文 章 信 息
磷空位和异质界面作为长循环寿命锂氧电池的有效过氧化锂促进剂
第一作者:杨天伦
通讯作者:韩佳甲*,彭栋梁*,岳光辉*
单位:厦门大学
研 究 背 景
在全球“碳减排”的追求下,建设以新型绿色能源为核心的新电力系统并加速汽车电气化转型,已成为实现碳中和目标的主要途径。在现有锂电体系中锂氧电池具有远超传统插层式正极的理论能量密度(≈3500kwh/kg),是极具应用潜力的高能量密度锂离子电池,有望解决动力电池能量密度不足的问题。尽管具有良好的潜力,但在实际应用之前还需要克服一些严重的挑战,主要包括短周期寿命、低往返效率和较差的循环稳定性。
文 章 简 介
基于此,厦门大学材料学院岳光辉教授,彭栋梁教授,韩佳甲助理教授合作,在国际知名期刊Advanced Functional Materials上发表题为 “Phosphorus Vacancies and Heterojunction Interface as Effective Lithium-Peroxide Promoter for Long-Cycle Life Lithium–Oxygen Batteries”的研究文章。
该文章基于空位工程和界面工程双改性策略,采用一种简单的氢气热还原策略构建具有丰富磷空位和异质界面的MoO2-supported Mo3P/Mo多孔纳米棒用作锂氧电池高效催化剂。实验结果表明在500 mA g-1下稳定循环500次,往返效率接近100%,可工作1370小时。
Scheme 1. Li-O2电池电化学性能和反应机理。
本 文 要 点
要点一:具有3D多孔纳米棒结构的三相异质催化剂MoO2-supported Mo3P/Mo的制备
该工作采用氢热还原策略成功合成同时具备磷空位和异质界面的双功能催化剂。多孔结构提供了更多的活性位点并促进氧气扩散。高温磷化过程中Mo3P被氢气带走部分磷原子导致磷空位的形成,这种现象在表层最为明显,并且由于钼原子未能及时进行有效重排致使Mo3P表层形成无规则排列的金属钼,这证明了磷化是一个由表及里的过程。
Figure 1. (a) Schematic diagram of precursor synthesis and phosphating process; (b) XRD pattern; (c)corresponding SEM image; (d) TEM image of MoO2-supported Mo3P@Mo ; (e, f) HR-TEM of some important regions of MoO2-supported Mo3P@Mo ; (g) Region I HR-TEM and the inset is relevant FFT pattern; (h) Region I inverse FFT false color images; (i) Region II HR-TEM and inset is relevant FFT pattern; (j) Region II inverse FFT false color image.
要点二:电化学性能研究
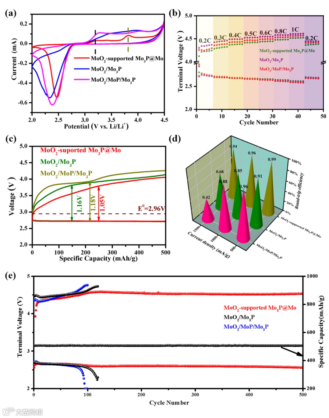
图1(a)CV分析表明MoO2-supported Mo3P/Mo电极具有最高的ORR电位,两个明显的OER峰有效证明了过氧化锂氧化过程遵循两步原则。经过高电流密度循环倍率性能(图1b)分析表明电极具有良好的可逆性。图1(c)同时发现MoO2-supported Mo3P/Mo电极能有效降低电极过电位,这对抑制电极极化降低反应势垒是有利的。图1(d)接近100%的往返效率进一步说明电极具有良好的可逆性。图1(e)在500mAh/g有限比容量下,以500mA/g电流密度循环500圈没有明显的终端电压变化。
Figure 2. (a) CV curves of different cathodes at 5mV/s within 2.0-4.5V; (b) Rate performance comparison of different cathodes (1C=500 mA g-1); (c) Charge/discharge curves of different cathodes at 100mA g-1 under a limited capacity of 500 mAh g-1; (d) Round-trip efficiency of different electrodes at different current densities under deep discharge/charge at 2.0-4.5V; (e) Cycling performance with different cathodes at 500 mA g-1 under the limited capacity of 500 mAh g-1.
要点三:放电产物形貌及成分分析
众所周知,Li−O2电池的发展面临着放电产物(Li2O2)和副产物(Li2CO3等)对正极的钝化而导致循环不良的问题。通过SEM图(a-c)我们发现通过调节磷空位浓度可有效改变超氧化物中间体的吸附行为,进而改变Li2O2的形成路径,并最终影响Li2O2的形貌。
图3(a)在MoO2-supported Mo3P/Mo电极上形成片状过氧化锂,形成这种良好的Li2O2/电极界面非常利于充电过程中Li2O2分解(图3d),XPS分析表明(图3g)该电极可有效促进Li2O2分解。同时我们发现副产物难以有效分解,这是造成容量损失降低往返效率的主要原因,最重要的是它们覆盖在催化剂表面导致催化活性位点被掩盖致使电池死亡。
Figure 3. SEM images and Li 1s XPS analysis of different cathodes after full discharge/charge: (a, d, g) MoO2-supported Mo3P@Mo; (b, e, h) MoO2/Mo3P; (c, f, i) MoO2/MoP/Mo3P; Among them, (a-c) discharge state, (d-f) charged state, and (g-i) XPS analysis under different states.
要点四:机理分析及理论计算
通过对充放电不同阶段MoO2-supported Mo3P/Mo极片分析以确定放电产物的形貌和成分演变。放电初始阶段(stateⅠ)生成薄膜状放电产物,随着放电时间增加最终堆叠形成片状结构,成分也从Li2-xO2和Li2O2混合完全变为Li2O2。充电初始阶段(state Ⅲ)Li2O2首先固溶型脱锂形成Li2-xO2,直至最终完全转变成Li2-xO2(state Ⅳ)。此外充电过程两个明显的平台对应两个不同的脱锂过程,这与CV结果一致,前一阶段对应于固溶型脱锂,后一阶段则是两相型脱锂。
Figure 4. XPS spectra and SEM images at different stages during the charge-discharge process of MoO2-supported Mo3P@Mo cathode of lithium-oxygen battery: (a) The typical charge/discharge curve at 500mA g-1 under a limited capacity of 1000mAh g-1; (b) Stage I SEM image and (f) Li 1s XPS spectra; (c) Stage II SEM image and (g) Li 1s XPS spectra; (d) Stage III SEM image and (h) Li 1s XPS spectra; (e) Stage IV SEM image and (i) Li 1s XPS spectra.
计算结果表明异质界面能显著降低功函数,空位的引入使其进一步降低,这一发现从理论上表明,由Mo3P和Mo形成的界面以及PV(磷空位)可能是从实验中检测到的电荷传输更容易进行的原因。
此外 PV(虚线圈)的存在减少了周围Mo原子中丢失的电子的数量,从而保留了更多的电子用于吸附外部氧原子,这说明空位可作为“陷阱”捕获中间产物。吸附能结果表明,Path-1通过对O2的优先吸附,可以极大地辅助后期Li+的吸附,而吸附能通过放热反应而下降(图5e中的虚线)。沿着这条路径,形成了大量的Li2-xO2产物,这与充放电过程中的实验观察结果一致。
Figure 5. DFT study of the charge and discharge mechanisms: (a) Partial density of states (PDOS) of the Mo3P, Mo3P@Mo and Mo3P(PV)@Mo, respectively. The PDOS of Mo3P@Mo and Mo3P(PV)@Mo almost coincide; (b) Plot of Fermi level as a function of work function. The insets are charge density difference (CDD) with the d-band center at the active sites of (110) surface. The red region denotes charge accumulation, and the blue region denotes charge depletion; (c) Planar-averaged CDD of Mo3P@Mo and Mo3P(PV)@Mo; (d) Atomic configurations of the possible reaction paths of Li and O ions on the surface of the electrochemical catalysts; (e) Adsorption energy (Eads) of the ORR intermediates for Path-1 and Path-2, respectively; (f) Free energy diagrams for the charge and discharge process on the Mo3P, Mo3P@Mo and Mo3P(PV)@Mo, respectively. The inset is the charge overpotential.
总之,作者报道了这种独特的双功能催化剂,该催化剂能有效降低过电位、增加循环寿命、提高往返效率。结合理论计算表明表面还原产生的金属钼充当额外的活性位点增强催化活性、磷空位可作为“陷阱”捕获反应中间产物和异质界面之间的电子耦合效应提高电子电导率三者之间的协同效应增强了催化剂的电催化活性。
文 章 链 接
Phosphorus Vacancies and Heterojunction Interface as Effective Lithium-Peroxide Promoter for Long-Cycle Life Lithium–Oxygen Batteries
https://doi.org/10.1002/adfm.202209876
添加官方微信 进群交流
SCI二氧化碳互助群
SCI催化材料交流群
SCI钠离子电池交流群
SCI离子交换膜经验交流群
SCI燃料电池交流群
SCI超级电容器交流群
SCI水系锌电池交流群
SCI水电解互助群
SCI气体扩散层经验交流群
备注【姓名-机构-研究方向】
投稿请联系contact@scimaterials.cn
点分享
点赞支持
点在看

