文 章 信 息
原位制备“盐包聚合物”型电解质用于高电压锂金属电池
第一作者:孙孟君
通讯作者:谢佳*,曾子琪*
单位:华中科技大学
研 究 背 景
文 章 简 介
本文中,来自华中科技大学的曾子琪博士和谢佳教授,在国际知名期刊Journal of Materials Chemistry A上发表题为“In-situ prepared “polymer-in-salt” electrolytes enabling high-voltage lithium metal battery”的文章。在该工作中,作者结合原位聚合技术和“盐包聚合物”型聚合物电解质的优点,采用共聚的方法原位制备了聚(己内酯−丙交酯)基(PCA)“盐包聚合物”型电解质(PISE)。PISE与高电压正极和锂金属电池负极均具有良好的兼容性。
本 文 要 点
要点一:原位制备聚(己内酯−丙交酯)及“盐包聚合物”型电解质
图1. 己内酯单体、丙交酯单体和聚(己内酯-丙交酯)及PISE的物理化学性质
1H NMR和FTIR结果表明,聚(己内酯-丙交酯)成功制备。XRD与DSC结果表明,PISE结果具有完全无定形的结构。
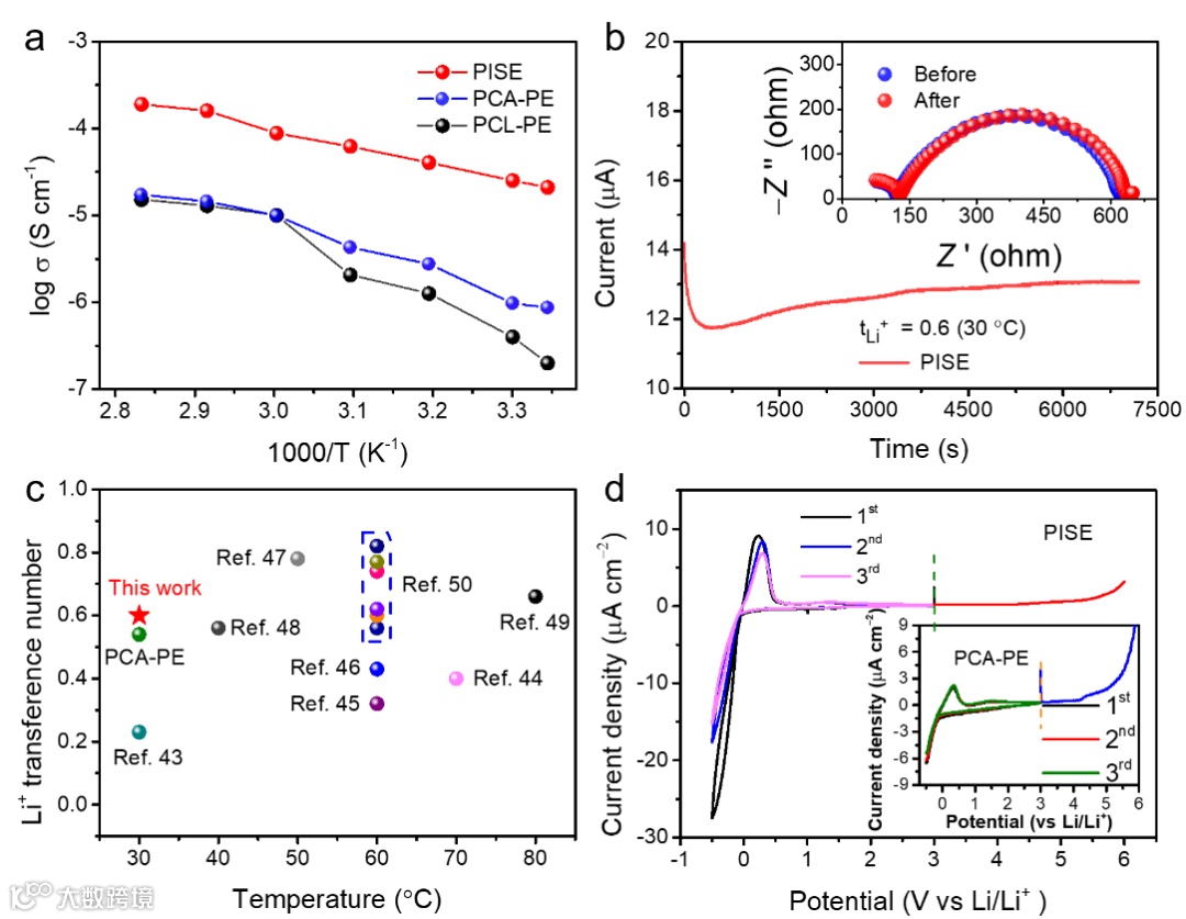
要点二:“盐包聚合物”型电解质具有良好的电化学性能
图2. 原位制备的PCA基电解质和PCL基电解质在不同温度下的电化学性能
PISE具有高离子电导率(8.9 × 10−5 mS cm−1, 30 °C)和迁移数(0.6, 30 °C)及宽的电化学窗口(5.0 V, vs Li/Li+)。
要点三:“盐包聚合物”型电解质与锂金属负极具有良好的兼容性
图3. PISE与锂金属负极的兼容性及循环后负极的表面和电解质界面表征
PISE基Li/Li对称电池可以在30 °C下稳定循环1000小时,而PCA-PE1基Li/Li对称电池在30 °C下的过电位甚至超过了2 V。因此,PISE与锂金属负极具有更好的兼容性。
要点四:“盐包聚合物”型电解质与高电压正极具有良好的兼容性
图4. PISE基锂金属电池在室温下的循环性能
PISE基锂金属电池的倍率性能和循环性能明显优于PCA-PE1基电池,表明PISE电与高电压正极具有更好的兼容性。
要点五:NCM622正极循环后形成了稳定的CEI
图5. 循环后正极电解质界面表征
NCM622/Li电池在PISE中循环后,NCM622正极表面形成了薄的、稳定的正极电解质界面(CEI)。
文 章 链 接
In-situ prepared “polymer-in-salt” electrolytes enabling high-voltage lithium metal battery
https://pubs.rsc.org/en/content/articlelanding/2022/ta/d2ta00093h
通 讯 作 者 简 介
谢佳 教授
华中科技大学教授、博士生导师,国家重点基础研究计划(青年973计划)项目“高比能二次锂硫电池界面问题基础研究”首席科学家。2002年于北京大学化学与分子工程学院获学士学位;2008年于斯坦福大学化学系获博士学位;2008-2012年美国陶氏化学任资深研究员;2012年初回国,担任合肥国轩高科研究院院长,从事动力锂离子电池研发及产业化工作;2015年担任华中科技大学教授。近年来在动力电池及电池关键材料、储能及新能源汽车领域等方面取得了原创性成果。在 Nat. Commun., J. Am. Chem. Soc., Adv. Energy Mater. 等国际期刊发表论文100余篇,获专利授权60余项,其中发明专利35项。
曾子琪 博士
华中科技大学电气学院讲师。2018年于武汉大学化学与分子科学学院获博士学位,师从曹余良教授。长期从事电化学储能技术及功能性电解质材料的研究开发工作,重点关注电解液组成、结构与界面之间的构效关系。在Nature energy 、ACS Energy Letters 、Advanced Functional Materials 等国际顶级期刊发表论文30余篇。
第 一 作 者 介 绍
孙孟君 华中科技大学材料科学与工程学院19级博士生,导师为谢佳教授,研究方向为聚合物基固态锂金属电池。目前以第一作者身份发表SCI论文4篇。
添加官方微信 进群交流
SCI二氧化碳互助群
SCI催化材料交流群
SCI钠离子电池交流群
SCI离子交换膜经验交流群
SCI燃料电池交流群
SCI超级电容器交流群
SCI水系锌电池交流群
SCI水电解互助群
SCI气体扩散层经验交流群
备注【姓名-机构-研究方向】
投稿请联系contact@scimaterials.cn
点分享
点赞支持
点在看

