文 章 信 息
合理设计具有快速离子动力学的p-n异质结ZnS/SnO2量子点并应用于锂/钠离子电池
第一作者:詹光浩
通讯作者:吴小慧*,黄小荥*
单位:中国科学院福建物质结构研究所,福建师范大学
研 究 背 景
SnO2作为一种转化-合金型负极材料,具有理论容量高、工作电压安全、资源丰富、成本低、环境友好等优点,被认为是碱金属离子电池负极最重要的候选材料之一。然而,SnO2作为电池负极材料存在两大缺陷,一是SnO2半导体的本征电导率低容易导致高阻抗和差的倍率性能;二是在转化和随后的合金化反应过程中,其巨大的体积膨胀将不可避免地带来高机械内应力导致电极材料结构破坏。为了提高SnO2材料的储锂/钠性能,科研工作者们探索了多种策略,如精细形貌工程、缺陷工程、异质结构工程等。通常通过碳基质包覆作用可以巧妙地构建和分散纳米结构的SnO2。具体来说,由于碳基底与SnO2的相互作用可以使SnO2纳米晶在石墨烯、碳纳米管和碳微球上均匀分散并将SnO2的尺寸有效控制在5 nm以内。尽管碳基质包覆的SnO2纳米杂化材料能够表现出增强的电池循环稳定性,但具有本征半导体性质的SnO2所构建的电池其倍率性能仍有待进一步提高。通过具有不同电子结构的金属硫族化合物与SnO2构建异质结,不仅可以提高其电荷转移动力学,还可以通过增加晶体边界来稳定其电极结构。根据能带结构分布,p型半导体中的电子将转移到n型半导体中,而p型半导体中不稳定的缺电子态需要低价态Li+来实现电荷平衡,这导致Li+嵌入p型对应物的速度加快,这种异质结的协同效应将导致电极在脱/嵌锂过程中的氧化还原峰增强。因此,通过同时调控形貌和构建异质结构来合理设计p-n半导体异质结量子点并应用于LIBs和SIBs负极,对开发高性能LIBs和SIBs至关重要。
文 章 简 介
近日,来中国科学院福建物质结构研究所的黄小荥研究员与福建师范大学的吴小慧副教授合作,在国际知名期刊Small上发表题为“Rational engineering of p-n heterogeneous ZnS/SnO2 quantum dots with fast ion kinetics for superior Li/Na-ion battery”的文章。该文章基于含金属离子液体前驱体工程,设计合成p-n异质结ZnS-SnO2量子点均匀锚定在rGO上的复合材料(ZnS-SnO2@rGO)。结合ZnS-SnO2 QDs(3~5 nm)内部电场快速传输电子和大大缩短Li/Na离子扩散路径的优点,以及rGO基体提供的优异导电性和结构稳定性的特点,ZnS-SnO2@rGO负极表现出增强的电子和离子导电性。因此,ZnS-SnO2@rGO负极表现出了单一对应物复合负极无法达到的优异循环性能,在锂离子电池(在3.0 A g-1电流密度下循环1550次后比容量为702 mA h g-1)和钠离子电池(在1.0 A g-1电流密度下循环400圈后,比容量为313 mA h g-1)上均实现了高的可逆比容量。
文 章 要 点
要点一:构建层级结构的纳米异质结复合材料
通过溶剂热反应制备了分级结构的ZnS-SnO2@rGO复合材料(图1)。这种以金属离子液体[C5MMIm]2[ZnCl4]和[C5MMIm]2[SnCl6]为金属前驱体的策略可以有效控制量子点的尺寸,防止量子点的团聚。N2/H2气氛下的后续退火可以将氧化石墨烯(GO)还原为片层rGO。ZnS/SnO2的平面异质结结构如图2a所示。当SnO2和ZnS接触时,能带在其界面处自发重排,引起电荷重新分布,使其费米能级达到平衡。由于每种材料的带隙不同,电子和空穴的运动方向相反,从而形成内建电场。因此,存在一个新的电子从ZnS向SnO2迁移的通道,该通道具有较低的势垒高度,有利于ZnS中的电子直接向SnO2转移。ZnS-SnO2@rGO的TEM照片显示3~5 nm的量子点均匀分布在碳基质中(图2b-i),且ZnS量子点与SnO2量子点之间形成了异质结结构。所有组成元素Zn、Sn、S、O和C元素均匀分布在ZnS-SnO2@rGO上(图2j)。
图1 ZnS-SnO2@rGO复合材料制备过程示意图。
图2. (a)ZnS/SnO2异质结的带隙分布和原子结构示意图,(b-j)所制备的ZnS-SnO2@rGO复合材料的形貌、微观结构及元素分析表征。
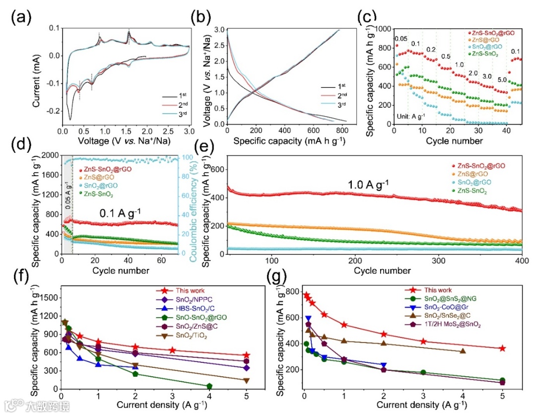
要点二:优异的储锂/钠性能
作为锂/钠离子电池负极材料,ZnS-SnO2@rGO复合材料表现出优异的倍率性能(在5.0 A g-1电流密度下,锂离子电池的比容量为551 mA h g-1;钠离子电池的比容量为334 mA h g-1)和长循环稳定性(锂离子电池在3.0 A g-1下循环1550次后容量保持率为88.8%;钠离子电池在1.0 A g-1下循环400次后比容量为313 mA h g-1),如图3-4所示。与最近报道的SnO2基锂离子电池或钠离子电池负极材料相比,ZnS-SnO2@rGO电极在超大电流倍率下其可逆容量具有明显的优势。这些结果表明ZnS-SnO2@rGO电极在实际储能应用中具有一定的实用性。
图3. 半电池的储锂性能:(a)CV曲线,(b)充放电曲线,(c)倍率性能,(d)恒流放电曲线,(e)容量变化,(f-g)长循环性能。
图4. 半电池的储钠性能:(a)CV曲线,(b)充放电曲线,(c)倍率性能,(d)循环性能,(e)长循环性能。ZnS-SnO2@rGO与其他已报道的SnO2基负极材料在(f)LIBs和(g)SIBs中的倍率性能对比。
要点三:陶瓷/聚合物固态电解质界面
ZnS-SnO2@rGO中的EIS半圆呈现最小的直径,意味着比其他三种电极具有更快的电化学反应动力学(图5a-b)。ZnS-SnO2@rGO在充电过程中表现出最小的脉冲电压降和更多的脉冲作用,这使得ZnS-SnO2@rGO电极具有最高的容量和最小的极化(图5c-d)。在充放电过程中,ZnS-SnO2@rGO表现出最大的DLi和DNa,即最优异的Li+/Na+离子的扩散能力(图5e-f)。此外,在所有扫描速率下,ZnS-SnO2@rGO的电容贡献均大于对比材料ZnS@rGO和SnO2@rGO(图6),表明ZnS-SnO2@rGO优异的高倍率性能主要归因于异质结构诱导的高比例赝电容贡献。DFT计算结果表明(图7),SnO2/ZnS的∆ELi/∆ENa均低于SnO2,说明了SnO2/ZnS异质结构更有利于Li+/Na+的占据;进一步模拟Li+和Na+在两种模型表面的扩散路径发现Li+/Na+在SnO2/ZnS表面的扩散能垒比SnO2低,说明Li+/Na+在SnO2/ZnS表面更容易发生离子扩散过程。在放电过程中,内建电场从ZnS指向SnO2,加快了电子转移速度,且电子被进一步收集并聚集在rGO基体中。同时,Li+/Na+离子沿相反方向移动与ZnS反应,这不仅有利于Li+/Na+离子的快速迁移,而且避免了Li+/Na+离子在SnO2中的深层固态扩散。因此,实验和理论计算均表明,ZnS/SnO2异质结的构筑有助于Li/Na原子的吸附同时增强了其离子扩散速率,对电池负极材料的循环性能和倍率性能产生了重要的积极影响。
图5. (a)锂离子和(b)钠离子电池中电极的奈奎斯特图;(c)锂离子和(d)钠离子电池中电极的GITT曲线;(e)锂离子和(f)钠离子电池放电/充电过程中电极的扩散系数。
图6. ZnS-SnO2@rGO的(a-d)锂离子和(e-f)钠离子动力学分析。
图7. (a)SnO2/ZnS和SnO2两种模型的正视图。(b)SnO2/ZnS和SnO2的电荷密度俯视图。(c)Li/Na离子在SnO2/ZnS和SnO2表面模拟的迁移路径。(d)Li离子和(e)Na离子在SnO2/ZnS和SnO2表面的迁移能垒。(f)SnO2/ZnS和SnO2的MSD。(g)ZnS-SnO2@rGO在放电过程中离子/电子转移的示意图。
文 章 链 接
“Rational engineering of p-n heterogeneous ZnS/SnO2 quantum dots with fast ion kinetics for superior Li/Na-ion battery”
https://onlinelibrary.wiley.com/doi/epdf/10.1002/smll.202300534
添加官方微信 进群交流
SCI二氧化碳互助群
SCI催化材料交流群
SCI钠离子电池交流群
SCI离子交换膜经验交流群
SCI燃料电池交流群
SCI超级电容器交流群
SCI水系锌电池交流群
SCI水电解互助群
SCI气体扩散层经验交流群
备注【姓名-机构-研究方向】
点分享
点赞支持
点在看

