文 章 信 息
多重表面优化提升钴酸锂高温高电压下耐久性
第一作者:李子健,易浩聪
通讯作者:赵庆贺*,潘锋*
研 究 背 景
近年来,提高钴酸锂(LCO)正极的充电截止电压以实现更高的容量发挥已成为目前进一步提升LCO容量的首选途径。表面优化被认为是提高LCO在4.6 V下循环稳定性的最有效策略。然而目前的研究主要集中在提高高压LCO在室温(25 °C)下的循环稳定性,关于LCO在高温工况下的循环寿命受到较少的关注。出于对实际应用场景和安全方面的考虑,研究人员和行业应当更加关注提高电池的高温性能,包括循环稳定性、浮充耐久性、高温储能等。在高温(≥ 45°C)条件下,LCO电极的循环稳定性大大降低的原因通常被认为是副反应加剧的结果。然而,高温下副反应加剧的机制仍然模糊不清,这限制了更先进耐用的LCO材料的研发。
文 章 简 介
近日,北京大学潘锋/赵庆贺团队揭示了LCO在高温下的结构稳定性恶化的两大原因:1) 高温下受到促进的体相Li+扩散动力学导致充电态LCO的荷电状态(SOC)更高,从而引发更多的副反应;2) 高温时更显著的表面结构坍塌阻断了Li+的传输通道。鉴于此,团队通过加热搅拌和高温退火的方法合成了阴离子(F-、PO43-)和阳离子(Al3+)表面修饰结合亚表面尖晶石结构增强的O-LCO,有效抑制了常温与高温条件充电状态下商业化钴酸锂(C-LCO)的SOC的增加,减少了副反应程度,实现在4.65 V/25°C下500次循环后约83.2%,和4.6 V/45 °C下500次循环约74.6%的高容量保留率。在极端的浮充测试条件下,表面优化在抑制副反应和裂纹产生方面也发挥了重要作用。相关成果以题为“Multiple Surface Optimizations for a Highly Durable LiCoO2 beyond 4.6 V” 的论文发表在Advanced Functional Materials上。
ToC. 表面优化的O-LCO在高温循环与浮充测试中的优异表现
本 文 要 点
要点一:表面优化
阴离子(F-、PO43-)和阳离子(Al3+)表面修饰结合亚表面尖晶石结构增强的O-LCO与商业化LCO的XRD精修结构表明表面优化处理对体相晶格间距影响较小。Al、F和P元素在O-LCO表面的均匀分布,其中,Al和P元素主要以LiCo1-xAlxO2、AlPO4、Li3PO4形式富集在表面区域,而F以LiF和Li-Al/Co-F的形式存在,且可以渗透到亚表面区域的晶格结构中取代部分晶格氧。
图1. C-LCO和O-LCO的材料特性。
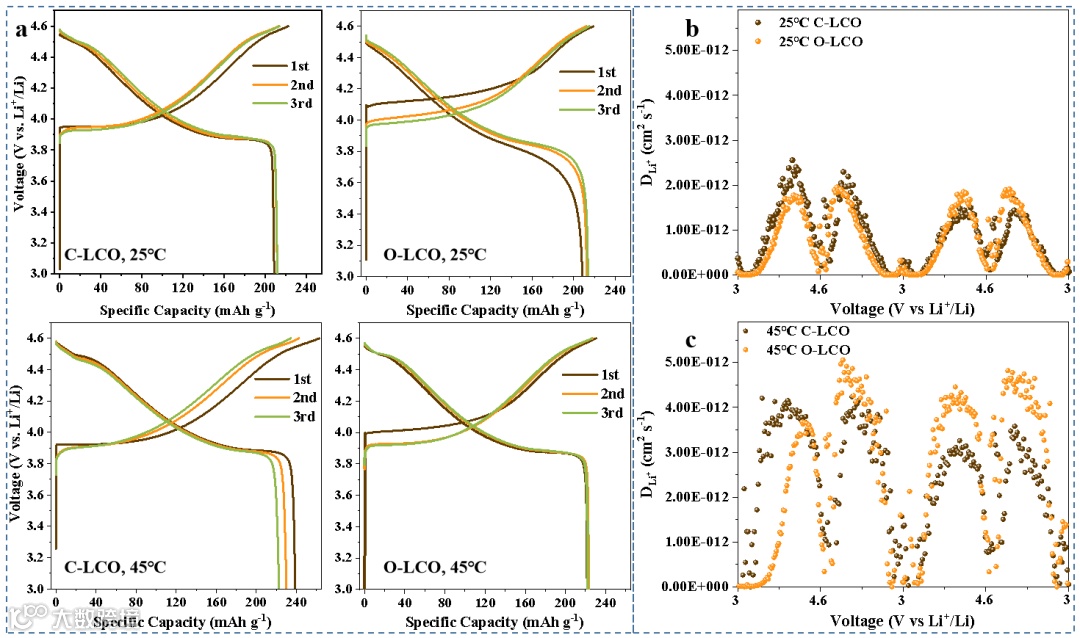
要点二:45 °C下结构不稳定的起源
45 °C下容量的提升主要源自于Li+扩散动力学受到促进这一因素,对于C-LCO来说,这会导致更高荷电状态(SOC),进而引发严重的电解液的分解和副反应产物的生成,导致Li+在首圈较低的利用效率,表现为较低的首次库伦效率(ICE)。而O-LCO由于表面稳定的无机物种的修饰以及亚表面尖晶石的结构增强,在高温下的SOC和副反应方面上实现更明显的抑制作用,同时其形成的正极-电解液界面(CEI)是具有更多LiF的坚韧的薄层。此外, 对于C-LCO,H1-3相变在45 °C下被更大程度的加剧。而O-LCO的H1-3相变受到抑制,且其特征峰半峰宽更小,意味着更集中的层间距和更平坦的Co-O层,有利于增强O-LCO的O3/H1-3相可逆性。
图2. C-LCO和O-LCO的电化学特性。
图3. LCO在45 °C下结构不稳定的起源。
要点三:O-LCO的高温循环稳定
经过表面修饰的O-LCO由于具有更稳定的尖晶石亚表面相结构和更坚韧的CEI层,在高电压和高温下都展现出更优异的循环稳定性,在25 °C下, O-LCO在3-4.6V下1000次循环后表现出92.9%的高容量保持率,在3-4.65V下500次循环后显示出83.2%的高容量保持率。在45°C下,O-LCO在500次循环后的容量保持率高达74.6%。相反C-LCO由于表面结构的不良发展(层状向较厚岩盐相的转变,Co的溶出,晶格氧的氧化还原,电化学惰性CEI),在45 °C下循环200次后仅能保持约42%的容量。
图4. C-LCO和O-LCO循环稳定性比较。
图5. 45 °C下100次循环后C-LCO和O-LCO的结构表征。
要点四:O-LCO的高温浮充稳定
在4.6 V和45°C下的120小时浮充测试的漏电流结果更突出地显示出C-LCO遭受更严重的副反应。而对于O-LCO,强大的CEI层可以对电解质分解产生的腐蚀性HF做出快速反应,抑制进一步的副反应以及后续裂纹的产生。同时,从浮充测试诱导的从O3到O1的相演变角度,O-LCO由于氧释放的减少、Co溶解降低和表面结构增强等原因,表现出高的相保持能力,多次表面优化,O-LCO内部的Li+提取过程更加均匀。
图6. 4.6 V / 45 °C下C-LCO和O-LCO的浮充测试电化学和结构对比。
文 章 结 论
本工作探索了通过表面优化以提高LCO高温性能的可能性,包括循环稳定性、浮充性能和相关优化机制。与25 °C相比,在45°C时, Li+离子扩散动力学被加速,导致充电态LCO的SOC更高,诱发更有害的H1-3相变。而经过阴离子(F-和PO43-)和阳离子(Al3+)的表面优化以及亚表面结构增强有效地抑制了SOC的增加,减少了副反应,并在4.6 V和45 °C下稳定了表面结构,从而实现了令人满意的循环稳定性。O-LCO在4.65 V/25°C下500次循环后表现出约83.2%的高容量保持率,在4.6 V/45°C下进行500次循环时表现出约74.6%的高容量保留率。特别是,在严苛的浮充条件下,表面优化在抑制副反应和裂纹产生方面也发挥了重要作用。这项工作为开发更先进的高压LCO材料提供了新的见解。
文 章 链 接
Multiple Surface Optimizations for a Highly Durable LiCoO2 beyond 4.6 V https://doi.org/10.1002/adfm.202307913
通 讯 作 者 简 介
赵庆贺,北京大学新材料学院副研究员。目前致力于高性能钴酸锂正极材料及高性能电池开发的相关研究,在Adv. Mater.、Angew. Chem.、Adv. Funct. Mater.等期刊发表SCI论文二十余篇,申请发明专利6项,实用新型专利11项。
潘锋,北京大学讲席教授,北大深圳研究生院副院长和新材料学院创院院长。致力于结构化学和材料基因的探索、电池和催化材料结构与性能及应用研究,发表了包括Nature、Nature Energy、Nature Nanotechnology、Joule、JACS等代表性SCI论文300余篇。2020年任《结构化学》杂志的执行主编,2021年获“中国电化学贡献奖”,2018年美国电化学学会电池科技奖与2016年国际电动车锂电池协会杰出研究奖。
第 一 作 者 简 介
李子健,北京大学深圳研究生院新材料学院硕士生,主要研究方向为锂电池正极材料。2021年于武汉理工大学材料科学与工程学院获本科学位
易浩聪,北京大学深圳研究生院新材料学院博士生,主要研究方向为锂电池正极材料。2018年于华中科技大学材料科学与工程学院获本科学位
课 题 组 介 绍
http://www.pkusam.cn/
添加官方微信 进群交流
SCI二氧化碳互助群
SCI催化材料交流群
SCI钠离子电池交流群
SCI离子交换膜经验交流群
SCI燃料电池交流群
SCI超级电容器交流群
SCI水系锌电池交流群
SCI水电解互助群
SCI气体扩散层经验交流群
备注【姓名-机构-研究方向】
投稿请联系contact@scimaterials.cn
点分享
点赞支持
点在看


