体扩散层经验交流群
备注【姓名-机构-研究方向】
投稿请联系contact@scimaterials.cn
点分享
点赞支持
点在看

