文 章 信 息
创新点:本工作通过第一性原理计算,对羰基桥接杂原子三角烯(CBHTs)作为锂离子电池电极材料的可能性进行了系统研究,不发现同的中心原子(B、N和P)和不同类型的N功能化会影响CBHTs的电子亲和力、前线轨道能级和分子极性,进而有效地调节分子的氧化还原活性、电导率和溶解度。研究提出在其分子骨架中引入吡啶N,可以使CBHTs的电化学性能得到显著改善。结果表明,通过在carbonyl-bridged triphenylborane (CTPB)的羰基邻位引入吡啶N,可以实现高达1524 Wh kg-1的能量密度,得到一种极具潜力的高性能锂离子电池有机正极材料。
文 章 简 介
近年来,南京林业大学荆宇教授团队围绕羰基类有机电极材料的理性设计展开了系列研究,提出了拓展π共轭骨架提高有机电极材料循环稳定性和导电性的基本设计策略。在本工作中,通过第一性原理计算,系统研究了羰基桥联杂原子三角烯不同结构组成与电化学性能之间的构效关系。发现高度离域的π共轭骨架使该类分子表现出良好的导电性和结构稳定性,而具有缺电子性质的B中心能使桥位羰基表现出更高的氧化还原活性。通过在分子骨架中引入吡啶N,可以有效提高其氧化还原活性位点数量,并进一步抑制分子在非质子电解质中的溶解,同时降低重组能、增加转移积分进而增强该类分子电极材料的载流子迁移率。研究预测了CTPB(3,5-pyrimidyl) 可以实现高达1524 Wh kg−1的能量密度并具有良好的溶液稳定性和导电性能,有望成为一种高性能锂离子电池有机正极材料。
相关工作以“Rational Molecular Design of Redox-Active Carbonyl-Bridged Heterotriangulenes for High-Performance Lithium-Ion Batteries”为题,发表在Advanced Science (DOI: 10.1002/advs.202306680)上。文章第一作者为南京林业大学硕士研究生 舒锡鹏,南京林业大学荆宇教授 (Web: https://m.x-mol.com/groups/njfu_jingyu) 和德累斯顿工业大学Thomas Heine教授为文章共同通讯作者。该成果得到了国家自然科学基金的资助。
图 1.(a) N功能化 CBHTs 的分子结构和静电势分布。(b) CBHTs 及其N功能化衍生物的前线轨道能级分布和 HOMO-LUMO 能隙。
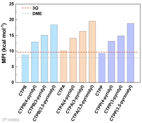
图 2. CBHTs 及其N功能化衍生物的分子极性指数。
文 章 要 点
开发高性能、低成本、可持续的电极材料是锂离子电池技术开发的关键。目前商业化的锂离子电池正极材料主要依赖于层状过渡金属氧化物(例如 LiCoO2, LiMn2O4)。然而,该类材料容量有限且使用成本高、环境负担大。基于氧化还原机制的有机电极材料广泛分布于生物质中,储量丰富,环境友好,为绿色储能技术的发展带来了新的机遇。然而,多数小分子电极材料存在导电性差、易溶于电解液等问题,极大地限制了其在锂离子电池中的应用。开发新型有机电极材料并揭示其组成与电化学性能之间的构效关系,提出改善材料导电性和稳定性的可行策略,对于有机电极材料的发展具有重要意义。
文 章 链 接
Rational Molecular Design of Redox-Active Carbonyl-Bridged Heterotriangulenes for High-Performance Lithium-Ion Batteries
Xipeng Shu,1 Liang Hu,1 Thomas Heine,2,3,4,* and Yu Jing1,*
Advanced Science
DOI: 10.1002/advs.202306680)
添加官方微信 进群交流
SCI二氧化碳互助群
SCI催化材料交流群
SCI钠离子电池交流群
SCI离子交换膜经验交流群
SCI燃料电池交流群
SCI超级电容器交流群
SCI水系锌电池交流群
SCI水电解互助群
SCI气体扩散层经验交流群
备注【姓名-机构-研究方向】
投稿请联系contact@scimaterials.cn
点分享
点赞支持
点在看

