大数跨境

郑州大学周震教授、马炜副教授AFM观点:构筑阳离子空位原位负载Pt单原子调控界面电子结构提高全解水效率

郑州大学周震教授、马炜副教授AFM观点:构筑阳离子空位原位负载Pt单原子调控界面电子结构提高全解水效率 科学材料站
2022-05-20
1
导读:该课题组设计制备了高负载单原子催化剂,探索了Pt单原子与层状α-NixFe1-x(OH)2载体之间的互作用以及电子结构变化对全解水催化过程的影响。


文 章 信 息

原位大量负载Pt单原子在具有阳离子空位的α-NixFe1-x(OH)2调控电子结构提高全解水效率

第一作者:王丽明、张利利

通讯作者:马炜*、周震*

单位:郑州大学


研 究 背 景

电解水产氢是具有电能转化效率高,产氢纯度高等优点。铂(Pt)基催化剂由于独特的电子结构和化学性质,在电解水制氢领域得到了广泛研究。然而,贵金属Pt价格高和储量少限制了其规模化应用;并且,利用具有单一电催化功能的Pt基催化剂构建全解水系统耗时耗力。因此,开发对析氢反应(HER)和析氧反应(OER)兼具高效电催化性能的双功能低Pt催化剂应用于全解水领域具有重要意义。具有低配位的Pt单原子催化剂的原子利用率高(接近100%),可以在提高析氢反应活性的同时大大降低Pt用量。
同时,Pt单原子与载体之间的相互作用优化载体的电子结构,从而协同提高HER和OER性能,进而提升电解水效率。另外,具有较高的比表面积的层状过渡金属氢氧化物是一种优良的催化剂载体,但是具有完整结构的氢氧化物本征电催化活性较低,活性位点较少。层状氢氧化物与贵金属单原子结构的结合,可望提高催化剂本征活性和活性位点数量。特别地,由于氧具有较高的电负性,阳离子空位能够锚定金属原子形成金属-氧键(M-O),加速与含氧基团的反应,从而提高电催化性能。


文 章 简 介

基于此,郑州大学马炜副教授、周震教授团队,在国际知名期刊Advanced Functional Materials上发表题为“In Situ Anchoring Massive Isolated Pt Atoms at Cationic Vacancies of α-NixFe1-x(OH)2 to Regulate the Electronic Structure for Overall Water Splitting”的文章。该课题组设计制备了高负载单原子催化剂,探索了Pt单原子与层状α-NixFe1-x(OH)2载体之间的互作用以及电子结构变化对全解水催化过程的影响。

图1. 双功能催化剂在碱性电解质中的全解水示意图


本 文 要 点

要点一:高负载单原子催化剂的原位构筑
图2催化剂结构分析。(a-b)Pt-Ni2Fe1-24的透射电镜图;(c)XRD图谱;(d)Pt-Ni2Fe1-24的球差电镜图;(e)Ni 2p,(f)Pt 4f的XPS图谱(i:vFe-Ni2Fe1-24;ii:Pt-Ni2Fe1-12;iii:Pt-Ni2Fe1-24;iv:Pt-Ni2Fe1-36)
采用水热反应合成层状α-NixFe1-x(OH)2/CNTs前驱体,并利用简单温和的原位氧化技术制备层状α-NixFe1-x(OH)2/CNTs负载的Pt单原子催化剂(Pt-Ni2Fe1-T,T表示氧化时间)。H2PtCl6作为氧化剂,使α-NixFe1-x(OH)2/CNTs中的Fe(OH)2被氧化为FeOOH并形成Fe空位;同时,Pt原子被原位锚定在Fe空位上,从而在层状α-NixFey(OH)2纳米片表面形成稳定的Pt单原子催化剂;通过控制Fe的含量,实现铂单原子催化剂的可控构筑,Pt单原子负载量高达6.15 wt%。

图3 Pt-Ni2Fe1-24的XAS图谱。(a)Fe K边XANES图谱;(b)Fe原子的FT-EXAFS;(c)Fe2O3和(d)Pt-Ni2Fe1-24中Fe原子的小波变换图;(e)Pt l边XANES图谱;(f)Pt原子的FT-EXAFS;(g)Pt foil和(h)Pt-Ni2Fe1-24中Pt原子的小波变换图
Pt-Ni2Fe1-24的透射图中0.24 nm的晶格条纹对应于α-Ni2/3Fe1/3(OH)2的(015)晶面(图2a, b),插图中的选区电子衍射和图2c的XRD图谱相对应,但未出现Pt的衍射峰,说明催化剂中的Pt可能以单原子的形式存在。通过球差电镜证实了催化剂中存在较多的Pt单原子(图2d),XPS结果证明Pt和Ni2/3Fe1/3(OH)2之间存在电子转移作用(图2e-f)。
通过x射线吸收精细结构谱可知,Pt-Ni2Fe1-24中的Fe-M(M=Ni,Fe,Pt)的散射路径长(3.44 Å)大于NiFe LDH(2.01 Å),且配位数(3.4)远小于NiFe LDH(6),说明Pt-Ni2Fe1-24中存在Fe空位(图3a-d)。从图3f中可以看出Pt-Ni2Fe1-24中Pt-O仅在1.65 Å处有一个主峰,和PtO2相对应,同时未出现Pt-Pt键,说明Pt-Ni2Fe1-24中的Pt以单原子状态存在。此外,催化剂的小波变换图也证实了上述的结论(图3g-h)。

要点二:单原子增强电催化活性
Ni2/3Fe1/3(OH)2上的Pt活性位点降低了析氢热力学势垒,具有较高的HER活性。同时,单原子Pt调节了层状NiFe氢氧化物的电子结构,提高了OH*的吸附能,促进了OOH*在催化剂上的去质子化过程,提高了OER性能。
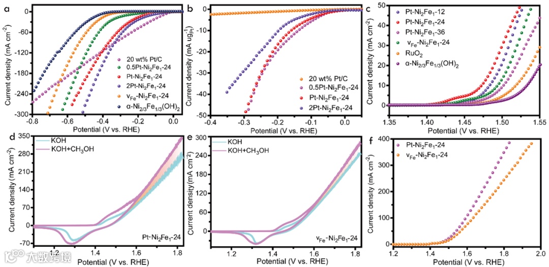
图4 催化剂性能测试。(a)在1.0 M KOH溶液中经过iR校正的HER线扫描极化曲线;(b)在1.0 M KOH溶液中质量比活性曲线;(c)在1.0 M KOH溶液中经过iR校正的OER线扫描极化曲线;(d)Pt-Ni2Fe1-24和(e)vFe-Ni2Fe1-24在1 M KOH溶液(含/不含0.01 M甲醇)中的循环伏安曲线;(f)1.0 M KOH和0.01 M CH3OH的混合溶液中iR校正的线扫描极化曲线
图4a中催化剂的HER性能随着Pt含量的增加而增强,说明Pt是HER的主要活性位。此外,质量比活性(图4b)对比可知,Pt-Ni2Fe1-24中Pt的活性远高于20 wt% Pt/C。图4c说明Pt-Ni2Fe1-24具有优良的OER催化活性。通过对比Pt-Ni2Fe1-24和vFe-Ni2Fe1-24在含有甲醇溶液中的析氧性能(图4d-f)证明Pt-Ni2Fe1-24对OER反应中间体具有更强的吸附能力。

要点三:HER/OER催化过程研究
图5 DFT计算。(a)Pt-Ni2Fe1-24和vFe-Ni2Fe1-24中各活性位点的HER反应吉布斯自由能图(i: Pt on Pt-Fe2Ni1-24 (110), ii: Fe on vFe-Fe2Ni1-24 (110), iii: Ni on Pt-Fe2Ni1-24 (110), iv: Ni on vFe-Fe2Ni1-24 (110), v: Fe on Pt-Fe2Ni1-24 (110), vi: O on Pt-Fe2Ni1-24 (001));(b)Pt-Ni2Fe1-24和vFe-Ni2Fe1-24中各金属位点的偏态密度图;Pt-Ni2Fe1-24和vFe-Ni2Fe1-24中(c)Ni和(d)Fe位点上的吉布斯自由能图; Pt-Ni2Fe1-24的(e)HER和(f)OER的反应机理图
结合实验数据和理论计算结果,在HER反应过程中,H2O首先吸附在Ni位点上进行解离,H2O解离后的OH*吸附在Ni表面,H*则吸附在Pt位点上,通过Volmer-Heyrovsky过程生成H2。在OER反应过程中,Ni是主要的活性位点。并且,Pt单原子的存在改变了Fe位点上的OER速控步骤;Pt单原子和阳离子空位的出现,实现了Ni电子结构的有效调控,优化了OER性能。

要点四:太阳能-氢能转化及应用
限制太阳能驱动电解水制氢技术发展的主要原因是太阳能转换效率较低(12%),因此,选择高效的电解水催化剂对于太阳能的可持续转换和储存至关重要。设计和制备用于全解水的不同阴/阳极催化剂不仅具有复杂性,并且在实际应用时还存在交叉污染的可能性。因此,开发高效的析氢反应(HER)和析氧反应(OER)双功能电催化剂来提高太阳能驱动电解水制氢的效率在降低整个水分解体系的成本和简化生产方面具有广阔的应用前景。
图6 全解水反应。Pt-Ni2Fe1-24@NF和RuO2||20 wt% Pt/C@NF的全解水性能测试(a)线扫描极化曲线;(b)计时电位曲线;(c)Pt-Ni2Fe1-24@NF的两电极系统的线扫描极化曲线;(d)H2和O2的理论(线)和实际(点)产量;(e)H2和O2的法拉第效率;(f)太阳能转换效率
以Pt-Ni2Fe1-24作为全解水双功能催化剂,在1.0 M KOH溶液中进行全解水性能测试,由图6a可知,Pt-Ni2Fe1-24@NF的催化性能优于RuO2||20 wt% Pt/C@NF,并且稳定性较好(图6b)。在密封的系统中进行测试(图6c-f),Pt-Ni2Fe1-24的析氢法拉第效率和太阳能-氢能转换效率分别为98.84%和11.69%。


结 论

单原子Pt通过简单的原位氧化过程负载在层状α-NixFe1-x(OH)2的Fe空位处,实现单原子催化剂的可控构筑。Pt单原子和α-NixFey(OH)2之间的电子转移有效提升了催化剂的OER和HER活性。而且,较高的太阳能-氢能转化效率证明α-NixFe1-x(OH)2负载的Pt单原子催化剂具有潜在的应用价值。


文 章 链 接

In Situ Anchoring Massive Isolated Pt Atoms at Cationic Vacancies of α-NixFe1-x(OH)2 to Regulate the Electronic Structure for Overall Water Splitting

https://doi.org/10.1002/adfm.202203342


通 讯 作 者 简 介

马炜  副教授  

马炜副教授,硕士生导师,博士毕业于中南大学和日本国立物质材料研究所,2016年1月入职郑州大学化工学院。在Advanced Energy Materials、ACS Nano、Journal of Materials Chemistry A、Nanoscale和ACS Sustainable Chemistry & Engineering等期刊发表论文30余篇。主要研究领域为二维材料的可控制备与电催化。


周震  教授 

周震教授,郑州大学“长江学者”特聘教授、化工学院院长。主持国家重点研发计划项目课题和国家自然科学基金重点项目等研究。通过高通量计算、机器学习与实验相结合研究能源存储与转化材料与体系。在国内外期刊发表论文300余篇。论文被引用30000余次,h-index为102。2014-2021年连续八年入围“爱思唯尔”中国高被引学者榜。2018-2021年连续四年入选“科睿唯安”全球高被引科学家。2020年入选英国皇家化学会会士(FRSC)。现为Journal of Materials Chemistry A和Green Energy and Environment副主编、Batteries & Supercaps等七本期刊编委以及中国电子学会化学与物理电源技术分会第八届委员会委员。


第 一 作 者 介 绍

王丽明:郑州大学2019级硕士研究生

 张利利:博士毕业于华南理工大学,2019年7月入职郑州大学化工学院。在Angewandte Chemie International Edition、Journal of Materials Chemistry A、Chemistry-A European Journal、Small、Chemical Science等期刊发表多篇论文。主要研究领域为储能材料与器件和电催化。


课 题 组 介 绍

新能源科学与工程交叉研究中心

新能源科学与工程交叉研究中心成立于2021年10月,是郑州大学化工学院发展双一流学科、开展新工科建设的重要举措,中心在科学研究方面积极推动新能源、纳米材料、机器学习等新技术与传统工科专业的交叉融合;在化工产业领域重视行业发展和技术集成创新、聚焦国家重大战略,将建设成为具有创新创业能力、跨界整合能力、广阔国际视野和绿色可持续发展理念的高科技创新型研究中心。

新能源科学与工程交叉研究中心依托的化工学院,拥有多个国家重点(培育)学科和全球排名前100学科(化学工艺),拥有化学工程与技术一级学科硕士、博士学位授权点和博士后科研工作站。中心以国家和河南省的能源重大需求为牵引,着重于能源-材料-化学-人工智能等多学科的交叉重大问题,目前设立有清洁能源电催化与电合成;固态电解质与全固态电池;下一代二次电池实用化;能源过程计算模拟与机器学习四个研究方向。


课 题 组 招 聘

新能源科学与工程交叉研究中心诚聘博士后:

要求:

1.    有锂电、固态电池、催化等领域相关专业背景;

2.    具备良好的事业精神、工作态度及团队意识;

3.    有锂电正极(三元、高镍等)制备经验者优先。

薪酬待遇请参考郑州大学人事处网站:

http://www7.zzu.edu.cn/rczp/info/1146/1223.htm

简历发送至:zhenzhou@zzu.edu.cn


添加官方微信 进群交流

SCI二氧化碳互助群

SCI催化材料交流群

SCI钠离子电池交流群

SCI离子交换膜经验交流群

SCI燃料电池交流群

SCI超级电容器交流群

SCI水系锌电池交流群

SCI水电解互助群

SCI气体扩散层经验交流群

备注【姓名-机构-研究方向】

说明

🔹本文内容若存在版权问题,请联系我们及时处理。

🔹欢迎广大读者对本文进行转发宣传。

🔹《科学材料站》会不断提升自身水平,为读者分享更加优质的材料咨询,欢迎关注我们。

投稿请联系contact@scimaterials.cn

致谢

感谢本文作者对该报道的大力支持。

了解碱性水电解材料,点击"阅读原文"

点分享

点赞支持

点在看


【声明】内容源于网络
0
0
科学材料站
内容 9163
粉丝 0
科学材料站
总阅读9.0k
粉丝0
内容9.2k