文 章 信 息
构建对称性失配的RuxFe3-xO4异质界面稳定Ru团簇催化剂实现高效析氢和氢氧化
第一作者:穆雪琴
通讯作者:木士春*,刘苏莉*,王定胜*
研 究 背 景
氢能作为一种环保的可再生能源,被广泛认为是减轻对化石燃料依赖的最佳解决方案。析氢反应(HER)和氢氧化反应(HOR)是两种重要的氢电极催化反应。铂(Pt)虽然具有较高的HER/HOR性能,但其稀缺性和高成本限制了其广泛应用。相比之下,钌(Ru)由于具有与Pt相似的电子结构和更低的成本,是最有可能替代Pt的催化剂之一。然而,在碱性介质中,HER/HOR速率明显低于在酸性介质,这严重限制了Ru基催化剂的实际应用。
近年来,金属团簇因其较小的金属-金属配位数而备受关注。然而,在电催化过程中如何稳定金属团簇仍然具有挑战性。通过强金属-载体相互作用,将金属位点牢固地锚定到载体材料表面,可显著提高催化剂的催化活性及稳定性。FeOx作为载体具有丰富表面活性位点,可加速表面水解离动力学;同时,团簇与金属氧化物之间的协同效应可以调节界面处费米能级以及优化特定步骤中间物质的吸附与解吸;此外,协同效应还可以通过形成合金或复合结构增强反应过程中抗腐蚀与抗中毒能力。
文 章 简 介
近日,来自武汉理工大学木士春教授与南京工业大学刘苏莉教授、清华大学王定胜教授合作,在国际知名期刊Nano Letters上发表题为“Constructing Symmetry-MismatchedRuxFe3–xO4Heterointerface-Supported Ru Clusters for Efficient Hydrogen Evolution and Oxidation Reactions”的观点文章。该观点文章分析了对称性失配的异质界面和自适应增强的Ru团簇活性位点的构建,提高了HER和HOR性能。
本 文 要 点
要点一:对称性失配异质界面构建
通过点击化学策略合成了Fe3-xO4前体,并通过氧化物的缺陷锚定效应构建了多个Ru/RuxFe3-xO4异质结构。经HRTEM观察,发现Ru/RuxFe3-xO4均匀分散在无定形碳载体上。此外,HRTEM图像表明成功构建了Ru团簇-RuxFe3-xO4异质界面。与FeOx相比,RuxFe3-xO4发生轻微的晶格畸变。利用HAADF-STEM和FFT模式进一步研究原子尺度的多重Ru/RuxFe3-xO4异质结构,结果显示了优异的结晶度和原子界面层。此外,反FFT图像显示存在应变效应导致 FeOx 原子排列扭曲和完整性受损。
图1. Ru/RuxFe3-xO4对称性失配界面的电镜表征结果。
要点二:Ru/RuxFe3-xO4复杂结构解析
从Ru/RuxFe3-xO4样品的XRD图可以看出,其40°峰位置处存在轻微偏移,进一步证明了Ru掺杂到Fe3-xO4中。通过XPS和Mössbauer光谱分析验证了在Ru/RuxFe3-xO4中含有更多的高价态铁离子(如 Fe2+ 和 Fe3+),表明Ru原子掺杂导致了不饱和配位环境形成。此外,BET和Raman测试结果表明 Ru/RuxFe3-xO4的比表面积减小以形成稳定团簇。通过XANES和EXAFS光谱研究Ru/RuxFe3-xO4的价态和局部配位结构,发现Ru向界面氧化物传输电荷导致其价态增加。同时,通过FT-EXAFS分析发现催化剂中的Fe具有低配位,可以作为Ru原子的锚定位点。这些结果表明,FeOx可以稳定Ru团簇并调整其电子构型。
图2. Ru/RuxFe3-xO4的结构表征测试。
要点三:Ru/RuxFe3-xO4高效催化HER/HOR
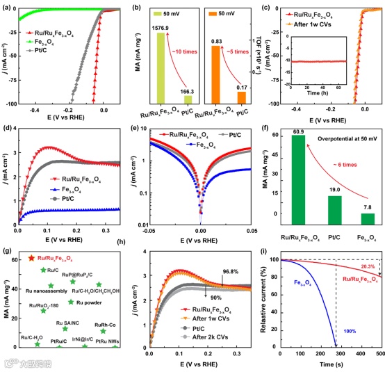
为了评价电催化活性,研究了Ru/RuxFe3-xO4在1.0 M KOH溶液中的HER性能。结果显示,Ru/RuxFe3-xO4表现出比商用Pt/C更好的HER活性,在10 mA cm−2时其过电位仅为17.6 mV,而且稳定工作达70小时。
此外,同步研究了Ru/RuxFe3-xO4在1.0 M KOH溶液中的HOR催化性能。如图4所示,在典型双电子HOR过程中,Ru/RuxFe3-xO4具有最突出的电流密度和质量活性(60.9 mA·mg-1),远高于大多数报道的催化剂水平。同时,还表现出优异的稳定性和CO耐受性。
图3. Ru/RuxFe3-xO4及相关催化剂的HER/HOR性能测试。
要点四:催化机制探究
原位红外光谱测试表明:碱性环境中非特异性吸附的OH阴离子可能通过界面水层促进OHad生成,并且额外的自由水分子会作为质子供体积极参与表面催化。基于结构表征,构建了Ru/RuxFe3-xO4异质结构计算模型。根据计算结果显示,OHad对碱性HOR的动力学增强起着重要作用,相比于Fe3O4和Ru,OH在Ru/RuxFe3-xO4上的吸附能显著增强。此外,Ru原子向FeOx界面分散导致电子重排,有效调节了表面活性位点H和OH的吸附能,从而降低了HO形成的关键反应能垒,促进了HER/HOR反应。
图4. 分析Ru/RuxFe3-xO4不对称异质界面反应过程中间体的吸附变化。
文 章 链 接
Constructing Symmetry-Mismatched RuxFe3–xO4 Heterointerface-Supported Ru Clusters for Efficient Hydrogen Evolution and Oxidation Reactions
https://pubs.acs.org/doi/10.1021/acs.nanolett.3c04690?fig=tgr1&ref=pdf
通 讯 作 者 简 介
刘苏莉 教授:2014年进入南京晓庄学院任职,2023年加入南京工业大学,主要从事燃料电池和电解水制氢催化剂研究。以第一或通讯作者在J. Am. Chem. Soc.、Energy Environ. Sci.、Nano Energy、Adv. Sci.等催化领域权威期刊上发表高质量论文50余篇;已授权国家发明专利10余项。
王定胜 副教授:清华大学,国家杰出青年科学基金获得者,主要从事金属纳米晶、团簇及单原子为主的无机功能纳米材料的合成、结构调控与催化性能研究。已在Nature、Nat. Chem.、Nat. Nanotech.、Nat. Catal.、Angew. Chem. Int. Ed.等期刊上发表高水平学术论文200余篇。
木士春 教授:武汉理工大学学科首席教授,国家级高层次人才,长期致力于电解水制氢和质子交换膜燃料电池催化剂研究。以第一作者或通讯作者在Nat. Commun.、Adv. Mater.、J. Am. Chem. Soc.、Angew. Chem. Int. Ed.、Energy Environ. Sci.等国内外期刊上发表300余篇高质量学术论文。
研 究 团 队 介 绍
武汉理工大学木士春团队官网:
http://www.polymer.cn/ss/shichunmu/index.html
添加官方微信 进群交流
SCI二氧化碳互助群
SCI催化材料交流群
SCI钠离子电池交流群
SCI离子交换膜经验交流群
SCI燃料电池交流群
SCI超级电容器交流群
SCI水系锌电池交流群
SCI水电解互助群
SCI气体扩散层经验交流群
备注【姓名-机构-研究方向】
投稿请联系contact@scimaterials.cn
点分享
点赞支持
点在看

