文 章 信 息
形貌设计取得乙醇氧化反应中的超长稳定性
第一作者:苏冬萌
通讯作者:陈虹宇*,刘彬*
研 究 背 景
直接乙醇燃料电池是一种非常有前景的可再生能源技术,可直接利用乙醇的化学能进行发电,安全环保。但是其商业化推广面临的头号难题,就是阳极电催化剂的稳定性太差,通常几分钟内其催化活性就会衰减超过90%,达不到实际应用的要求。科研工作者一直在努力探索其失活机理,希望能找出导致催化剂失活的毒化物种,同时了解毒化过程是如何发生的,这对指导设计高稳定性催化剂具有关键意义。
文 章 简 介
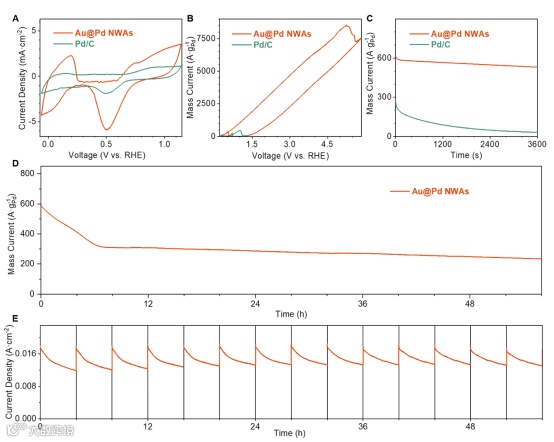
近日,来自西湖大学/南京工业大学的陈虹宇教授与香港城市大学的刘彬教授合作,在国际知名期刊Joule发表题为“Ultralong Durability of Ethanol Oxidation Reaction via Morphological Design”的文章。本研究报道了一种利用硫化物介导法制备的超长金钯核壳纳米线阵列(Au@Pd NWAs)催化剂,在测试中展现出前所未有的持久稳定性,1小时后保持86%的初始电流,56小时后还保持38%。这种由形貌带来的超长稳定性给我们提供了一个非常好的机会,有可能通过这个非同一般的系统确定真正的催化剂失活机理。
本 文 要 点
要点一:硫化物介导合成Au@Pd NWAs催化剂的方法可实现对纳米线阵列的形貌轻而易举的调节。随着纳米线形貌的改变,它的循环伏安曲线(CV)峰电压逐步正移,这个前所未有的奇怪现象,可能提供了研究催化剂失活过程的全新的视角。
作者利用硫化物介导合成的方法制备Au@Pd NWAs催化剂。具体而言,在前人利用金种吸附后的活性位点生长方法制备金纳米线阵列的基础上,使用硫化钠替代金种吸附的步骤,通过对生长时间及浓度的调整来实现对金钯纳米线阵列长度和密度的灵活调整,使其拥有最高11.4微米的长度。令人惊讶的是,随着纳米线长度的增加,它的CV峰电压竟逐步正移,从0.61微米样品的0.95 V一直正移到11.4微米样品的惊人的5.2V。其他形貌参数的改变如提高密度等,也可导致峰电压正移。这种仅与形貌相关的CV峰电压正移是非常罕见的,说明这个系统中催化剂的失活机理可能与传统认知有所不同。
图1 金钯核壳纳米线阵列形貌调控与电催化乙醇氧化反应的CV峰电压大幅正移的相关性。
要点二:峰电压随形貌改变而大幅正移的同时,稳定性也大幅提升,显示了稳定性与峰电压的强相关性,表明峰电压的移动可能与催化剂的表面失活过程相关。因此催化剂形貌调控导致的峰电压移动现象可能与失活过程相关。
作者进一步发现,这种硫化物介导合成的Au@Pd NWAs催化剂拥有最高11.4微米的长度,在CV峰电压正移至5.2 V vs. RHE的同时,在56小时的稳定性测试中,能保持38%的初始电流,在每4小时通过扫一次CV重新激活催化剂后,无需更换电解液亦可保持60%左右的初始电流,远超过任何文献报道的钯基催化剂。有趣的是,其稳定性测试曲线存在两段衰减的特点,一段较陡一段较缓,表明其失活机理可能不一致。
图2 金钯纳米线阵列电极的大幅正移的CV曲线与其超长稳定性成正相关。
通过对形貌调整后的稳定性测试的讨论,我们发现几个有意思的趋势。首先,随着Au@Pd NWAs的长度增加,不仅其峰电压正移,其稳定性测试中的电流衰减速度逐渐降低,显示稳定性随长度增长而变好。其次,增大纳米线阵列的表面密度,同样能使峰正移同时稳定性变好。再者,作者将垂直生长的纳米线阵列从基板上剥落,改为随机堆积在基板上。这种失去垂直站立形貌的纳米线阵列催化剂峰值急剧负移至1.8 V,失活过程快速发生,证明了垂直站立形貌的重要性。这些趋势共同说明,调控形貌可以使峰电压移动,同时调控其催化稳定性。
图3 不同形貌调控手段对Au@Pd NWAs的电化学稳定性的影响
要点三:形貌控制的峰移与消耗导致的峰移是同源的,催化剂的失活过程是伴随着醇氧化反应的进行而同时发生的。
研究人员进一步发现,在CV中插入一段恒电位测试,会导致后续的CV峰电位负移;调整恒电位测试的电压和时长,可以调节峰电位的负移程度。这些证据支持这样一个假说:恒电压测试是在维持乙醇氧化反应进行的同时对催化剂的消耗过程,这种对CV峰电位的调控可以被称为消耗导致的峰位移。催化剂的失活不是因为达到某个固定电位就能使其表面彻底氧化失活,而主要取决于Pd表面吸附物种,特别是Pd-OHads的覆盖密度以及相遇概率。
图4 消耗导致的峰位移与不同电压及时间等消耗条件的相关性
要点四:Pd-OHads覆盖度即相遇概率是决定催化剂失活概率的关键,而纳米线阵列形貌所特有的丰富的催化活性位点和稳定的浓度梯度使Pd-OHads的覆盖度,因而减少了失活发生的概率。
根据以上结果,作者提出假设认为,该系统中Pd-OHads应该是催化活性中心,而导致催化剂失活的毒化物种很可能是相邻Pd-OHads相遇偶联生成的Pd-O-Pd。所以,Pd-OHads覆盖度和相遇概率是决定失活发生概率的关键。较长的纳米线可以提供更多催化活性位,从而拖延失活过程,使电压正移。最重要的是,纳米线阵列垂直站立的形貌使得上部OH-富集而下部乙醇富集,这种稳定的浓度梯度降低了整体Pd-OHads的覆盖度,从而减少了失活发生的概率,使得催化剂需要CV扫到更高电压带来更高浓度的OH-才能将覆盖度提高到足够高以便使全部催化活性位点失活,也减慢了恒电压工况下的催化剂的表面失活过程。
图5 由稳定的浓度梯度带来的三种不同区域性催化剂失活过程的示意图
该研究深刻认识到Au@Pd NWAs的形貌调控是实现稳定催化的关键所在,它既提供了畅通的反应物扩散通路,又通过控制OH-分布减缓了失活过程。这为理解和设计高稳定性催化剂提供了全新的思路,代表了在纳米材料结构调控方面的重要进展。相信这种利用纳米形貌设计调控催化性能的策略,会推动可再生能源电催化技术的发展,也会启发更多创新型催化剂材料的诞生。
文 章 链 接
Ultralong Durability of Ethanol Oxidation Reaction via Morphological Design
https://www.sciencedirect.com/science/article/abs/pii/S2542435123003987
通 讯 作 者 简 介
陈虹宇 教授简介:海外高层次人才引进计划海鸥项目、浙江省海外高层次人才创新项目、江苏特聘教授、江苏省双创人才,英国皇家化学会会士。陈教授于1998年获中国科学技术大学理学学士学位;2004年在耶鲁大学(Yale University)获得博士学位;后在康奈尔大学(Cornell University)从事博士后研究。2006年加入新加坡南洋理工大学(Nanyang Technological University)任助理教授;2011年升为终身教职副教授;历任化学系副主任 (Deputy Head)、数理学院副院长 (Associate Chair)、理学部副主任 (Associate Dean)。2016年加入南京工业大学,共同组建了先进化学制造研究院,任执行院长。2021年7月加入西湖大学,任理学院教授、校长助理、本科生书院院长。
陈教授致力于推进纳米合成的控制力,发展新的合成方法(类似有机反应),发现其背后的机理,并应用这些工具拓展新颖的纳米结构,探索新型应用。其发展的合成方法包括1)通过固-固界面的构筑,连续调控核-壳、偏心、Janus等纳米结构;2)纳米线的溶液操作方法,如盘旋成圈,扭转成麻花,编织成绳等;3)手性纳米结构的构筑;4)位点选择性的多步纳米合成;5)新的操控手段,如通过宏观载体的拉伸,超声造成弯折,外磁场诱导变形等。共发表论文170余篇,其中以通讯作者发表的高水平文章(IF>10)70余篇。主持国家自然科学基金集成项目、面上项目和重大培育项目各1项、新加坡科研项目14项、浙江省自然科学基金重大项目1项。其培养的博士、博士后中,有18人成为国内外的教授/副教授/助理教授。
刘彬 教授简介:刘教授于2002年获新加坡国立大学学士学位(一等荣誉),2004年获该校硕士学位,之后于2011年在美国明尼苏达大学获取博士学位。2011-2012年在美国伯克利加州大学杨培东教授课题组从事博士后研究。2012年任新加坡南洋理工大学化学与生物医学工程学院助理教授,并建立电催化研究实验室。2017年2月,刘彬老师晋升为副教授,获得终身教职。2023年2月,刘彬教授加盟香港城市大学材料科学与工程系。近年来,刘彬教授的研究成果在国际著名期刊如Nat. Energy, Nat. Catal., Nat. Water, Nat. Commun., Sci. Adv., J. Am. Chem. Soc., Joule, Chem, Angew. Chem. Int. Ed., Adv. Mater., Energy Environ. Sci., Chem. Rev., Chem. Soc. Rev., Acc. Chem. Res.等发表论文240余篇,他引次数三万四千余次。
添加官方微信 进群交流
SCI二氧化碳互助群
SCI催化材料交流群
SCI钠离子电池交流群
SCI离子交换膜经验交流群
SCI燃料电池交流群
SCI超级电容器交流群
SCI水系锌电池交流群
SCI水电解互助群
SCI气体扩散层经验交流群
备注【姓名-机构-研究方向】
投稿请联系contact@scimaterials.cn
点分享
点赞支持
点在看


