文 章 信 息
含桥接氧的W2COx-Ru复合体系高效催化碱性析氢
第一作者:代渝
通讯作者:李念兵*,罗红群*
单位:西南大学化学化工学院
研 究 背 景
碳化钨(W2C)因为具有类铂的d带结构,在析氢反应中容易吸附并活化氢,是很好的Pt类催化剂的替代品,然而,由于W2C位点上的ΔGH*很高,W2C表面仍与HER反应中的H中间体有着较强的吸附作用,从而限制了其更高的催化活性。当W位点的电子和配位环境发生变化时,反应中间体的结合能也会发生变化,并且可以控制反应的过程动力学。Ru作为一种辅助金属,对水解离的能量屏障较低,引入Ru来优化界面结构,从而改变W2C的协调环境是很有吸引力的。因此,通过界面工程改变W2C的协调环境对提升材料性能和揭示催化机理具有重要意义。
文 章 简 介
近年来,大多数关于异质结的研究只强调了电荷的再分配,而对材料界面工程的进一步研究相对较少。在这项工作中,报告了一种由氧阴离子封端的W2COx上嵌入Ru簇组成的双组分催化系统,这使得通过动力学快速的Volmer-Tafel机制在碱性条件下快速产氢成为可能,其中双组分通过桥接O原子连接,桥接O原子作为解离H*的直接吸附和中继位点,加速了反应的动力学过程,这在加速水的解离中起着非常重要的作用。
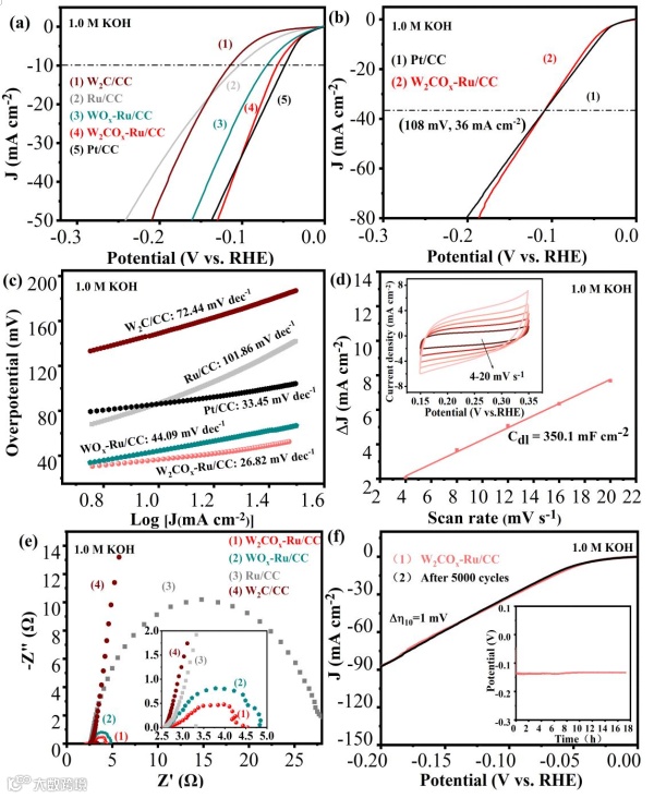
图 1. 水解离过程示意图
本 文 要 点
要点一:催化剂遵循碱性介质中的Volmer-Tafel机制
常见的催化体系大多是根据Volmer-Heyrovsky机理进行的,其中Tafel斜率超过40 mV dec-1(约40~120 mV dec-1)。本文以简单的制备方法合成了W2COx-Ru,并详细的探究了其碱性析氢过程中的电化学性能(图2),电化学测试结果发现,目标材料具有优异的电化学性能(52 mV)且其Tafel斜率仅为26.82 mV dec-1,这表明以Volmer-Tafel机制为决速步骤的主导策略是有效的。
图 2. 碱性析氢过程中的电化学性能
要点二:双组分通过桥接O原子连接
利用拉曼光谱进一步探讨了W2C/CC、Ru/CC和W2COx-Ru/CC异质结的结构信息(图3)。W2C/CC和W2COx-Ru/CC在692和801 cm−1处的峰值信号主要来源于标准碳化钨。W2COx-Ru/CC中约960cm−1处的峰与二阶声子模式激活的结晶紊乱有关,这也意味着Ru种系的成功引入。在相关的Ru拉曼检测中,仅观察到碳的D和G波段的信号。除了典型的振动模式外,在约400cm−1处存在W2COx-Ru/CC的Ru-O-W振动,为桥接氧的存在提供了直接依据,进一步验证了在氧阴离子封端的W2C表面上由Ru团簇形成的双组分结构。
图 3. 拉曼信号检测
要点三:理论计算解释了W2COx-Ru/CC碱性HER活性提升的来源
最直接的原因就是桥接氧原子充当解离H*的直接吸附和中继位点。对于纯相的W2C或者Ru来讲,其表面对水解离后的H*, OH*物种有较强的吸附,不利于后续两种物质的脱附步骤进行。在二者结合之后的Volmer步骤中,吸附的H2O在Ru团簇位点分解产生H*和OH−,水解离产生的H*物种优先吸附在桥接氧上,由于H*和W2C之间的有益相互作用,H*将从桥接氧进一步转移到W2C,最后解离为H2(图4),服从Tafel步骤,从而加速了HER过程。
图 4. 理论计算分析
要点四:前瞻
铂基催化剂作为HER催化剂的标杆,由于其高成本以及稀有性均极大地阻碍了其大范围的工业生产应用,所以,开发廉价、稳定且能高效利用的电催化剂具有重大意义。本文以简单的合成方法制备了一款催化剂,在性能上明显优于以前报道的大多数同类型催化剂,可与商用Pt/CC相媲美。本研究展现了非铂材料的巨大潜力以及运用界面工程在碱性条件下开发高效氢电催化材料的可能性,对揭示界面工程活性位点和催化机理具有重要意义,将为发展经济高效的非Pt催化剂、深化催化机制认识开辟新的视角。
文 章 链 接
High efficient alkaline hydrogen evolution catalyzed by W2COx-Ru composite system containing bridged oxygen
https://doi.org/10.1016/j.cej.2023.146443
通 讯 作 者 简 介
李念兵,教授,博士生导师,国务院政府特殊津贴获得者,重庆“巴渝学者”特聘教授,重庆市学术技术带头人,西南大学化学化工学院院长。主要从事新型纳米材料的制备及其在传感与催化中的应用研究,主持国家自然科学基金面上项目,国家自然科学基金委员会(NSFC)与韩国科学与工程基金会(KOSEF)国际合作研究项目,重庆市自然科学基金重点项目,重庆市高等学校优秀人才支持计划项目,重庆市自然科学基金,重庆市留学人员回国创业创新支持计划重点项目等多项课题。以通讯作者身份在Nat. Commun., Appl. Catal. B Environ., ACS Catal., Adv. Funct. Mater., Nano Energy, Environ. Sci. Technol., Mater. Horiz., Small, NPG Asia Mater., Anal. Chem., J. Mater. Chem. A, Inorg. Chem., Chem. Commum., Biosens. Bioelectron., J. Hazard. Mater. 等国内外学术刊物上发表SCI收录论文380余篇,目前H-index 63。
罗红群,教授,博士生导师,重庆市学术技术带头人。先后主持国家自然科学基金项目、重庆市自然科学基金重点项目、重庆市自然科学基金项目近10项,在分子光谱分析、电化学传感和电催化等方面开展了一系列的研究工作,以通讯作者身份在ACS Catal., Appl. Catal. B Environ., Mater. Horiz., Adv. Funct. Mater., Small, J. Mater. Chem. A, Chem. Commum., Anal. Chem., Inorg. Chem., Biosens. Bioelectron., NPG Asia Mater., Nanoscale, J. Hazard. Mater., Electrochem. Commun. 等国内外学术刊物上发表SCI收录论文360余篇,目前H-index 62. 课题组网站:www.linbgroup.com
第 一 作 者 简 介
代渝,西南大学2022级硕士生,导师为罗红群和李念兵教授,现就读于西南大学化学化工学院。目前以第一作者在Chem. Eng. J.发表论文一篇。
课 题 组 介 绍
西南大学绿色化学与先进功能材料实验室是由以李念兵教授和罗红群教授为学术带头人,目前团队由10余名教授、副教授、高级实验师、讲师、中级实验师等教职工以及30余名博士研究生、硕士研究生组成,开展新型纳米材料在传感和能源中的应用研究,已在Nat. Commun., Adv. Funct. Mater., Appl. Catal. B: Environ., ACS Catal., Mater. Horiz., Nano Energy, Small, Anal. Chem., Biosens. Bioelectron., Chem. Commun.等国内外知名期刊上发表学术论文380余篇。
添加官方微信 进群交流
SCI二氧化碳互助群
SCI催化材料交流群
SCI钠离子电池交流群
SCI离子交换膜经验交流群
SCI燃料电池交流群
SCI超级电容器交流群
SCI水系锌电池交流群
SCI水电解互助群
SCI气体扩散层经验交流群
备注【姓名-机构-研究方向】
投稿请联系contact@scimaterials.cn
点分享
点赞支持
点在看


