
随着经济的快速发展,化石燃料的过度使用是能源枯竭和环境污染的主要原因。开发高性能/低成本的大规模电化学储能电池材料势在必行。多孔碳合成简单、表面积高,有利于电解质渗透,减少离子扩散距离,显示出优越的储钠性能。但对储钠机理的分析存在巨大的挑战。
大量的论文工作证明通过调控碳材料的结构/形态可以有效地改善碳材料的储能性能。其中二维(2D)碳纳米片,由于其短的扩散长度和块状暴露表面的开放性,电解质可以很容易地接近片状结构,赋予了块状电极材料优异的充电/放电性能及良好的循环稳定性。
模板法是一种更为简单有效的合成方法,可以形成可控结构和形貌的多功能纳米材料。然而,由于碳源的限制,很难获得具有带有大型比表面积的2D结构。杂原子掺杂是另一种进一步提高其储钠性能的方法。氮原子掺杂能够在碳表面诱导缺陷形成,而S原子掺杂扩大了层间间距并充当活性位点。现有工艺难以实现高含量的S掺杂,与单一原子掺杂材料相比,S/N共掺杂具有更高的钠离子储存容量。

基于此,四川大学王延青特聘研究员课题组,在国际领域知名期刊Small 上发表题为“Dual activation for tuning N, S co-doping in porous carbon sheets towards superior sodium ion storage”的研究论文。
在前期的研究工作中,他们基于正负极材料制备提出了新的方法,负极材料通过KNO3活化(Carbon 201, (2023): 1081-1089)、插层诱导燃烧活化(Advanced Science, 2023,10(14), 2207751)和液体模板辅助(Small, 2023,19(39), 2302583.)、原位模板法(Carbon 217, (2024): 118631.)等方法进行形貌结构调控;正极主要通过分散剂分子的静电偶极子相互作用和空间位阻(Carbon 214, (2023): 118315),制备单分散超长单壁碳纳米管溶液(Carbon 212, (2023): 118133)。利用超长碳纳米管导电网络的特点,构建无粘结剂的自支撑电极,形成高效导电网络,表现出优异的力学性能和快速电荷传递能力(Advanced Science,2023, 10(13), 2207355)。
本文创新点在于利用 K2SO4/KNO3 的双重效应,在燃烧活化的基础上形成高 N/S 掺杂含量,大比表面积的二维(2D)碳材料。合成的碳材料作为 SIB 的阳极,在 0.05 A g-1 的条件下具有 344.44 mAh g-1 的高可逆容量。即使在电流密度为 5 Ag-1 时,其容量也保持在 143.08 mAh g-1。碳材料在醚电解质中的 ICE 约为酯电解质的 2.5 倍。
并且对材料的醚/酯基电解质的钠储存机理差异进行了分析。通过非原位表征,证实了醚/酯电解质表现出相似的储钠机理,电化学性能的差异可归因于动力学上的差异,与酯基电解质相比,醚基电解质表现出更高的 Na+储存和脱出速率。他们的研究为开发用于 SIB 的双掺杂碳阳极材料提供了有效途径,并为醚/酯基电解液中的储钠机理探索提供新的见解。
要点一:基于燃烧活化的双活化法制备N/S掺杂SXL材料
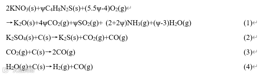
通过燃烧活化的方法制备了N/S掺杂的多孔碳材料,上述反应如下:

热解过程中,硝酸钾(X)为活化剂,同前驱体发生燃烧活化反应生成的气体起到造孔的作用,硫酸钾(L)为硫源,同时作为盐模板剂,在碳材料表面产生孔隙和缺陷。值得注意的是,化学活化过程的发生导致 CO 气体的大量存在,从而进一步增强了活化效果。其中主要的质量损失发生在200℃时,升温至400℃也存在部分质量损失,此后TG曲线变得稳定。温度的进一步升高当温度升高至200°C时,样品的质量开始大幅下降,这是由N-烯丙基硫脲和硝酸钾的燃烧活化作用和气体的释放引起的。

图1 (a) SXL-5 的合成过程示意图。(b) SXL-5 热解的TG-IR 光谱。
通过SEM观察碳材料的微观形貌, SXL-5材料形态致密且不规则,形成的片层结构。纳米片结构中,碳片之间可以形成较多通道,促进了快速的电化学过程。采用带有能谱(EDS)的扫描透射电镜对SXL-5的复合材料进行分析,可以明显看出C、O、N和S元素在样品中分布均匀,且N和S元素被成功掺杂到碳基体中。通过更直接的透射电子显微镜(TEM)分析二维碳纳米片结构, SXL-5的高分辨率TEM图像显示了该材料的无序碳结构,大部分微观结构为长程无序结构,部分结构为纳米级孔,以及短程有序的石墨碳层。

图2 形貌结构表征。(a-c) . SXL-5 的扫描电镜图像。(d) 相应的 EDS 元素图谱图像。(e-g)SXL-5 的 TEM 图像。
采用XRD和Ramon进一步分析所制备材料的微观结构, XRD图中显示,上述碳材料在25°和43.5°展现出两个峰,分别对应于碳材料的002和100晶面,其中SXL-5材料的002晶面较宽,证明掺杂N,S后结晶度较低,根据布拉格公式计算得出的晶面间距为0.353nm, 表明N和S共掺杂可以扩大碳基体层间间距。SXL-5的(ID/IG)值为2.88,证明单一的盐模板能够带来有限的缺陷和无序程度,但两种盐模板协同作用能增加缺陷,有助于钠离子反应的发生。
SXL-5的N和S含量较高,分别达到5.27%和2.6% 。从去卷积的C 1s的XPS谱中,其中C-N/C-S键的存在意味着通过盐模板燃烧活化方法成功实现N和S掺杂。N和S原子在碳骨架中可能存在的状态如图3e所示。高分辨率N谱中,存在的吡啶-N和吡咯-N,可以促进表面诱导的快速电化学动力学,石墨- N,可以带来额外的自由电子,以提高石墨烯的导电性。SXL-5中C-SOX-C的结合能略高于S,SL和SX-5的特征峰。SXL-5材料吸附-解吸曲线符合IV型等温线和H4型滞回线,具有微孔结构,比表面积分别646.32m2 g-1。SXL-5较大的表面积和微孔结构保证了电解质与电极材料之间的充分接触,有利于更多的Na+的容纳和电子的转移。

图 3 (a) XRD 图;(b) 拉曼光谱;(c) XPS 扫描光谱;(d) SXL-5 的 C 1s 高分辨率 XPS;(e) N、S 共掺杂碳基体示意图。(f-g)SXL-5 的高分辨率 N 1s 和 S 2p XPS。(h) S、SL、SX-5 和 SXL-5 的氮气吸脱附曲线和 (i) S、SL、SX-5 和 SXL-5 的孔径分布。
SXL-5作为SIB阳极的电化学速率性能,其可逆比容量在0.05 A g-1时分别为344.44 mAh g-1。从图4b可以看出, SXL-5储Na+的机理以吸附为主。两种盐模板协同作用制备的SXL-5材料,制备的碳结构具有无序,较大的比表面积和开放的孔隙,N,S掺杂扩大碳层层间,以获得最佳的储钠性能,容量为344.44 mAh g-1,初始库伦效率提高至67.48%。
不同盐模板材料的电化学阻抗谱如图4d所示。EIS 拟合结果表明SXL-5 碳材料具有最低的Rct值(35.46Ω),具有比其它材料更佳的电子传导性。目前来看,SXL-5的速率性能优于文献报道的SIB阳极用碳。SXL在5A g-1时的可逆容量为143.08mAh g-1。然而,经过5000次循环后,可逆容量保持在86.12 mA h g−1,具有优异的循环稳定性。因此,SXL-5具有最佳的倍率性能和良好的稳定性,归因于合适的杂原子掺杂和高比表面积,赋予材料表面产生更多可逆吸附的能量存储位点,促进离子传输动力学。

图 4 不同用量的硝酸钾(SXL-x(x=3,4,5,6 和 7.5))在不同电流密度下的速率性能。(b) 电流密度为 0.05-10 A g-1 时的首圈充放电曲线。(c) 不同前驱体成分对碳材料比容量和初始库仑效率的影响。(d) S、SL、SX-5 和 SXL-5 的 EIS 曲线。(e) 与之前报告的阳极的速率性能比较。(f) SXL-5 在 5 A g-1 电流密度下的循环性能。
在不同扫描速度下的CV曲线如图所示,随着扫描速率的增加,峰值位置没有发生变化, SXL在醚基电解液中阴极峰和阳极峰的b值分别为0.87、0.56,表明该过程主要受表面电容行为控制。通过非原位的XRD、Ramon、XPS分析材料的储钠机理。在放电到0.01V过程中,吡啶氮被钠化,吡啶-N和吡咯-N和石墨- N结合能左移,Na+插入出现与NaSOx(167.2 eV)和硫代硫酸盐/–SO2–由于内部歧化反应形成的磺酸钠和多硫酸酯络合物。SXL-5该材料的储钠机理为电容性的,表面缺陷、掺杂原子在整个放电过程中充当主要储存位点。

图 5 SXL-5 在醚基电解质中作为半电池阳极的 Na+ 储存性能。(a) 扫描速率为 0.2-1 mV s-1 时 SXL-5 在不同电解质中的 CV 曲线。(c) 扫描速率为 1 mV s-1 时的电容贡献。(d) 不同扫描速率下的电容贡献率。(e) 不同充放电电位下的相应非原位 XRD 图。(f) 非原位拉曼光谱。(g) 第一个周期的非原位 XPS 测试;不同放电/充电过程中 (h) N 1s 和 (i) S 2p 峰的相应变化。(j) 钠储存过程示意图。
为探究两种电解液对SXL-5材料电化学性能的影响,分别测试了两种电解液体系下的电化学速率性能。其中醚基电解液在0.05 A g-1下表现出344.44 mAh g-1的高可逆容量以及67.30%的初始库伦效率,而酯基电解液仅有230.79 mAh g-1的可逆容量以及26.67%的低初始库伦效率。醚基电解液表现出2.5倍高的ICE值。充放电曲线表明,两种电解质中初始循环中观察到主要归因于 SEI 形成的不可逆反应。
采用恒流间歇滴定技术(gitt)计算钠离子扩散系数(DNa+),进一步分析SXL-5在不同电解液在放电过程中动力学行为的差异。醚基电解质的存储和脱出Na+的速率高于酯基电解质。EIS 拟合结果表明醚基电解质中来自SEI膜(RSEI)和电荷转移(Rct)的电阻远远低于EC/ EC基电解质。在5 A g−1的电流密度下,在醚基电解液在5000次循环后的容量高于酯基电解液。醚酯电解液中表现出相似的储钠机理,电化学性能的差异源于储钠动力学速率不同。上述所有测试试验均表明在醚基电解液中,有利于促进Na+存储动力学。

图 6 SXL 作为半电池阳极在醚基或酯基电解质中的 Na+ 储存性能。(a)倍率性能。(b) 在 0.05 A g-1 条件下首圈充放电曲线。(c) 在不同电解质中以 0.2 mV s-1 的扫描速率进行初始循环的 CV 曲线。不同扫描速率下电容容量的贡献率。(f) 根据 GITT 电位曲线计算的 Na+ 扩散系数。(g) EIS 分析。(h) 5 A g-1 时的循环性能。
为了评估SXL电极在实际应用的可行性,以Na3V2(PO4)3为阴极,SXL材料为阳极质量比为1:4组装了全电池。NVP//SXL全电池的速率性能和恒电流充电和放电曲线,在 0.5 A g-1的电流密度下分别具有217.70mAh g-1 的出色容量。根据计算,当功率密度为 230 W kg-1 时,NVP//SXL 全电池的能量密度为 105.93 Wh kg-1,而当功率密度达到 1380 W kg-1 时,NVP//SXL 的能量密度仍保持在 54.43 Wh kg-1。充满电的全SIB可以驱动带有 “PSE”标志的LED灯。在1 A g-1下循环100圈后仍可以获得105.54 mAh g-1的可逆比容量(基于阳极),具有良好的应用前景。

图 7:NVP//SXL 全电池的电化学性能。(a) 全 SIB 示意图。(b) 全电池从 0.5-5A g-1 的倍率性能 (c) GCD 曲线 (d) 0.2 mV s-1 时的 CV 曲线。(e) 1 A g-1 100 圈的循环性能。
总之,他们提出了一种基于燃烧活化的新方法,利用 K2SO4/KNO3 双活化效应,形成具有大比表面积的二维(2D)碳材料,并将其应用于钠离子电池。制备的 SIB 阳极材料在 0.05 A g-1 的条件下表现出 344.44 mAh g-1 的高可逆容量。盐模板的协同效应导致了多孔结构和高含量的杂原子掺杂。非原位表征表明,电化学性能的提高归功于掺杂 N/S 杂原子对钠离子的作用。对醚酯电解质的钠储存性能进行比较后发现,两种电解质的钠储存机制相似。在放电过程中,吡啶氮被钠化,通过磺酸钠和多硫酸盐复合物的内部歧化反应形成 Na+。电化学性能的差异归因于醚基电解质比酯基电解质存储和脱出 Na+ 的速率更高。重要的是,由 SXL 阳极和 Na3V2(PO4)3(NVP)阴极组成的完整电池已经组装完成,在功率密度为 230 W kg-1 的情况下,能量密度高达 105.93 Wh kg-1。这项工作不仅为设计掺杂杂原子的碳质多孔结构以实现高效、快速储能提供了可行的策略,还对 Na+ 的不同储能机制进行了深入分析。
文章第一作者为四川大学高分子科学与工程学院材料学硕士研究生张丁月和四川大学高分子科学与工程学院材料学博士研究生张浩。文章通讯作者为四川大学特聘研究员王延青。
文 章 链 接
Dual activation for tuning N, S co-doping in porous carbon sheets towards superior sodium ion storage
https://doi.org/10.1002/smll.202308684
王延青特聘研究员简介:四川大学特聘研究员,四川省特聘专家,国家制革技术研究推广中心特聘专家,四川省专家服务团专家,日本政府高端引进外国人(日本高度人才1号)。入选四川大学“双百人才工程”计划(2019-2023),日本学术振兴会(JSPS)外国人特别研究员(2015-2017)。2019年加入四川大学高分子科学与工程学院高材系独立开展研究工作,成立先进碳与能源材料应用研究室。主要从事超长碳纳米管的单分散原理、碳基材料的设计制备及其在能源、环境相关领域的应用研究,主要包括:超长碳纳米管在非/弱极性有机体系的分散研究、新型高倍率快充锂电池导电剂、低温锂电池负极、钠电池硬碳负极、电磁屏蔽/吸波材料、超级电容器、碳基导热/散热材料、柔性显示材料、先进高分子功能材料等,在Advanced Science(2篇),Small(2篇),Carbon(10篇),Chemical Engineering Journal(2篇),J Mater Chem A,Energy Storage Materials等高水平学术期刊上发表论文50余篇。研究成果获得了山东省科技进步一等奖、国家优秀自费留学生奖学金、中国专利优秀奖、山东省专利奖、四川省特聘专家、JSPS外国青年学者研究奖励、北海道大学私费外国人留学生特待制度、四川大学优秀科技人才奖、盐都特聘专家等。
课题组主页:
https://www.x-mol.com/groups/wangyanqing
高分子科技原创文章。欢迎个人转发和分享,刊物或媒体如需转载,请联系邮箱:info@polymer.cn
欢迎专家学者提供稿件(论文、项目介绍、新技术、学术交流、单位新闻、参会信息、招聘招生等)至info@polymer.cn,并请注明详细联系信息。高分子科技®会及时推送,并同时发布在中国聚合物网上。
欢迎加入微信群 为满足高分子产学研各界同仁的要求,陆续开通了包括高分子专家学者群在内的几十个专项交流群,也包括高分子产业技术、企业家、博士、研究生、媒体期刊会展协会等群,全覆盖高分子产业或领域。目前汇聚了国内外高校科研院所及企业研发中心的上万名顶尖的专家学者、技术人员及企业家。
申请入群,请先加审核微信号PolymerChina (或长按下方二维码),并请一定注明:高分子+姓名+单位+职称(或学位)+领域(或行业),否则不予受理,资格经过审核后入相关专业群。