文 章 信 息
超薄二维 Fe2O3-CoP 异质结构纳米片对多硫化物氧化还原反应的高效催化
通讯作者:濮军*,巩文斌*,姚亚刚*
研 究 背 景
高性能的储能装置,特别是二次电池,在能源行业的发展中起着关键作用。特别是以金属锂为负极,单质硫为正极活性物质组成的锂硫电池,由于其正极和负极材料丰富的自然储量和环境友好性,以及其较高的理论容量和能量密度,成为了后起之秀。不幸的是,锂硫电池的商业化发展遇到了不可避免的挑战,这些挑战来自于正极和负极之间的化学反应中产生的可溶性多硫化物的扩散。首先,这种扩散引起的"穿梭效应"会消耗活性物种,造成不可逆的容量损失。其次,多硫化物的缓慢动力学导致其在隔膜和电极表面聚集,产生不溶性的Li2S2/Li2S,从而阻断离子传输通道和活性位点。此外,Li2S与S反应过程中的体积变化可能会引起正极结构的坍塌,不利于电池运行的稳定性。为了克服上述问题,研究人员主要通过改进电池隔膜、设计合适的硫主体和合成特殊的粘结剂来提高锂硫电池的性能。在这些方法中,隔膜改性被证明是提高锂硫电池电化学性能的有效手段。理想的改性隔膜不仅要从物理层面阻隔多硫化物的穿梭,还要对扩散的多硫化物进行化学捕获和催化转化,从而实现循环稳定和活性物质的高效利用。根据经典的电化学机理,锂硫催化是一个涉及活性硫物种吸附-转移-转化的多步过程,这就要求催化介质同时具有良好的多硫化物捕获、电荷转移能力和低能垒。此外,单个化合物很少同时具有保证多硫化物转化所需的多种特性。
文 章 简 介
近日,安徽师范大学的濮军团队与南京大学的姚亚刚团队、徐州工程学院的巩文斌团队合作,设计具有高多硫化物催化活性的Fe2O3-CoP异质结构纳米片作为隔膜修饰剂,提高锂硫电池的电化学性能。一方面,超薄的2D结构为电荷转移提供了快速通道。另一方面,异质材料不仅结合了氧化物和磷化物的优点,而且在异质界面上表现出更好的多硫化物捕获和催化行为,从而加速了多硫化物的转化并抑制了"穿梭效应"。该文章以题为“Efficient Catalysis of Ultrathin Two-dimensional Fe2O3-CoP Heterostructure Nanosheets for Polysulfide Redox Reactions”,发表在国际知名期刊Small上。
图1. (a) Fe2O3-CoP的合成过程示意图以及 (b) Fe2O3-CoP异质结构界面在锂硫电池中的催化作用。
本 文 要 点
要点一:Fe2O3-CoP异质结构继承了氧化物较强的多硫化物亲和力和磷化物优异的电荷转移能力
将Fe2O3-CoP与相同质量的其他物质对Li2S6的吸附进行了可视化对比。加入Fe2O3和Fe2O3-CoP后,棕黄色的Li2S6溶液完全澄清透明,表明由于极性金属氧化物的亲和作用和异质界面的存在,两种材料均表现出良好的多硫化物吸附能力。相比之下,CoP对多硫化物的捕获作用较弱,而纯碳纳米管由于较弱的范德华力,几乎没有吸附作用。吸收多硫化物后,Fe和Co的2p轨道XPS图谱显示峰向低结合能区移动。这可归因于Fe和Co原子从Li2S6中获得电子,这表明多硫化物与Fe2O3-CoP之间存在化学作用。此外,Co-P峰的XPS面积比(含量比)增加,可能是由于Co-S键的形成。
图3. (a)不同隔膜与电解液的接触角。(b)可视化吸附实验。(c)多硫化锂渗透试验。Fe2O3-CoP样品吸附Li2S6前后的(d-f) Fe 2p、Co 2p和P 2p XPS谱图。
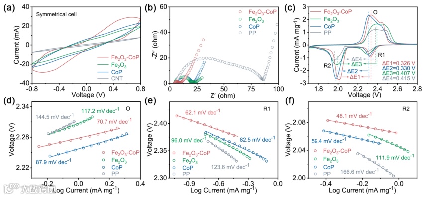
异质结构中频区的半圆远低于其他样品,表明Fe2O3-CoP表现出最低的界面电荷转移电阻(Rct)。未改性的隔膜显示出意想不到的高Rct,这将限制多硫化物的快速转化。此外,低频区的谱线代表了锂离子的扩散行为。因此,除了得益于Li离子在CoP表面扩散的低能垒,Fe2O3-CoP异质结还表现出良好的Li离子扩散性。计算表明,Fe2O3-CoP基阴极在O、R1和R2处的反应电流拟合直线的斜率均高于其他电极,表明Fe2O3-CoP在多硫化物转化的各个阶段均具有较好的催化效果。增强的锂离子扩散可以与电极动力学的改善相联系,这不仅应归因于异质涂层对电解液的亲和力,也应归因于原位制备的异质界面的催化活性。
图4. (a) Li2S6对称电池在50 mV s-1扫描速率下的CV曲线。(b)基于Fe2O3-CoP、Fe2O3、CoP和纯Celgard的锂硫电池的EIS和CV曲线。(d-f)对应的Tafel图以及氧化峰和还原峰的拟合斜率值。
图5. (a)不同扫描速率下Fe2O3-CoP修饰隔膜的CV曲线。(b-d)基于Fe2O3-CoP、Fe2O3和CoP的锂硫电池CV峰电流随扫速平方根的变化曲线。(e) 充放电过程的恒电流间歇滴定(GITT)曲线。(f) Fe2O3-CoP、Fe2O3和CoP相对于归一化充放电时间的内阻。( g-i ) Fe2O3-CoP、Fe2O3和CoP在0.1 C下的GITT电压曲线。
要点二:原位形成的异质界面结合了Fe2O3和CoP在多硫化过程中各自的低能垒,具有优异的Li2S成核活性
计算得到了锂离子在不同材料表面扩散的能垒。Fe2O3-CoP异质结构表面的锂离子扩散势垒为0.74 eV,介于Fe2O3 (1.30 eV)和CoP (0.3 eV)之间,可以通过有效的界面迁移实现离子从Fe2O3向CoP的扩散。S8*转化为液态Li2S8的初始步骤在Fe2O3-CoP上表现出最负的吉布斯自由能变化,表明该反应在异质结构上更容易自发进行。在随后的锂化反应生成Li2S4*的过程中,Fe2O3-CoP也表现出最负的吉布斯自由能变化,表明异质结促进了这些反应步骤的快速处理。此外,Fe2O3-CoP上Li2S2*转化为Li2S*的能垒为0.18 eV,远低于Fe2O3 (0.64 eV)和CoP (0.93 eV)。这些结果证明了Fe2O3-CoP作为催化剂材料可以通过调节异质界面电子结构极大地加速多硫化物的转化。
图8. (a) Li2S6在Fe2O3-CoP表面的电荷密度差;(b)多硫化物在异质结界面结合的优化构型以及计算得到的多硫化物与Fe2O3-CoP之间的结合能;(c)异质结的电荷密度图和电子局域函数图。Fe2O3、CoP在单界面和异质结界面的(d, e)态密度图。(f)锂离子迁移路径和相应的势垒曲线的说明。(g)多硫化物在Fe2O3-CoP、Fe2O3和CoP上还原的能量曲线。
要点三:二维片层结构提供了高的比表面积,可以暴露均匀分散的活性位点,缩短离子传输路径。超薄的纳米结构也有利于催化材料的充分利用和整体能量密度的提高
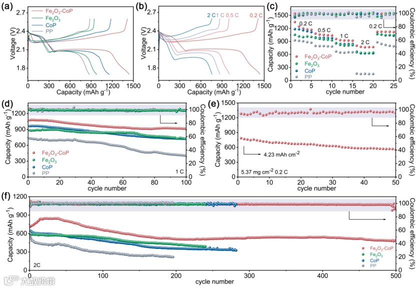
这种薄的纳米片具有高达134.4 m2 g-1的高比表面积,这不仅会暴露更大的多硫化物阻塞面积和更多的催化位点,而且有利于电荷的快速转移。相应的孔径分布约为3.8 nm,这将有利于电解液的充分浸润和锂离子的快速扩散。在0.2 C倍率下,Fe2O3-CoP基电池具有最高的初始容量(~1346.3 mAh g-1),当倍率增加到0.5、1和2 C时,容量分别为1081、957和802 mAh g-1,远高于单独使用Fe2O3或CoP作为修饰剂所获得的容量。即使回到0.2 C,Fe2O3-CoP基电池仍然具有1123 mAh g-1的高容量。相比之下,未改性的隔膜在0.2、0.5、1和2 C下分别只能达到924、797、667和158 mAh g-1。
图2. 所制备的Fe2O3-CoP的物相表征:(a) XRD;(b) Tem图像;(c)花纹;(d) HRTEM图像和相应的晶格间距。(e) AFM图像和相应的高度剖面;(f)区域元素映射图像;(g) N2吸附-脱附等温线,插图:孔径分布;(h)Fe2O3-CoP-Celgard隔膜和纯卡拉尔隔膜折叠和展开实验的光学照片。
图6. (a) 0.2 C放电-充电曲线的比较。(b)不同电流下Fe2O3-CoP改性隔膜电池的恒流充放电电压曲线。(c)各种改性隔膜和纯Celgard型Li-S电池的倍率性能。(e)高载硫量5.37 mg cm-2的Fe2O3-CoP基正极的循环性能。在1和2 C下进行(d, f)循环稳定性测试
文 章 结 论
设计了具有高多硫化物催化活性的Fe2O3-CoP异质结构纳米片作为隔膜修饰剂,以提高锂硫电池的电化学性能。一方面,超薄的2D结构为电荷转移提供了快速通道。另一方面,异质材料不仅结合了氧化物和磷化物的优点,而且在异质界面上表现出更好的多硫化物捕获和催化行为,从而加速了多硫化物的转化并抑制了"穿梭效应"。结果表明,使用Fe2O3-CoP改性隔膜的硫正极在0.2 C下的单圈容量衰减率仅为~0.064 %,容量为1346 mAh g-1。当S负载量为5.42 mg cm-2时,在0.2 C下实现了5.90 mAh cm-2的高面积容量。这项研究有效地解决了锂硫电池发展过程中面临的挑战,指导了用于储能设备的高效异质结构催化剂材料的开发。
文 章 链 接
Efficient Catalysis of Ultrathin Two-dimensional Fe2O3–CoP Heterostructure Nanosheets for Polysulfide Redox Reactions
https://doi.org/10.1002/smll.202304847
通 讯 作 者 简 介
濮军:2019年6月毕业于南京大学现代工程与应用科学学院,同年进入安徽师范大学化学与材料科学学院任职。2020年,在澳门大学应用物理与材料工程研究所进行博士后工作。长期从事纳米材料的制备与电化学能源体系的研究。曾获安徽省自然青年科学基金、国家自然青年科学基金、濠江学者博士后等荣誉。目前已在Nat. Commun.; Adv. Mater.; Adv. Funct. Mater.; Energy Envrion. Sci.; Nano Energy; Small; J. Mater. Chem. A; J. Energy Chem.; Carbon等国际知名期刊发表SCI论文62篇,其中,一作/通讯论文32篇,高被引论文5篇。受邀撰写ACS-eBook共1章节。截止2023年7月,他引共计3400余次,H因子为27。
巩文斌:中国科学院大学计算物理博士,高级工程师,物理与新能源学院副教授,江苏省双创博士,联合国可持续发展目标协作项目顾问。研究方向为纳米复合结构的特性及应用。近年来主持国家自然科学基金青年项目1项、中国博士后科学基金面上项目1项、江苏省自然科学基金青年项目1项,江苏省高校自然科学基金青年项目1项、广东省基础与应用基础研究青年项目1项、江西省青年科学基金项目1项。公开发表SCI论文50余篇,其中(共同)通讯/第一作者20余篇。
姚亚刚:2004年7月毕业于兰州大学化学化工学院,同年保送至北京大学化学与分子工程学院硕博连读,2009年7月博士毕业后到美国乔治亚理工学院(Georgia Institute of Technology)进行博士后研究,2014年起任中国科学院苏州纳米技术与纳米仿生研究所研究员,2018年任职于南京大学现代工程与应用科学学院。一直从事低维材料的控制合成及其在柔性储能器件和热管理中的应用研究,在高导热界面材料的设计与控制制备以及柔性储能器件与集成等方面取得了系统成果。曾获国家自然科学基金委优秀青年科学基金、计划、江苏省“双创人才”、苏州工业园区“金鸡湖双百人才” 、全国百篇优秀博士学位论文。在Nature Materials、Advanced Materials、Nano letters、Journal of the American Chemical Society、ACS Nano、Advanced Science、Advanced Functional Materials、Nano Energy、Energy Storage Materials等国际一流学术期刊上发表论文100多篇。
添加官方微信 进群交流
SCI二氧化碳互助群
SCI催化材料交流群
SCI钠离子电池交流群
SCI离子交换膜经验交流群
SCI燃料电池交流群
SCI超级电容器交流群
SCI水系锌电池交流群
SCI水电解互助群
SCI气体扩散层经验交流群
备注【姓名-机构-研究方向】
投稿请联系contact@scimaterials.cn
点分享
点赞支持
点在看


