文 章 信 息
多维协同纳米结构助力高载量过渡金属化合物电极实现优异的储锂性能
第一作者:刘志远,
通讯作者:王东*,张睿*
单位:山东理工大学; 山东硅纳米新材料科技有限公司
研 究 背 景
纳米结构过渡金属化合物(TMCs)具有较高的理论比容量和良好的速率能力,可以高效、快速地储存锂离子。然而,较厚的电极中存在更高的离子/电子传输限制,因此,优异的性能仅限于低质量负载电极。同时,实际的电极组成还包括集流体、隔膜、电解质以及电池壳等无源器件,它们对电荷存储几乎没有贡献。因此,在实际应用中增加电极质量负载以降低非活性组分的比例,有利于发挥纳米结构TMCs的性能潜力。而三维(3D)多孔结构可以促进电子在较厚的电极上的快速传递和离子的充分扩散,这有利于实现在不受电极厚度影响的情况下TMCs纳米材料的充分利用,进而实现质量负载无关的性能。然而,大多数三维多孔电极的合成策略,包括水热法、3D打印、静电纺丝等,都是复杂的、昂贵的,并且与商业的浆料涂层方法不兼容。在此,本工作报道了石墨烯包裹的MnO/C微胶囊(capsule-like MnO@C-G)的设计和合成,并证明了其独特的多维协同纳米结构,实现了高质量负载下的锂离子存储,为高质量负载的粉末状TMCs锂离子电池负极的设计提供了指导。
文 章 简 介
近日,山东理工大学王东和张睿副教授在国际知名期刊Small上发表了题为“Mass Loading-Independent Lithium Storage of Transitional Metal Compounds Achieved by Multi-Dimensional Synergistic Nanoarchitecture”的研究论文。该论文提出以氧化石墨烯包裹的Mn金属有机框架(Mn-MOFs)为前驱体,经一步热解得到多维协同纳米结构电极capsule-like MnO@C-G,实现了质量负载无关的锂离子存储。其中,质量负载由0.7 mg cm-2增加至3.0 mg cm-2(4.3倍)时,该电极的质量比容量几乎不变,容量保持率高达91%,而面积比容量随质量负载和电极厚度呈现出线性增加的趋势;动力学分析表明,表面诱导的赝电容贡献率高达97%;同时,组装的capsule-like MnO@C-G//LiCoO2全电池表现出优异的倍率性能和循环性能。该观点的提出,为构筑高负载量过渡金属化合物电极及其实际应用提供了重要的指导意义。
图1 capsule-like MnO@C-G的合成过程示意图。
本 文 要 点
要点一:多维协同纳米结构
0D纳米晶体组装的MnO纳米团簇被限制在1D碳壳中,内部充满空隙和介孔,形成独特的胶囊状结构并进一步与3D连续的石墨烯网络相连,形成多维协同3D多孔纳米结构。其中,超小的0D纳米晶体缩短了固态离子的扩散长度,丰富的介孔进一步促进了电解质的充分渗透和离子的快速转移;此外,3D互联的石墨烯网络与紧密连接的1D碳壳形成高导电网络,提供了高速的电子传输路径。
图2 capsule-like MnO@C-G的形貌特征图。
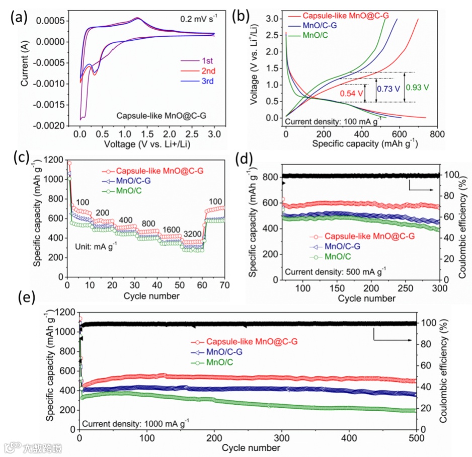
要点二:出色的锂存储性能
如图3所示,第二次循环开始重合的CV曲线说明capsule-like MnO@C-G的电化学反应是高度可逆的,此外,充放电曲线说明电极具有更大的比容量和更小的极化,独特的胶囊状结构和连续的石墨烯网络实现了快速的离子/电子转移,而小的极化表明了高的电化学可逆性和快速的反应动力学。同时,该电极表现出出色的倍率性能和循环性能,在1000 mA g-1电流密度下循环500次,仍保持540.2 mAh g-1的高可逆容量,并且整个循环过程中的平均库伦效率高达98%。
图3 capsule-like MnO@C-G电极的锂离子存储性能图。
要点三:不同电极负载量下出色的锂离子存储性能
如图4所示,本论文分别研究了质量负载为0.7,1.0,1.3,1.9和3.0 mg cm-2的电极(所对应的电极厚度分别为12,18,26,60,90 μm)的锂存储性能。当质量负载由0.7 mg cm-2增加至3.0 mg cm-2时,不同电流密度下的capsule-like MnO@C-G电极展现出的比容量几乎没有变化,这表明其具有出色的快速充放电能力,并且质量比容量保持率≥91%。此外,1D碳壳和2D石墨烯能有效地适应MnO纳米颗粒在放电/充电过程中的机械应力,保证了电极的结构稳定性。
图4 不同质量负载下的锂离子存储性能。
要点四:出色的面积容量
增加面积质量负载可以降低非活性组件(如集流体、隔膜等)对电池容量的影响,对于实现更高能量密度和功率密度至关重要。如图5所示,在不同电流密度下,capsule-like MnO@C-G电极的面积容量与质量负载呈现出明显的线性关系,进一步证明了厚度对该电极的电荷传递影响较小。并且,与大多数粉末涂敷型的过渡金属化合物电极相比,展现出了更高的质量负载无关特性。
图5 capsule-like MnO@C-G的面积容量图。
要点五:反应动力学分析
为了研究capsule-like MnO@C-G电极出色的质量负载无关的电化学性能,本论文进行了深入的动力学分析。结果表明,该电极具有较低的电荷转移电阻和不可分离膜阻抗,说明活性物质与电解质之间具有足够的接触,加速了Li+的转移动力学;通过恒流间歇滴定技术分析,该电极在充放电过程中具有更高且稳定的锂离子扩散系数,表明3D多孔结构不仅可以通过增强反应动力学实现快速的Li+转移,而且可以通过适应MnO在脱/嵌锂过程中的体积变化来提高结构的完整性;通过赝电容分析,随着扫描速率增加,电容贡献逐渐增大,尤其是当扫描速率为2.0 mV s-1时,电容贡献率达97%,进一步表明了该电极具有快速的离子扩散和电极转移过程。
图6 capsule-like MnO@C-G的反应动力学分析。
要点六:多维度协同效应
本研究提出capsule-like MnO@C-G具有出色的质量负载无关的锂离子存储特性,应归因于其结构的多维协同效应。(i)0D超细MnO纳米晶体提供了丰富的电化学活性位点,同时缩短了固态离子的扩散路径。(ii)离散纳米晶体在微胶囊内部产生大量介孔,有利于充分的电解质渗透和传质,进一步加快了胶囊反应器内离子的输运速度,缓解了离子在厚电极中的输运限制。(iii) MOFs衍生的1D碳壳充当“电流收集器”,向MnO纳米晶体传递/收集电子,确保快速反应动力学。此外,柔性碳壳还可以容纳MnO的体积膨胀,并保护这些纳米晶体不从电极上脱落,从而提高结构稳定性。(iv)二维石墨烯组装三维连续碳结构,其与碳壳紧密结合形成高导电性网络,进一步加速电子在整个厚电极上的传递。
图7 capsule-like MnO@C-G电极的结构优势。
要点七:实际应用价值的评估
为了研究capsule-like MnO@C-G电极在实际应用中的潜力,本论文以该电极为阳极,商用LiCoO2为阴极,组装成全电池对其进行评估。0.1 A g-1电流密度下,初始库伦效率达89.7%,自第二次循环开始库伦效率都在95.8%以上;此外,全电池展现出优异的倍率能力以及循环特性,在0.5 A g-1下循环80次,容量高达127.3 mAh g-1;更重要的是,以capsule-like MnO@C-G//LiCoO2全电池点亮了带有“SDUT”字样的LED面板,进一步说明了其在实际应用中的的巨大潜力。
图8 capsule-like MnO@C-G电极的全电池性能图。
要点八:展望及总结
本研究设计了一种具有3D导电网络的多维协同结构的过渡金属化合物电极——capsule-like MnO@C-G,具有优异的质量负载无关的电化学性能。其中,由超细的0D MnO纳米晶体组成的多孔团簇减小了离子的扩散长度,促进了电解质的渗透,减轻了离子在厚电极中传输的限制。此外,由1D空心碳壳和2D石墨烯组成的3D连续导电碳网络加速了电子通过厚电极的传输,确保了快速的反应动力学。得益于独特的多维协同效应,所制得的capsule-like MnO@C-G电极在不同电流密度下,质量负载从0.7 mg cm-2增加到3.0 mg cm-2(增加4.3倍),具有91%以上的高重量容量保持率。具体来说,在3.0 mg cm-2的质量负载下,可以提供2.0 mAh cm-2的显着面容量,超过了大多数报道的基于TMCs的负极。此外,可以通过调整粘结剂的质量比和或在料浆中选择适当类型的粘结剂来解决集流体较厚电极脱落的问题。更重要的是,capsule-like MnO@C-G在全电池测试中也具有出色的电化学性能。本研究所提出的这种多维结构将为制备高质量负载的LIBs电极提供潜在的指导。
文 章 链 接
Mass Loading-Independent Lithium Storage of Transitional Metal Compounds Achieved by Multi-Dimensional Synergistic Nanoarchitecture
https://onlinelibrary.wiley.com/doi/10.1002/smll.202303019
通 讯 作 者 简 介
王东,副教授,硕导,2018年7月博士毕业于哈尔滨工业大学材料学专业,2018年12月至今在山东理工大学材料科学与工程学院工作,是山东理工大学工程陶瓷研究院副院长,山东硅纳新材料科技有限公司“科技副总”,中国青年科技工作者协会会员。主要研究方向为无机功能材料在能源存储、海水淡化等领域的应用。主持国家自然科学基金等科研项目5项,以第一/通讯作者在Advanced Materials,Journal of Energy Chemistry,Small等知名期刊发表SCI论文18篇,授权发明专利5项。
添加官方微信 进群交流
SCI二氧化碳互助群
SCI催化材料交流群
SCI钠离子电池交流群
SCI离子交换膜经验交流群
SCI燃料电池交流群
SCI超级电容器交流群
SCI水系锌电池交流群
SCI水电解互助群
SCI气体扩散层经验交流群
备注【姓名-机构-研究方向】
投稿请联系contact@scimaterials.cn
点分享
点赞支持
点在看


