大数跨境

李昱教授、苏宝连教授, JMCA观点:铠甲Co@C电催化剂加速Li-Se电池一步固相氧化还原动力学

李昱教授、苏宝连教授, JMCA观点:铠甲Co@C电催化剂加速Li-Se电池一步固相氧化还原动力学 科学材料站
2022-03-19
1
导读:该观点文章通过三维重构技术证实了催化剂对Se的强化学吸附作用,并且通过DFT计算和实验证实了Co NPs 对双向加速一步固-固转化反应的催化作用。

文 章 信 息

铠甲Co@C电催化剂加速Li-Se电池一步固相氧化还原动力学
第一作者:董文达,李超凡
通讯作者:胡执一*,李昱*,苏宝连*
单位:武汉理工大学

研 究 背 景

近年来,Se正极因其更高的电子电导率、与碳酸酯电解质更好的相容性以及与S正极相当的理论体积比容量而受到越来越多的关注。然而,较大的体积变化、穿梭效应和缓慢的氧化还原动力学阻碍了锂硒电池的发展。
本篇观点展示了嵌入等级孔碳纳米纤维(CPCFs)中的铠甲Co@C纳米粒子(Co@C NPs)作为锂硒电池的柔性硒载体。铠甲Co@C结构保护了Co免受活性物质和电解质的影响,进而增强了对活性Se和 Li2Se的吸附催化功能,从而改善了一步固相氧化还原动力学。此外,等级孔结构增强了传质并减轻了体积膨胀。
这项工作开创性地利用铠甲金属纳米粒子作为电催化剂来加速锂硒电池的硒正极的固相氧化还原动力学,实现高性能。

文 章 简 介

在这里,来自武汉理工大学的胡执一副研究员、李昱教授和苏宝连教授,在国际知名期刊JOURNAL OF MATERIALS CHEMISTRY A上发表题为“Chain-Mail Co@C Electrocatalyst Accelerating One-step Solid-phase Redox for Advanced Li–Se Batteries”的观点文章。
该观点文章通过三维重构技术证实了催化剂对Se的强化学吸附作用,并且通过DFT计算和实验证实了Co NPs 对双向加速一步固-固转化反应的催化作用。
图1. TEM以及三维重构。

利用三维重构技术,直观揭示了样品中的3D互连等级孔结构以及Se和Co@C NPs的分布。通过使用TVM重构算法,使结果表现出优异的重构精度和清晰的截面细节,从而在三维角度阐明了Se呈岛状分布在CPCFs中的Co@C NPs周围。这证实了Co@C NPs对Se物种具有很强的吸附能力。值得注意的是,金属Co在Se扩散过程中没有被硒化,这归因于保护 Co表面的碳层的保护作用。
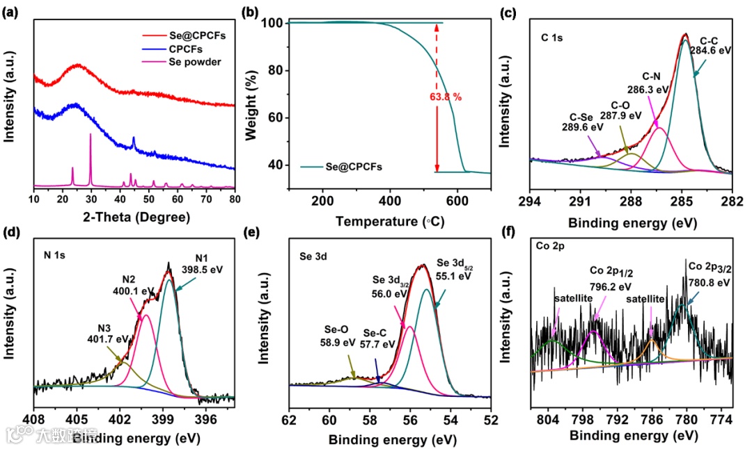
图2. Se@CPCFs的XRD,TG,XPS表征

通过XRD表征,证实了Se和Co的存在形式,Se以无定形的形式存在,Co则以晶体形式存在,与HRTEM观测到的结果一致。XPS测试结果表明,富电子N原子的掺杂有利于提高极性碳基体的电子电导率和表面亲和力。高活性的吡啶-N和吡咯-N有利于额外的化学吸附。从Se 3d谱中可以清楚地观察到Se-O键和Se-C键。
这里,Se-O键的形成来自高活性短链硒与表面氧之间的氧化反应。在熔融扩散过程中形成的C-Se键,被认为提高了Se/C界面的稳定性。在Co 2p光谱中检测到金属Co,金属钴纳米粒子的掺入可调节碳表面的电子密度,并协同增强Li2S与碳表面之间的相互作用。
图3. 电化学性能测试

通过CV测试和Se/Li2Se的溶解实验,证实了正极的电化学反应为Se和Li2Se之间的固相转化反应。受益于嵌在CPCFs载体中的铠甲Co@C NPs优异的催化性能和传质结构,Se@CPCFs 正极表现出优异的循环性能和突出的倍率性能。
图4. DFT计算

数据显示,Se@CPCFs的过电势和电压变化(310 mV)大大低于无钴Se@PCFs(770 mV),表明Se@CPCFs具有更快的氧化还原动力学。DFT计算进一步阐明了铠甲 Co@C 电催化剂在Li-Se中的电化学催化作用及其催化活性来自于电子从Co纳米颗粒到石墨层的转移。
Li2Se在Gr和Co-Gr表面上的最佳吸附构象和计算结果表明,Li2Se在Gr和Co-Gr表面的吸附能分别为0.57和0.95 eV。这意味着Co@C NPs电催化剂的引入大大增强了Li2Se在Gr表面的吸附,引导了Li2Se的均匀成核,并确保了在放电过程中Li2Se与碳基体之间的良好接触。通过分析Li2Se的成核和解离能垒发现,Co@C 电催化剂双向加速了锂硒电池的固相转化电化学。

文 章 链 接

The chain-mail Co@C electrocatalyst accelerating one-step solid-phase redox for advanced Li–Se batteries
https://pubs.rsc.org/en/Content/ArticleLanding/2022/TA/D1TA10193E

通 讯 作 者 简 介

胡执一  武汉理工大学材料复合新技术国家重点实验室副研究员。2016年博士毕业于比利时安特卫普大学EMAT电镜中心,2017年加入武汉理工大学纳微结构研究中心,任学术秘书。
研究领域:先进电子显微学分析方法,新能源材料表界面精细结构及构效关系研究。发表SCI论文80余篇,他引1800余次,H因子26。主持国家自然科学基金项目和湖北省自然科学基金项目。在国际和国内学术会议上作邀请报告10余次。

李昱 教授  武汉理工大学教授、博导。研究领域:仿生等级孔结构材料的设计、合成及能源存储与转换研究。
发表SCI论文170余篇,国际国内期刊封面文章多篇,他引9800余次,H因子54,授权专利50余项,20余次在国际会议中做主旨报告或特邀报告,并10次担任分会主席,10次作为组委会成员组织国际会议。承担国家重点研发计划,基金委重点专项等,2019年获湖北省自然科学一等奖1项(第三完成人)。

苏宝连 教授  欧洲科学院院士,比利时皇家科学院院士,英国皇家化学会会士;剑桥大学克莱尔-霍尔学院终生成员;武汉理工大学战略科学家。
1992年获中国石化发明奖一等奖,1994年获中国优秀专利奖,2007年获比利时皇家科学院Adolphe Wetrems奖,2011年获世界化学最高组织国际纯粹与应用化学联合会(IUPAC)新材料与合成杰出贡献奖,2012年获得比利时联邦“Francqui Chair”奖,2019年获中国政府友谊奖,2019年湖北省自然科学一等奖(第一完成人),2020年获国际胶体与界面瓦申(Darsh Wasan)杰出贡献奖,2021年获国际介观结构材料协会奖(IMMA Award)。
在国际著名杂志发表SCI科学论文500余篇,授权发明专利60余项,出版等级孔领域专著一部,合著3部。现担任Chemical Synthesis主编,Interdisciplinary Materials副主编,National Science Review编委。


添加官方微信 进群交流

SCI二氧化碳互助群

SCI催化材料交流群

SCI钠离子电池交流群

SCI离子交换膜经验交流群

SCI燃料电池交流群

SCI超级电容器交流群

SCI水系锌电池交流群

SCI水电解互助群

SCI气体扩散层经验交流群

备注【姓名-机构-研究方向】

说明

🔹本文内容若存在版权问题,请联系我们及时处理。

🔹欢迎广大读者对本文进行转发宣传。

🔹《科学材料站》会不断提升自身水平,为读者分享更加优质的材料咨询,欢迎关注我们。

投稿请联系contact@scimaterials.cn

致谢

感谢本文作者对该报道的大力支持。

点分享

点赞支持

点在看


【声明】内容源于网络
0
0
科学材料站
内容 0
粉丝 0
科学材料站
总阅读0
粉丝0
内容0