文 章 信 息
新型Ni-MoCxOy界面催化剂用于化学链甲烷干重整制合成气
第一作者:张晓,徐尧
通讯作者:石川*,马丁*
研 究 背 景
甲烷、二氧化碳化学转化技术的研究对于可燃冰、页岩气的化学利用、温室气体的减排具有重要意义。据测算,储存在可燃冰中的碳(主要是甲烷)相当于当前已探明的所有化石燃料中碳含量总和的2倍;此外,二氧化碳是大气中最主要的温室气体。因此,甲烷和二氧化碳的高效能源化利用受到广泛关注,而传统的干重整反应存在反应温度高、催化剂易积碳、不可避免的逆水煤气变换副反应等问题。
基于可逆载氧体的化学链干重整技术将传统CH4/CO2干重整反应分解为甲烷部分氧化和二氧化碳还原两步反应,可最大限度地规避逆水煤气变换反应,提高反应的碳、氢原子经济性,并且能够有效解决积碳难题,为含碳燃料的转化和利用提供了一种能源和成本效益高的途径,而开发具有高效反应性和稳定性的氧载体仍然是一个巨大的挑战。
文 章 简 介
基于此,大连理工大学石川教授团队和北京大学马丁教授团队合作,提出了利用过渡金属碳化物作为新型储氧材料构建低温“MoCx→MoCxOy”化学循环,并与传统“储氧体”化学复合获得新型储氧材料,突破了传统氧化物组分作为储氧材料的研究思路,开发了兼具低温高活性和高循环稳定性的Ni-(α-MoC)/Al2O3催化剂,实现了甲烷高选择性制合成气以及二氧化碳还原再生的稳定循环。并借助原位XPS、HRTEM等表征手段,从分子水平上深入研究载氧体微观作用机制,揭示了晶格氧迁移机理及调控本质。
研究表明,Ni和MoC之间的强相互作用诱导Ni颗粒从Al2O3表面原子级重新分散到α-MoC上,在氧化还原循环过程中MoCx和MoCxOy之间发生动态的结构转变,从而原位构建形成Ni-MoCxOy活性界面,在500oC即可有效活化甲烷制取合成气,选择性接近100%,同时相比目前文献已报道催化剂,反应温度大幅降低200-300oC;催化剂历经1140次的循环测试过程,其反应活性以及对合成气的选择性基本保持不变,表现出优异的循环稳定性。
该研究工作首次将碳化钼作为储氧材料应用于化学链式CH4/CO2重整过程,并建立了表面结构演化与甲烷活化间的构-效关系,为过渡金属碳化物作为储氧材料应用于其他化学链反应过程提供了新思路和理论依据。
图 文 解 析
催化剂的结构表征:
得益于Ni和α-MoC之间的强相互作用,碳化钼添加剂诱导Ni粒子在γ-Al2O3表面向α-MoC重新分散(图1),并通过电子调变作用,以MoCx中的碳作为桥键形成Ni-Cx阵列,电子从镍转移到碳,导致Niδ+处于缺电子状态,从而形成新的高分散Ni-MoCx界面。
图1. Ni-(α-MoC)/Al2O3催化剂的电镜表征
催化剂活化CH4能力
基于Ni与MoC间强相互作用而构建的Ni-MoCx界面显著促进了催化剂对CH4的活化,Ni-(α-MoC)/Al2O3催化剂在500oC左右即可高效实现甲烷的部分氧化制取合成气(图2),选择性高达99%,相比传统Ni/Al2O3催化剂,启动温度大幅降低,同时合成气选择性显著提高。
图2. Ni-(α-MoC)/Al2O3和传统Ni/Al2O3催化剂CH4-TPR以及不同温度区间的性能对比图
催化剂活性界面原位表征
进一步通过构建多种典型表面:富C表面(I);富氧表面(II);MoCx-O表面(III)以及还原表面(IV),对催化剂活性界面及相关性质进行探究,通过瞬态定温表面反应详细比较了几种不同表面对CH4活化能力的不同(图3),研究表明:MoCxOy表面(III)表现出最高的甲烷转化率,同时在生产合成气方面具有显著优势,选择性超过99%。
图3. Ni-(α-MoC)/Al2O3催化剂上不同表面结构的XPS表征以及活化CH4能力对比图
催化剂表面结构动态演化
此外,在化学链式CH4-CO2重整过程中,活性界面的循环再生能力是非常重要的考核指标。通过比较CH4氧化过程中的最大耗氧量以及CO2脉冲还原过程中氧物种的最大引入量,揭示催化剂在氧化还原过程中氧物种的循环再生(图4),经过比较,Ni-(α-MoC)/Al2O3催化剂上反应活性氧物种再生率高达93.7%。除此之外,采用准原位XPS以及XANES等技术探究了在CH4-CO2瞬态脉冲反应中催化剂表面物种的动态演化过程,研究表明MoCxOy物种在甲烷部分氧化制合成气过程中表现出较稳定的动态变化,催化剂具有良好的循环再生能力。
图4. Ni-(α-MoC)/Al2O3催化剂活性氧物种循环再生能力及氧化还原过程中表面物种演化
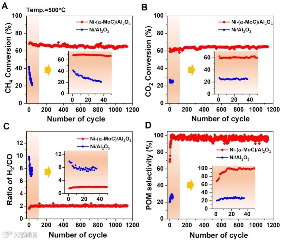
催化剂的活性评价:
在化学链CH4-CO2重整反应中,Ni-(α-MoC)/Al2O3催化剂兼具高活性以及高稳定性。在反应温度为500oC条件下,该催化剂表现出60%左右的甲烷和二氧化碳转化率,且合成气选择性接近100%,相比目前文献已报道的化学链式重整催化体系,反应温度降低200-300oC;同时,经过1140次氧化还原循环测试过程,该催化剂反应活性以及合成气选择性基本维持不变,表现出良好的循环稳定性。
图5. Ni-(α-MoC)/Al2O3和传统Ni/Al2O3催化剂在化学链CH4-CO2重整过程中的催化性能对比结果
文 章 链 接
A novel Ni-MoCxOy interfacial catalyst for syngas production via the chemical looping dry reforming of methane
https://doi.org/10.1016/j.chempr.2022.09.007
通 讯 作 者 简 介
石川教授简介:大连理工大学化工学院教授,博士生导师。1973年生。2001年在大连理工大学应用化学专业获得博士学位。2002-2003年为香港浸会大学化学专业博士后。2004年到大连理工大学任教至今。2007年入选教育部“新世纪优秀人才支持计划”。
2010年和2017年分别在美国肯塔基大学应用能源研究所及美国伊利诺伊大学香槟分校做访问学者和高级访问学者。2017年合作研究成果“实现氢气的低温制备和存储”荣获中国科学十大进展,同年入选辽宁省百千万人才工程百人层次。2019年获“化工与材料京博博士论文奖”-优秀奖-指导教师。2021年入选教育部“长江学者奖励计划”特聘教授。现任辽宁省学科评议组成员,大连理工大学第九届校学术委员会委员。
主要面向能源、环境领域国家重大需求,聚焦氢气、二氧化碳、低碳烷等小分子活化转化以及气体污染物VOCs和NOx的催化消除,创制适合上述过程的催化新材料,创新分子活化转化绿色过程,推动能源结构调整以及“碳达峰、碳中和”双碳目标的实现。发展“单原子”、“原位封装”、“点击锚定”、“纳米多级结构构筑”等先进可控合成技术,实现催化材料的精准设计与制备;揭示催化剂结构与特定小分子催化转化过程之间的关系,获得特色碳/氮化物、OX-ZEO复合(核壳)结构等催化新材料及其规模化制备工艺。
研究成果先后发表在Science,Nature,Chem, ACS Catalysis,Nano Research等国际国内有影响力的刊物上,受到国际学术媒体Chemistry World、C&E News的多次关注和报道,同时还受到新华网、央视网、央广网等国内媒体的广泛关注。
马丁教授简介:北京大学化学与分子工程学院教授,国家杰出青年基金获得者,教育部“长江学者”,中组部“万人计划”领军人才,入选英国皇家化学会会士(Fellow of Royal Society of Chemistry),中国化学会绿色化学专业委员会秘书长、中国同步辐射专业委员会副主任委员,获得首届“科学探索奖”、中国青年催化奖(2017)、中国化学会巴斯夫青年知识创新奖。
1996年本科毕业于四川大学,2001年获得中科院大连化学物理研究所博士学位,2001-2005年于英国牛津大学和布里斯托大学从事博士后研究工作。2005年入选中科院“百人计划”于大连化学物理研究所工作,2009年任职于北京大学。马丁教授聚焦于能源转化新路径的开发、氢气的制备和存储、用于能源转化的新催化剂设计以及多相催化反应体系的原位和operando表征等研究工作,发现了碳化物基催化剂甲醇重整低温制氢的新过程(获“2017年中国科学十大进展”)、低温水相制备液体燃料的新体系等,在包括Science、Nature、Nature Nanotechnology、Nature Catalysis等杂志上发表学术论文超200篇,引用超15000次,h因子69。
曾任Catalysis Science &Technology副主编,现担任ACS Catalysis、Chinese Journal of Chemistry 副主编,Journal of Energy Chemistry、Joule、Catalysis Science & Technology、Journal of Catalysis、Applications in Energy and Combustion Science、Innovation等刊编委,科研项目获“国家自然科学二等奖”、“辽宁省科技进步一等奖”等荣誉。
添加官方微信 进群交流
SCI二氧化碳互助群
SCI催化材料交流群
SCI钠离子电池交流群
SCI离子交换膜经验交流群
SCI燃料电池交流群
SCI超级电容器交流群
SCI水系锌电池交流群
SCI水电解互助群
SCI气体扩散层经验交流群
备注【姓名-机构-研究方向】
投稿请联系contact@scimaterials.cn
点分享
点赞支持
点在看

