一、研究背景:
近日,华中科技大学王春栋团队&北京工业大学王晓蕾团队制备了由非晶RuO2修饰的晶型NiO组成的超薄纳米片,显示出优异的HER和UOR活性和稳定性。配置的a-RuO2/NiO || a-RuO2/NiO需要1.372 V (vs. RHE)的低驱动电压才能在1M KOH + 0.33 M尿素中产生10 mA cm−2的电流密度。改进的二乙酰一肟法(DAMO法)对尿素的降解率为92.51%,在废水净化中具有较大的潜力。研究人员发现,优异的HER和UOR活性来自于设计的非晶/晶型界面结构,允许引入大量的氧空位。氧空位改变了a-RuO2/NiO活性中心的电子自旋态,从而调节了d带中心,从而优化了中间物质的吸附/解吸性质,最终实现了优异的析氢和尿素氧化反应动力学。相关研究成果发表于ACS Nano上。华中科技大学王春栋教授和北京工业大学王晓蕾教授为共同通讯。华中科技大学博士生李林峰和张霞为共同一作。
从X射线衍射(XRD)观察到的衍射峰可归为NiO(JCPDS no. 47-1049)引入Ru后在a-RuO2/NiO的XRD谱图中没有发现RuO2或Ru的附加特征峰,表明RuO2/Ru应该是无定形的。透射电子显微镜(TEM)和扫描电子显微镜(SEM)图像显示具有丰富的非晶RuO2/晶型NiO界面。原子力显微镜(AFM)图像表明a-RuO2/NiO纳米片的厚度约为6.4 nm。高角度环形暗场扫描TEM (HAADF-STEM)图像和TEM-eds图谱进一步证实了Ni、O和Ru元素在纳米片上的均匀分布。
同步辐射和XPS结果表明非晶RuO2的引入重新排布了非晶/晶型界面的电子,使a-RuO2/NiO中Ni的价态上升。a-RuO2/NiO中Ru呈氧化态(Ru4+ 和 Ruδ<4)而不是金属态(0价),证实Ru原子以非晶氧化钌复合在a-RuO2/NiO纳米片表面。此外,X波段的电子顺磁共振(EPR)谱表明非晶RuO2的引入导致更高氧空位浓度的产生。从NiO和a-RuO2/NiO样品的磁化强度(M)与磁场(B)的关系可以看出a-RuO2/NiO的饱和磁化强度远高于NiO,表明存在更多的自旋极化电子。因此,氧空位的增加提高了a-RuO2/NiO中自旋极化电子的浓度,导致磁场作用下的自旋极化更高,电子态更活跃,为催化反应提供了更有效的“自旋促进剂”。
图2. (a) Ni K-edge和(b) Ru K-edge归一化XANES光谱。(c) O - 1s对NiO和a-RuO2/NiO的XPS光谱。(d) NiO和a-RuO2/NiO的x波段EPR谱。(e) NiO和a-RuO2/NiO表面氧空位形成能。(f) NiO和a-RuO2/NiO样品的磁滞回线,表明磁化强度增强。(g) a-RuO2/NiO中氧空位介导的自旋极化示意图。(h)制备NiO和a-RuO2/NiO的代表性霍尔测量。(i)室温下霍尔电阻率ρ随磁场B的变化,得到不同载流子浓度的NiO和a-RuO2/NiO样品。
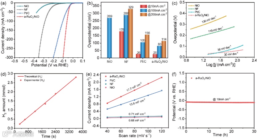
由于非晶/晶体纳米片的耦合协同作用,制备的a-RuO2/NiO电催化剂表现出优异的 HER 和 UOR 活性。在 100 mA cm−2 的电流密度下,1 M KOH 溶液中的 HER 需要 80 mV 的过电位,而在 100 mA cm−2 的电流密度下,1 M KOH + 0.33 M 尿素溶液中的 UOR 需要 1.386 V 的驱动电位。通过改进的二乙酰一肟法(DAMO 法),尿素降解率达到 92.51%,显示出在废水净化方面的巨大潜力。作为迈向实际应用的关键一步,尿素电解槽(UOR//HER)以自支撑的a-RuO2/NiO作为阳极和阴极(1.0 M KOH+0.33 M 尿素),只需要 1.559 V 的小电压就能提供 100 mA cm−2 的电流密度。令人印象深刻的是,这种电池电压可以连续工作 55 小时而不会出现可识别的衰减。
图3.(a) NiO、NF、Pt/C和a-RuO2/NiO在1m KOH下的线性扫描伏安(LSV)曲线(95% iR补偿)。(b)这些催化剂在不同电流密度下相应的过电位。(c)塔菲尔斜坡。(d)通过实验测量和理论计算确定的a-RuO2/NiO的析氢。(e)催化剂双层电容(Cdl)。(f) a-RuO2/NiO电极在1 M KOH溶液中以10 mA cm−2电流密度进行时电位测定试验。
图4. (a)尿素反应示意图。(b) a-RuO2/NiO及其对照样品在含0.33 M尿素的1 M KOH中95% ir校正极化曲线。(c) a-RuO2/NiO、NiO和NF的Tafel曲线。(d)尿素电解极化曲线(1 M KOH + 0.33 M尿素)与a-RuO2/NiO为正极和负极的水电解极化曲线(1 M KOH)的比较(插入图为电解系统在1 M KOH和不含0.33 M尿素时在10 mA cm−2下所需的电压直方图)。(e, f)尿素降解(0 ~ 180 min,间隔20 min)过程中NiO和a-RuO2/NiO的紫外光谱分析。(g)电流密度为100 mA cm−2时的尿素降解率和对应的可回收性能。
4、DFT理论研究阐明“构效”关系
DFT理论计算表明,无定形/结晶界面耦合有利于氧空位的产生,导致更多的自旋极化电子,从而提高了磁化率;更多的自旋极化电子的引入使催化剂表面有利吸附反应中间物种,最终促进了HER和UOR反应动力学。
图5. (a) NiO(110)表面和(b)无定形RuO2(100)表面的静电电位。(c) a-RuO2/NiO局部电荷密度变化的等值面,其中黄色和青色区域表示电子积聚区和耗尽区。(d)计算NiO和a-RuO2/NiO的DOS。(e) NiO和a-RuO2/NiO中金属轨道的投影态密度(PDOS)。(f) NiO和a-RuO2/NiO中金属d轨道的态投射密度。虚线表示DFT估计的d波段中心。(g) CO分子轨道图和能级图。(h) CO分子(ΔECO*)(左)和H2O分子(ΔEH2O*)(右)在NiO和a-RuO2/NiO表面的吸附自由能。(i) NiO和a-RuO2/NiO在不同活性位点上的吉布斯自由能(ΔGH*)图。
Published in: ACS Nano, doi:10.1021/acsnano.3c12133
感谢您的关注!
关于我们
主营业务:论文配图与期刊封面制作、文献解读的科普动画制作、学术新媒体运营与会议承办(点击了解详情)。

投稿荐稿、发布招聘、商务合作、业务咨询等,可扫码联系小编,添加请备注:姓名+单位+需求。
网址:www.kejiangculture.com
邮箱:kejiang_xs@163.com (编辑部)、kejiang_culture@163.com (设计部)


