文 章 信 息
单位点Ru锚定共价有机框架包覆碳纳米管实现高效电催化析氢
第一作者:孙旭镯
通讯作者:杨晶*,许文华*,王宁*
单位:河南工业大学,西北大学,深圳技术大学
研 究 背 景
具有精确可控结构和高度有序多孔性的共价有机框架(COFs)作为电催化析氢反应(HER)的催化剂具有巨大的潜力。然而,原始 COFs 的催化性能受到活性位点少和电子转移率低的限制。为解决上述问题,本文将单位点Ru修饰的连吡啶基COF包覆在具有良好导电性的碳纳米(CNT)上,用于碱性电催化析氢反应。CNT的引入增强了电子传输,解决了导电性问题。嵌入到COF中的RuBpy(H2O)(OH)Cl2单元析氢的催化位点,提高了复合材料催化活性,同时,COFs 高度有序的多孔性有利于反应物进入内部的活性位点。本文深入揭示了 CNTs@COFs 复合材料的各组成单元在电催化HER 中的明确作用,进一步促进COFs 基新型电催化剂的开发和应用。
文 章 简 介
近日,河南工业大学孙旭镯、深圳技术大学杨晶和西北大学王宁教授等在国际知名期刊Small上合作发表了题为“Single Ru Sites on Covalent Organic Framework-Coated Carbon Nanotubes for Highly Efficient Electrocatalytic Hydrogen Evolution”的研究成果。该文章分析了CNTs@COFs 复合材料的各组成单元在电催化HER 中的明确作用,进一步促进COFs 基新型电催化剂的开发和应用。
图1. c-CNT@TpBpy-Ru结构示意图及催化析氢机理。
本 文 要 点
要点一:催化剂Ru基结构和配位环境分析
通过X 射线近边吸收光谱(XANES)和扩展 X 射线吸收精细结构谱 (EXAFS) 分析,明确了复合材料c-CNT@TpBpy-Ru中Ru的化合价态为+3价和配位数为4.1。通过小波变换,表明c-CNT@TpBpy-Ru的WT 最大值位于 4.63 Å-1,不同于 RuO2 中 Ru-O 键的 4.07 Å-1,RuCl3 中 Ru-Cl 键的 6.31 Å-1,这可能是由于同时存在 Ru-N/O 和 Ru-Cl 键。此外,没有检测到与 金属Ru 对应的 Ru-Ru 键。上述结果表明 c-CNT@TpBpy-Ru 中 Ru 为单位点。并根据上述讨论,可以推测 Ru 的配位构型为 Rubpy(H2O)(OH)Cl2,其中 Ru3+ 离子与两个 Cl-、两个联吡啶的 N 原子、一个 H2O 的 O 原子和一个 OH- 的 O 原子成键。
图2. c-CNT@TpBpy-Ru X 射线近边吸收光谱(XANES)和扩展 X 射线吸收精细结构谱 (EXAFS)表征
要点二COF层厚度可调的复合材料c-CNT@TpBpy-Ru优化传质效率
利用羧基衍生化CNT通过酰胺键与TpBpy-Ru进行包覆,通过调控二者的比例,精确调控COF层的厚度。通过计算不同比例复合材料的双电层电容评估了电化学活性面积,发现随着 COF 比例的增加,c-CNT-0.68@TpBpy-Ru 的 Cdl 值几乎是 c-CNT-1.02@TpBpy-Ru 的两倍。当 COF 的比例进一步增加时,COF 层的厚度从7nm增加到 10nm,c-CNT-0.34@TpBpy-Ru 的 Cdl 值反而下降,这表明 COF 层的厚度会影响 c-CNT-x@TpBpy-Ru 的 电化学活性面积。理论上,更多的COF 层会提供更多的活性位点,但是,过厚COF层会使反应物向内部活性位点的传质过程受到限制。
图3. c-CNT-0.68@TpBpy-Ru 的透射电镜(TEM)与高分辨透射电镜(HRTEM)图
要点三:高析氢催化性能不仅调控传质过程,也要加快电荷传递过程
通过电化学阻抗谱,深入研究了c-CNTs 和 COFs之间电荷传递过程。通过对比Bode图发现,TpBpy-Ru的高相角位于高频区,这表明催化过程中的电子转移电阻主要由催化剂内层的电阻产生,即纯COF材料TpBpy-Ru的不良电子传导性是造成这一现象的原因。当TpBpy-Ru与 CNT 直接物理混合时,c-CNT/TpBpy-Ru 的高相角转移到低频区,这表明c-CNT 的加入提高了材料的导电性,产生电阻的主要原因已从催化剂内层转移到电极-电解质界面的电荷转移过程。值得注意的是,在 CNT 表面包覆 TpBpy-Ru 所得的CNT-0.68@COF-Ru,其高相角不仅转移到了低频区,而且其值进一步减小,这表明在 c-CNT 表面有序包覆 COF 不仅提高了催化剂的导电性,而且还加速了反应过程中的电荷转移过程。
图4. c-CNT@TpBpy-Ru电催化性能研究
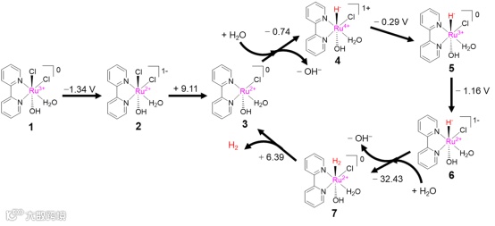
要点四:析氢催化过程存在脱氯过程,且脱氯后物质为催化活性中心
经过长时间稳定性测试后,发现c-CNT-0.68@TpBpy-Ru中Ru 3p XPS 峰向 485.6 和 463.7 eV 的高结合能移动,表明 Ru 离子上的电子密度降低。而 Ru 和 Cl 的含量比也提高了,表明 Cl 含量的减少。这些现象归因于催化过程中Ru催化单元的脱氯行为。DFT计算结果表明,Rubpy(H2O)(OH)Cl2 单元在接受一个电子后,Cl-配体在碱性介质中很容易被 OH- 取代。进一步研究催化反应机理,发现得到电子脱氯后的结构 [RuIIbpy(H2O)(OH)Cl] 是析氢反应的催化活性中心。
图5. DFT计算c-CNT@TpBpy-Ru在HER中催化反应机理
文 章 链 接
Single Ru Sites on Covalent Organic Framework-Coated Carbon Nanotubes for Highly Efficient Electrocatalytic Hydrogen Evolution
https://doi.org/10.1002/smll.202305978
添加官方微信 进群交流
SCI二氧化碳互助群
SCI催化材料交流群
SCI钠离子电池交流群
SCI离子交换膜经验交流群
SCI燃料电池交流群
SCI超级电容器交流群
SCI水系锌电池交流群
SCI水电解互助群
SCI气体扩散层经验交流群
备注【姓名-机构-研究方向】
投稿请联系contact@scimaterials.cn
点分享
点赞支持
点在看


