文 章 信 息
锌负极微槽设计助力长寿命水系电池实现超稳定、低过电位锌沉积
第一作者:袁晨博
通讯作者:詹孝文*,高山*
单位:安徽大学
研 究 背 景
近年来,由于化石燃料的快速消耗及其引起的气候问题,开发低成本、可靠的电化学能源存储系统受到广泛关注。其中,水系锌金属电池(ZMBs)由于其高安全性和低成本的优点,在静态能量存储中备受瞩目。但是,不均匀的锌沉积会加剧枝晶的形成和析氢腐蚀,导致库仑效率低并造成电池性能下降。大量的工作尝试通过设计表面涂层、锌基合金等来抑制Zn枝晶生长,延长电池寿命。
然而,这些策略中电池的结构组成较为复杂,不可避免地使ZMBs的商业化变得更加困难。由于供应商或不同批次之间提供的锌箔结构和化学成分不一致,上述工作中报道的未处理初始锌箔的对称电池循环性能差异显著,很难有效地比较和评估不同策略带来的有效性能提升。
此外,大部分研究通常都忽视了锌箔的初始表面形貌对枝晶生长的影响。多项研究表明,一些简单的工艺处理,例如对Zn表面抛光等,就能达到与相对复杂的表面涂层类似的性能改善。因此,了解锌箔的化学性质和形貌,探索简单、高效、可放大的策略来改善锌箔表面,对合理设计金属锌电极具有很高的研究价值。
图文摘要:简单、可放大的锌箔酸刻蚀助力水系锌金属电池在超低过电位下稳定长循环。
文 章 简 介
基于此,安徽大学詹孝文教授、高山教授等在国际知名期刊Chemical Engineering Journal上发表题为“Microgroove-patterned Zn metal anode enables ultra-stable and low-overpotential Zn deposition for long-cycling aqueous batteries”的研究工作。
该研究通过使用一种简单可放大的酸刻蚀方式,在商业锌箔负极上设计了均匀的微槽图案。所形成的独特表面结构引导了锌的均匀沉积,加速了界面反应动力学,并抑制了电解液腐蚀。由此产生的锌负极5HZn-10s(用5 wt.%的HCl处理Zn箔10 s)在对称电池体系中,实现了2920 h的出色电镀/剥离稳定性(1 mA cm-2/1 mAh cm-2,过电位:19.5 mV),循环寿命和过电位都是迄今为止报告的最佳记录之一。
此外,作者详细阐明了形貌诱导的性能增强机制。本策略为未来的研究提供了可靠的性能基线,并且可以很容易地与其他新兴策略(如表面涂层等)相结合,加速面向实用型ZMBs 的性能升级。
本 文 要 点
要点一:独特的表面形貌和优异的循环稳定性
图1. (a) 原始锌箔和5HZn-10s电极表面的Zn沉积行为示意图。用 (b) 原始锌箔和 (c) 5HZn-10s 电极组装成对称电池,研究不同循环圈数后的SEM形貌演变
如示意图1a所示,原始锌箔和5HZn-10s显现出了两种截然不同的Zn沉积行为。在原始锌箔中,由于自身表面缺陷和钝化层的存在,容易造成Zn2+局部分布不均,导致不均匀锌沉积。相反,酸刻蚀的5HZn-10s拥有均匀分布的表面微槽,使得在最初的电镀过程中实现了致密、平整的沉积形貌,并且在之后的循环中也能够继续维持这一稳定表面。相应的SEM图1b-c也证明了这一趋势。
图2. (a) 比较原始锌箔和5HZn-10s对称电池的长循环性能。将5HZn-10s与文献中有代表性的Zn负极修饰策略在 (b) 过电位、循环寿命和 (c) 倍率性能方面进行比较。(b)中的比较是基于最常见的1mA cm-2/ 1mAh cm-2测试条件下进行的。
如图2a所示,使用5HZn-10s电极的锌对称电池表现出2920 h的超长循环寿命(1 mA cm-2/1 mAh cm-2,过电位:19.5 mV)。相反,原始锌负极仅在循环43圈后就出现了短路迹象,并且表现出非常大的过电位(50 mV)。为了更好的展示5HZn-10s对称电池在循环寿命和过电位方面的优势,相比于已报道的具有代表性的锌负极修饰策略,在相同的测试条件下,使用5HZn-10s电极的锌对称电池有着更好的循环寿命和更低的过电位(图2b-c)。
要点二:原位光学观察与库伦效率测试
图3. (a) 原始锌箔和 (b) 5HZn-10s电极在电流密度为1 mA cm-2的条件下电沉积1小时的原位光学显微镜照片。(c) 原始Zn||Ti和5HZn-10s||Ti半电池的库伦效率对比。
如图3a-b所示,随着电沉积时间的增长,原始锌箔逐渐演变出了不规则的枝晶形状。相反,5HZn-10s电极却表现出了均匀的Zn沉积。如图3c所示,由于5HZn-10s很好的抑制了副反应以及枝晶的生长,所以其相比于原始锌箔拥有更高且更稳定的库伦效率。
要点三:5HZn-10s 电极的性能提升机理
图 4. 不同温度下 (a) 原始锌箔和 (b) 5HZn-10s 的EIS图,(c) 相应的阿伦尼乌斯曲线和活化能。(d) 原始锌箔和5HZn-10s的线性极化曲线。(e) 原始锌箔和5HZn-10s 对称电池在静置不同天数后的强度归一化XRD图片,相应不同天数(f,h)原始锌箔 和 (g,i) 5HZn-10s的SEM图片。
根据图4a-c,5HZn-10s电极呈现出更优越的反应动力学,这可能与Zn2+更为有利的去溶剂化过程(更低的激活能)有关。通过图4d线性极化曲线测试,相比于原始锌箔,5HZn-10s 电极呈现出更优异的抗腐蚀能力,图4e中5HZn-10s 电极上也展现出相对更少的腐蚀副产物(Zn4(OH)6SO4·xH2O)。原始锌箔和5HZn-10s在静置不同天数后的SEM图片表明,原始锌片的表面覆盖了许多松散的片状Zn4(OH)6SO4·xH2O副产物。
相反,5HZn-10s在10天到20天的静置中并没有发生较大的形貌变化(图4g,i),所有的Zn4(OH)6SO4·xH2O薄片都呈现出沿垂直方向均匀分布的形态。总之,5HZn-10s继承了整齐排列的微槽图案(图1c),展现出具有交替间隙的均匀表面形貌,不仅有益于Zn2+传输,也能限制副产物的无序积累。
要点四:合理设计获得5HZn-10s独特表面结构
图 5. 盐酸的浓度对锌箔形貌和电化学行为的影响。(a-f) 原始锌箔以及在2、3、4、5和10 wt.% 不同浓度的盐酸水溶液中浸泡原始锌箔10秒后,所获得的SEM照片。(g) 使用上述原始和处理过的锌箔组装的对称电池的循环寿命和过电位图片。(h) 通过对不同对称电池的静态EIS测量,从而获得的阻抗柱状图
本文结合处理后形貌、相应对称电池循环寿命和沉积过电位以及静态EIS对酸处理条件进行了系统研究。如图5所示,酸浓度过低(<5 wt.%)时可能很难形成均匀的蚀刻图案;酸浓度太高(10 wt.%)则容易造成严重的Zn表面破坏,形成深层孔洞,加剧腐蚀程度,从而导致对称电池电压极化增大、循环寿命变短。因此,当所使用的HCl为最佳浓度(5 wt.%) 时,酸蚀一方面足以完全去除Zn箔表面缺陷并形成均匀的微槽,另一方面不会与Zn箔反应太剧烈,避免了孔洞的产生。针对处理时间的考察详见原文。
要点五:全电池电化学性能表征
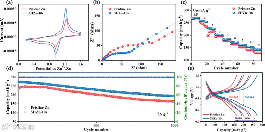
图 6. 用5HZn-10s负极搭配V2O5正极组装具有优异电化学性能的V2O5||Zn电池:(a) 循环伏安图,(b) 电化学阻抗谱,(c) 倍率性能,以及在5A g-1下,(d)长循环性能和 (e) 相应的不同循环圈数的电压曲线。
V2O5||5HZn-10s电池优异的倍率性能和循环稳定性进一步印证了5HZn-10s负极在过电位和沉积/剥离循环稳定性方面的突出优势。
总 结
综上所述,本工作首次通过合理控制酸蚀在锌表面引入了均匀的微槽形态。所获得的5HZn-10s锌负极在对称电池体系中展现出2920 h的电镀/剥离稳定性(1 mA cm-2/1 mAh cm-2,过电位:19.5 mV),远超许多已报道的改性锌金属负极。通过XRD、原位光学显微镜、SEM、静态EIS和拉曼光谱等多种技术表征,分析了表面形貌、抗腐蚀能力和电化学性能之间的联系,阐明了5HZn-10s 的电池性能增强机理。
研究表明,独特的微槽图案为锌负极提供了(1)均匀的锌沉积,(2)更快的界面反应动力学,以及(3)更强的抗腐蚀能力。本研究结果介绍了一种具有高成本效益和可放大的商业锌箔直接酸刻蚀方法,助力锌金属负极在极低过电位下实现超稳定循环。这项工作为未来的研究提供了可靠的性能基线,并且可以很容易地与其他新兴策略(如表面涂层等)相结合,有助于加速实用型ZMBs 的进一步性能升级和产业化。
文 章 链 接
Microgroove-patterned Zn metal anode enables ultra-stable and low-overpotential Zn deposition for long-cycling aqueous batteries
https://www.sciencedirect.com/science/article/pii/S1385894722017272?dgcid=author
通 讯 作 者 简 介
詹孝文 教授
詹孝文,2014年毕业于北京科技大学材料科学与工程国际班,2018年获美国肯塔基大学博士(导师:Yang-Tse Cheng教授),2018-2020期间任美国西北太平洋国家实验室博士后研究员(合作导师:Guosheng Li高级研究员), 2020.07至今先后担任安徽大学化学化工学院、材料科学与工程学院教授,一直从事固态电解质及其锂/钠金属电池应用研究,迄今在Cell Reports Physical Science、Advanced Energy Materials、Energy Storage Materials等国际知名期刊发表论文20余篇,长期担任Chem. Comm.,Chemical Engineering Journals, J. Power Sources等专业期刊审稿人,现任《稀有金属》青年编委。曾获Web of Science 2019顶级同行评审人、美国电化学协会参会奖助金(2017,2018)等代表性荣誉,2021年入选安徽省部级青年人才计划。
高山 教授
高山,2016年获中国科学技术大学博士(导师:谢毅院士),2016 -2018期间担任中国科学技术大学能源材料化学协同创新中心博士后,2018.5至今担任安徽大学化学化工学院教授。国家万人计划青年拔尖人才入选人,主要从事低维固体纳米材料方面的研究,重点关注无机功能纳米材料的化学制备、结构、理论和性能研究,特别是清洁能源催化转化领域。在这些方面做出了一系列原创性的成果,在Nature, Nature Communication,J. Am. Chem. Soc.,Angew. Chem. Int. Ed.等国际期刊共发表30余篇论文,单篇最高引用1000余次。
第 一 作 者 介 绍
袁晨博
安徽大学化学化工学院2020级硕士研究生,主要从事高性能水系锌离子电池负极保护研究。
课 题 组 招 聘
欢迎从事新能源材料与储能器件应用研究的优秀青年博士人才加盟,应聘安徽大学材料科学与工程学科全职博士后,年薪50万+,启动经费10万+,详见http://rsc.ahu.edu.cn/2022/0304/c17031a280669/page.htm。
添加官方微信 进群交流
SCI二氧化碳互助群
SCI催化材料交流群
SCI钠离子电池交流群
SCI离子交换膜经验交流群
SCI燃料电池交流群
SCI超级电容器交流群
SCI水系锌电池交流群
SCI水电解互助群
SCI气体扩散层经验交流群
备注【姓名-机构-研究方向】
投稿请联系contact@scimaterials.cn
点分享
点赞支持
点在看

