文 章 信 息
烷基取代聚芳基哌啶膜材料实现高温聚合物电解质膜燃料电池性能提升
第一作者:李晋源,杨丛荣
通讯作者:王素力*,孙公权*
单位:中科院大连化学物理研究所
研 究 背 景
HT-PEMFC具有耐CO毒化能力强、水热管理简单等优势,近年来成为研究热点。传统的磷酸掺杂聚苯并咪唑膜由于磷酸与聚苯并咪唑之间的结合能(约17 kcal mol-1)低,在低温、高湿环境下磷酸流失严重,导致该类电池工作温度限制在140~180 ˚C。拓宽高温聚合物电解质膜的工作温度,将有助于缩短电池启动时间,提高电池的环境适应性。
文 章 简 介
近日,来自中科院大连化学物理研究所的王素力研究员、孙公权研究员团队,在国际知名期刊Journal of Materials Chemistry A上发表题为“Alkyl-substituted poly(arylene piperidinium) membranes enhancing the performance of high-temperature polymer electrolyte membrane fuel cells”的研究论文。研究团队利用哌啶阳离子与H2PO4-间的高结合能(约109 kcal mol-1)这一特点,研制出一类新型磷酸掺杂聚联苯基哌啶电解质膜,被审稿人誉为首次将哌啶基电解质膜应用于HT-PEMFC领域。该研究通过取代基效应调控哌啶阳离子周围的空间位阻、聚合物电解质膜的亲疏水性和自由体积,从而进一步提高了电解质膜与磷酸间的相互作用,将电解质膜的工作温度拓宽到40~160 ℃。特别是在120 ℃、干气进料这一“汽车中燃料电池的理想运行条件”下,该类膜组装的燃料电池峰值功率密度超过1.5 W cm-2,远高于文献已报道水平,且稳定运行时间超过1000 h,展示了该类聚合物电解质膜的优势与实际应用潜力。
本 文 要 点
要点一:电解质膜分子设计
哌啶阳离子与H2PO4-间具有高的结合能(约109 kcal mol-1),采用该类官能团有助于提升电解质膜的抗磷酸流失能力;利用取代基效应调控哌啶阳离子周围的空间位阻、亲疏水性以及聚合物膜的自由体积,以进一步优化电解质膜与磷酸间的相互作用。由于提高了聚合物膜的自由体积、减小了官能团周围的空间位阻,异丁基取代的电解质膜(PAP-P-80-iBu)具有较高的磷酸掺杂度,表明其与磷酸的相互作用较强。
图1. 烷基取代聚联苯基哌啶电解质膜分子设计思路
图2 取代基对聚联苯基哌啶聚合物膜磷酸掺杂度的影响机制
要点二:电解质膜性能评价
由于异丁基的引入增强了聚合物与磷酸间的相互作用,并提高了高分子链的刚性,PAP-BP-80-iBu/PA兼具高的离子传导率、尺寸稳定性与力学性能。与文献报道的其他离子对型聚合物电解质膜相比,PAP-BP-80-iBu/PA较好地平衡了质子电导率和机械强度间的矛盾关系。
图3 烷基取代聚联苯基哌啶电解质膜的性能
要点三:单池验证
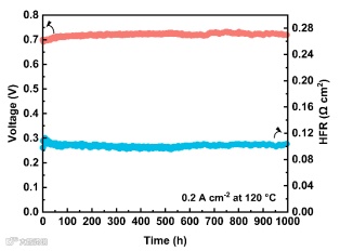
与PBI相比,PAP-BP-80-iBu聚合物膜与磷酸间的结合能更强,因此有效降低了电池的欧姆阻抗和传质阻抗、提高了电池性能,从而使电池的工作温度拓宽到40~160 ℃。特别是在120 °C、干气进料下,电池峰值功率密度较PBI/PA提升约一倍,超过了1.5 W cm-2,远高于文献已报道的水平,甚至与HT-PEMFC 160 ℃下的性能相近,且单池在120 ℃、0.2 A cm-2下可稳定运行1000 h,展示了该类聚合物电解质膜的优势与实际应用潜力。
图4 聚联苯基哌啶电解质膜的单池性能
图5 聚联苯基哌啶电解质膜的单池稳定性
文 章 链 接
Alkyl-substituted poly(arylene piperidinium) membranes enhancing the performance of high-temperature polymer electrolyte membrane fuel cells
https://pubs.rsc.org/en/content/articlelanding/2023/ta/d3ta02158k
通 讯 作 者 简 介
王素力 研究员简介:大连化学物理研究所研究员、博士生导师,2007年于中国科学院大连化学物理研究所获博士学位。现任大连化物所醇类燃料电池及复合电能源共性核心技术研究组组长、国家燃料电池与液流电池标准委员会委员、中国电源学会特种电源专业委员会委员。主持和承担自然科学基金委、中国科学院重点部署、科技部重点研发计划等研究项目20余项。在国内外学术刊物发表研究论文100余篇。申请国内外发明专利220余件,授权专利98件。参与制定国家/行业标准6项。获国家自然科学二等奖、辽宁省自然科学一等奖、国防技术发明奖等省部级奖励6项。
孙公权 研究员简介:大连化学物理研究所研究员、博士生导师,1993年于中国科学院长春应用化学研究所获博士学位,1995年赴美国耶哥电化学科学中心,博士后。1997年任长春应用化学研究所电化学研究室主任,环境友好化学部部长。1999年赴美国乔治亚理工学院、圣母大学,访问教授。2001年7月作为国外引进杰出人才聘于大连化学物理研究所,历任大连化学物理研究所直接醇类燃料电池研究组组长、燃料电池研究部部长,中科院燃料电池及复合电能源实验室主任。主持和承担国家科技部、国防科工委、自然科学基金委、中国科学院等重点、重大项目以及与德国DFG、韩国三星公司、美国通用公司等国际合作项目50余项。以第一完成人,获国家自然科学二等奖,全国创新争先奖,中国科学院杰出成就奖等省部级以上奖励9项;成果入选中国科学院“率先行动”计划重大科技成果及标志性进展;发表SCI论文260余篇,2014年以来多次入选汤森路透“中国引文桂冠奖-高被引科学家”;获授权发明专利297件(其中国际13件);参与编著5部,译著1部;主持制定国家标准2项。
添加官方微信 进群交流
SCI二氧化碳互助群
SCI催化材料交流群
SCI钠离子电池交流群
SCI离子交换膜经验交流群
SCI燃料电池交流群
SCI超级电容器交流群
SCI水系锌电池交流群
SCI水电解互助群
SCI气体扩散层经验交流群
备注【姓名-机构-研究方向】
投稿请联系contact@scimaterials.cn
点分享
点赞支持
点在看


